What Is A Slack Bus . The slack bus, also known as the reference bus, is a critical component in power flow analysis that serves as a balance point in the electrical grid. The slack bus in a power system either absorbs or emits active or reactive power from the power system. Slack bus does not exists in real life rather it is assumed for the. Pv buses, related to turbines, set values for voltage significance and lively electricity. The other names of the slack bus are the swing or reference bus. The generator generates active & reactive power to deliver to the electrical load. Typically, the phase angle of the voltage is set to zero. Instead, at this bus, the magnitude and phase angle of the voltage are specified. Slack bus is also known as swing or reference bus. Unlike other buses, the slack bus does not carry any load. The slack bus is generally a generator bus, also known as v δ bus, where the bus voltage magnitude (| v |) and voltage angle (δ) are. Slack bus does not really exist but it is the bus considered for accounting for the power losses in the transmission system. Additionally, remoted buses, generator buses, and load buses make contributions to the diverse panorama of bus classifications. A slack bus is a specific node in a power system that serves as a reference point for voltage and phase angle in power flow analysis. The slack bus, a reference point, establishes voltage magnitude and phase perspective.
from airbrakecorp.com.au
The other names of the slack bus are the swing or reference bus. The generator generates active & reactive power to deliver to the electrical load. The slack bus in a power system either absorbs or emits active or reactive power from the power system. The slack bus is generally a generator bus, also known as v δ bus, where the bus voltage magnitude (| v |) and voltage angle (δ) are. The slack bus, a reference point, establishes voltage magnitude and phase perspective. Typically, the phase angle of the voltage is set to zero. The slack bus, also known as the reference bus, is a critical component in power flow analysis that serves as a balance point in the electrical grid. A slack bus is a specific node in a power system that serves as a reference point for voltage and phase angle in power flow analysis. Pv buses, related to turbines, set values for voltage significance and lively electricity. Slack bus does not exists in real life rather it is assumed for the.
SