Sole Proprietorship Questions And Answers Pdf . following are some of the sole proprietorship multiple choice questions and answers that will help the students in brushing up their. assess your understanding of the characteristics of sole proprietorships with an interactive quiz and printable worksheet. After studying this unit you will be able to : Scribd is the world's largest social. review and complete the following questions and exercises on page 268 in your textbook. Sole proprietorship refers to a form of business organization that is owned managed and controlled by an individual's.
from www.studypool.com
Sole proprietorship refers to a form of business organization that is owned managed and controlled by an individual's. After studying this unit you will be able to : review and complete the following questions and exercises on page 268 in your textbook. following are some of the sole proprietorship multiple choice questions and answers that will help the students in brushing up their. assess your understanding of the characteristics of sole proprietorships with an interactive quiz and printable worksheet. Scribd is the world's largest social.
SOLUTION Sole proprietorship notes with practice questions Studypool
Sole Proprietorship Questions And Answers Pdf review and complete the following questions and exercises on page 268 in your textbook. Sole proprietorship refers to a form of business organization that is owned managed and controlled by an individual's. assess your understanding of the characteristics of sole proprietorships with an interactive quiz and printable worksheet. review and complete the following questions and exercises on page 268 in your textbook. After studying this unit you will be able to : Scribd is the world's largest social. following are some of the sole proprietorship multiple choice questions and answers that will help the students in brushing up their.
From fitsmallbusiness.com
5 Sole Proprietorship Pros and Cons Sole Proprietorship Questions And Answers Pdf After studying this unit you will be able to : assess your understanding of the characteristics of sole proprietorships with an interactive quiz and printable worksheet. review and complete the following questions and exercises on page 268 in your textbook. Scribd is the world's largest social. following are some of the sole proprietorship multiple choice questions and. Sole Proprietorship Questions And Answers Pdf.
From www.youtube.com
Is a Single Member LLC a Sole Proprietorship? Attorney Answers Sole Proprietorship Questions And Answers Pdf Sole proprietorship refers to a form of business organization that is owned managed and controlled by an individual's. After studying this unit you will be able to : review and complete the following questions and exercises on page 268 in your textbook. Scribd is the world's largest social. following are some of the sole proprietorship multiple choice questions. Sole Proprietorship Questions And Answers Pdf.
From www.studocu.com
220612 questions types of enterprises SOLE PROPRIETORSHIP Businesses Sole Proprietorship Questions And Answers Pdf After studying this unit you will be able to : Sole proprietorship refers to a form of business organization that is owned managed and controlled by an individual's. following are some of the sole proprietorship multiple choice questions and answers that will help the students in brushing up their. assess your understanding of the characteristics of sole proprietorships. Sole Proprietorship Questions And Answers Pdf.
From www.scribd.com
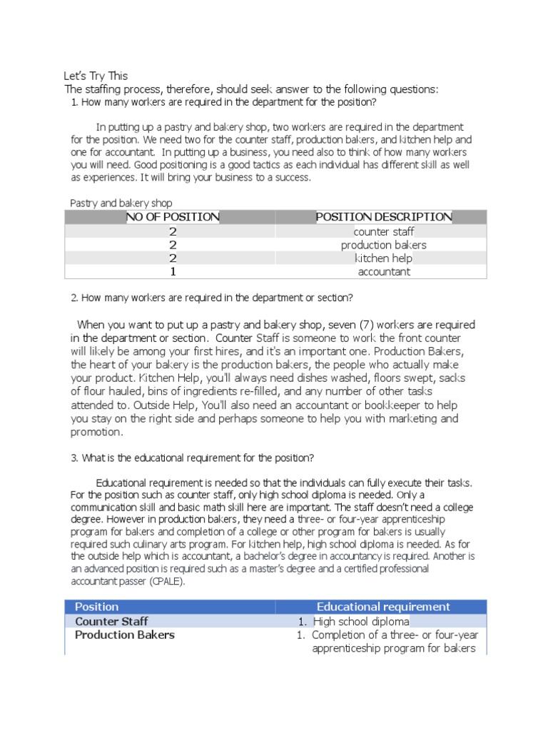
Let's Try This The Staffing Process, Therefore, Should Seek Answer To Sole Proprietorship Questions And Answers Pdf following are some of the sole proprietorship multiple choice questions and answers that will help the students in brushing up their. Sole proprietorship refers to a form of business organization that is owned managed and controlled by an individual's. Scribd is the world's largest social. review and complete the following questions and exercises on page 268 in your. Sole Proprietorship Questions And Answers Pdf.
From www.scribd.com
Business Multiple Choice Questions PDF Stocks Sole Proprietorship Sole Proprietorship Questions And Answers Pdf assess your understanding of the characteristics of sole proprietorships with an interactive quiz and printable worksheet. Scribd is the world's largest social. review and complete the following questions and exercises on page 268 in your textbook. Sole proprietorship refers to a form of business organization that is owned managed and controlled by an individual's. After studying this unit. Sole Proprietorship Questions And Answers Pdf.
From www.studocu.com
Exam 13 October 2019, questions and answers Question 1 Agazzi Shop (a Sole Proprietorship Questions And Answers Pdf review and complete the following questions and exercises on page 268 in your textbook. Scribd is the world's largest social. After studying this unit you will be able to : assess your understanding of the characteristics of sole proprietorships with an interactive quiz and printable worksheet. Sole proprietorship refers to a form of business organization that is owned. Sole Proprietorship Questions And Answers Pdf.
From www.scribd.com
Relationship, Agency Problem and Agency Cost? Instruction Answer All Sole Proprietorship Questions And Answers Pdf assess your understanding of the characteristics of sole proprietorships with an interactive quiz and printable worksheet. following are some of the sole proprietorship multiple choice questions and answers that will help the students in brushing up their. Scribd is the world's largest social. After studying this unit you will be able to : Sole proprietorship refers to a. Sole Proprietorship Questions And Answers Pdf.
From www.scribd.com
25.09.22 Answers Follow Up Questions PDF Sole Proprietorship Sole Proprietorship Questions And Answers Pdf review and complete the following questions and exercises on page 268 in your textbook. assess your understanding of the characteristics of sole proprietorships with an interactive quiz and printable worksheet. Scribd is the world's largest social. After studying this unit you will be able to : following are some of the sole proprietorship multiple choice questions and. Sole Proprietorship Questions And Answers Pdf.
From printablefullcecilia.z13.web.core.windows.net
Sole Proprietorship Worksheet Sole Proprietorship Questions And Answers Pdf following are some of the sole proprietorship multiple choice questions and answers that will help the students in brushing up their. assess your understanding of the characteristics of sole proprietorships with an interactive quiz and printable worksheet. Scribd is the world's largest social. Sole proprietorship refers to a form of business organization that is owned managed and controlled. Sole Proprietorship Questions And Answers Pdf.
From www.scribd.com
DIRECTION Read The Statement Carefully and Choose The Answer That Best Sole Proprietorship Questions And Answers Pdf following are some of the sole proprietorship multiple choice questions and answers that will help the students in brushing up their. Scribd is the world's largest social. review and complete the following questions and exercises on page 268 in your textbook. After studying this unit you will be able to : assess your understanding of the characteristics. Sole Proprietorship Questions And Answers Pdf.
From www.scribd.com
Final Accounts of Sole Proprietorship Questions PDF Sole Proprietorship Questions And Answers Pdf review and complete the following questions and exercises on page 268 in your textbook. Sole proprietorship refers to a form of business organization that is owned managed and controlled by an individual's. After studying this unit you will be able to : Scribd is the world's largest social. following are some of the sole proprietorship multiple choice questions. Sole Proprietorship Questions And Answers Pdf.
From www.chegg.com
Solved Brooke owns a sole proprietorship in which she works Sole Proprietorship Questions And Answers Pdf review and complete the following questions and exercises on page 268 in your textbook. Sole proprietorship refers to a form of business organization that is owned managed and controlled by an individual's. following are some of the sole proprietorship multiple choice questions and answers that will help the students in brushing up their. Scribd is the world's largest. Sole Proprietorship Questions And Answers Pdf.
From www.transtutors.com
(Solved) In A Sole Proprietorship Or A Partnership, The Sole Sole Proprietorship Questions And Answers Pdf assess your understanding of the characteristics of sole proprietorships with an interactive quiz and printable worksheet. Sole proprietorship refers to a form of business organization that is owned managed and controlled by an individual's. After studying this unit you will be able to : following are some of the sole proprietorship multiple choice questions and answers that will. Sole Proprietorship Questions And Answers Pdf.
From educationplus.co.ke
40+ Questions On Advantages and disadvantages of sole proprietorship Sole Proprietorship Questions And Answers Pdf Scribd is the world's largest social. Sole proprietorship refers to a form of business organization that is owned managed and controlled by an individual's. After studying this unit you will be able to : assess your understanding of the characteristics of sole proprietorships with an interactive quiz and printable worksheet. review and complete the following questions and exercises. Sole Proprietorship Questions And Answers Pdf.
From www.numerade.com
SOLVED An interview project with sole proprietorship with proper Sole Proprietorship Questions And Answers Pdf following are some of the sole proprietorship multiple choice questions and answers that will help the students in brushing up their. Sole proprietorship refers to a form of business organization that is owned managed and controlled by an individual's. review and complete the following questions and exercises on page 268 in your textbook. Scribd is the world's largest. Sole Proprietorship Questions And Answers Pdf.
From www.scribd.com
C.A. Foundation Final Accounts For Sole Proprietorship Questions Sole Proprietorship Questions And Answers Pdf After studying this unit you will be able to : following are some of the sole proprietorship multiple choice questions and answers that will help the students in brushing up their. review and complete the following questions and exercises on page 268 in your textbook. Scribd is the world's largest social. assess your understanding of the characteristics. Sole Proprietorship Questions And Answers Pdf.
From www.studypool.com
SOLUTION Sole proprietorship notes with practice questions Studypool Sole Proprietorship Questions And Answers Pdf Scribd is the world's largest social. review and complete the following questions and exercises on page 268 in your textbook. following are some of the sole proprietorship multiple choice questions and answers that will help the students in brushing up their. assess your understanding of the characteristics of sole proprietorships with an interactive quiz and printable worksheet.. Sole Proprietorship Questions And Answers Pdf.
From www.studypool.com
SOLUTION Sole proprietorship notes with practice questions Studypool Sole Proprietorship Questions And Answers Pdf review and complete the following questions and exercises on page 268 in your textbook. following are some of the sole proprietorship multiple choice questions and answers that will help the students in brushing up their. After studying this unit you will be able to : assess your understanding of the characteristics of sole proprietorships with an interactive. Sole Proprietorship Questions And Answers Pdf.
From www.studocu.com
Sole Proprietorship & partnership Question 2 Rotor seek your advise Sole Proprietorship Questions And Answers Pdf Sole proprietorship refers to a form of business organization that is owned managed and controlled by an individual's. assess your understanding of the characteristics of sole proprietorships with an interactive quiz and printable worksheet. following are some of the sole proprietorship multiple choice questions and answers that will help the students in brushing up their. review and. Sole Proprietorship Questions And Answers Pdf.
From slidetodoc.com
Sole Proprietorship Essential Question What are the advantages Sole Proprietorship Questions And Answers Pdf following are some of the sole proprietorship multiple choice questions and answers that will help the students in brushing up their. assess your understanding of the characteristics of sole proprietorships with an interactive quiz and printable worksheet. Scribd is the world's largest social. review and complete the following questions and exercises on page 268 in your textbook.. Sole Proprietorship Questions And Answers Pdf.
From www.scribd.com
DIRECTION Read The Statement Carefully and Choose The Answer That Best Sole Proprietorship Questions And Answers Pdf following are some of the sole proprietorship multiple choice questions and answers that will help the students in brushing up their. review and complete the following questions and exercises on page 268 in your textbook. assess your understanding of the characteristics of sole proprietorships with an interactive quiz and printable worksheet. Sole proprietorship refers to a form. Sole Proprietorship Questions And Answers Pdf.
From www.chegg.com
Solved Rita owns a sole proprietorship in which she works as Sole Proprietorship Questions And Answers Pdf review and complete the following questions and exercises on page 268 in your textbook. After studying this unit you will be able to : following are some of the sole proprietorship multiple choice questions and answers that will help the students in brushing up their. assess your understanding of the characteristics of sole proprietorships with an interactive. Sole Proprietorship Questions And Answers Pdf.
From schools.aglasem.com
Class 11 Accountancy Notes for Financial Statement of Sole Sole Proprietorship Questions And Answers Pdf Sole proprietorship refers to a form of business organization that is owned managed and controlled by an individual's. review and complete the following questions and exercises on page 268 in your textbook. assess your understanding of the characteristics of sole proprietorships with an interactive quiz and printable worksheet. following are some of the sole proprietorship multiple choice. Sole Proprietorship Questions And Answers Pdf.
From www.scribd.com
Questions Answers Topic 1 Types Nature of Companies PDF Sole Proprietorship Questions And Answers Pdf assess your understanding of the characteristics of sole proprietorships with an interactive quiz and printable worksheet. Scribd is the world's largest social. After studying this unit you will be able to : following are some of the sole proprietorship multiple choice questions and answers that will help the students in brushing up their. review and complete the. Sole Proprietorship Questions And Answers Pdf.
From www.studocu.com
Chapter 4 questions business Chapter 4 questions Define sole Sole Proprietorship Questions And Answers Pdf review and complete the following questions and exercises on page 268 in your textbook. following are some of the sole proprietorship multiple choice questions and answers that will help the students in brushing up their. After studying this unit you will be able to : Sole proprietorship refers to a form of business organization that is owned managed. Sole Proprietorship Questions And Answers Pdf.
From www.scribd.com
Practice Question On Sole Proprietorship and Joint Hindu Family Sole Proprietorship Questions And Answers Pdf Sole proprietorship refers to a form of business organization that is owned managed and controlled by an individual's. following are some of the sole proprietorship multiple choice questions and answers that will help the students in brushing up their. After studying this unit you will be able to : assess your understanding of the characteristics of sole proprietorships. Sole Proprietorship Questions And Answers Pdf.
From corporatefinanceinstitute.com
Sole Proprietorship Definition, Advantages and Disadvantages Sole Proprietorship Questions And Answers Pdf After studying this unit you will be able to : following are some of the sole proprietorship multiple choice questions and answers that will help the students in brushing up their. Sole proprietorship refers to a form of business organization that is owned managed and controlled by an individual's. assess your understanding of the characteristics of sole proprietorships. Sole Proprietorship Questions And Answers Pdf.
From www.scribd.com
True Form Mini Case Studies Answer Guide (Sole Proprietorship Sole Proprietorship Questions And Answers Pdf review and complete the following questions and exercises on page 268 in your textbook. assess your understanding of the characteristics of sole proprietorships with an interactive quiz and printable worksheet. following are some of the sole proprietorship multiple choice questions and answers that will help the students in brushing up their. Scribd is the world's largest social.. Sole Proprietorship Questions And Answers Pdf.
From www.transtutors.com
(Solved) 7 Zhang Incorporated Her Sole Proprietorship By Transferring Sole Proprietorship Questions And Answers Pdf following are some of the sole proprietorship multiple choice questions and answers that will help the students in brushing up their. Sole proprietorship refers to a form of business organization that is owned managed and controlled by an individual's. Scribd is the world's largest social. assess your understanding of the characteristics of sole proprietorships with an interactive quiz. Sole Proprietorship Questions And Answers Pdf.
From www.scribd.com
A. Answer These Following Questions Briefly PDF Sole Proprietorship Sole Proprietorship Questions And Answers Pdf following are some of the sole proprietorship multiple choice questions and answers that will help the students in brushing up their. review and complete the following questions and exercises on page 268 in your textbook. Scribd is the world's largest social. After studying this unit you will be able to : Sole proprietorship refers to a form of. Sole Proprietorship Questions And Answers Pdf.
From www.scribd.com
Unit IIEntrepreneurial Planning Long Answer Type Question I (4 Marks Sole Proprietorship Questions And Answers Pdf assess your understanding of the characteristics of sole proprietorships with an interactive quiz and printable worksheet. Sole proprietorship refers to a form of business organization that is owned managed and controlled by an individual's. After studying this unit you will be able to : following are some of the sole proprietorship multiple choice questions and answers that will. Sole Proprietorship Questions And Answers Pdf.
From www.ncertbooks.guru
MCQ Questions on Sole Proprietorship NCERT Books Sole Proprietorship Questions And Answers Pdf review and complete the following questions and exercises on page 268 in your textbook. Sole proprietorship refers to a form of business organization that is owned managed and controlled by an individual's. After studying this unit you will be able to : Scribd is the world's largest social. following are some of the sole proprietorship multiple choice questions. Sole Proprietorship Questions And Answers Pdf.
From www.studocu.com
SOLE Proprietorship MCQs PAST PAPERS (MULTIPLE CHOICE QUESTIONS) Sole Sole Proprietorship Questions And Answers Pdf Scribd is the world's largest social. Sole proprietorship refers to a form of business organization that is owned managed and controlled by an individual's. assess your understanding of the characteristics of sole proprietorships with an interactive quiz and printable worksheet. review and complete the following questions and exercises on page 268 in your textbook. following are some. Sole Proprietorship Questions And Answers Pdf.
From www.scribd.com
IGCSE Business 4 Answer PDF Franchising Sole Proprietorship Sole Proprietorship Questions And Answers Pdf Scribd is the world's largest social. review and complete the following questions and exercises on page 268 in your textbook. Sole proprietorship refers to a form of business organization that is owned managed and controlled by an individual's. following are some of the sole proprietorship multiple choice questions and answers that will help the students in brushing up. Sole Proprietorship Questions And Answers Pdf.
From www.chegg.com
Solved Rita owns a sole proprietorship in which she works as Sole Proprietorship Questions And Answers Pdf assess your understanding of the characteristics of sole proprietorships with an interactive quiz and printable worksheet. review and complete the following questions and exercises on page 268 in your textbook. After studying this unit you will be able to : Scribd is the world's largest social. following are some of the sole proprietorship multiple choice questions and. Sole Proprietorship Questions And Answers Pdf.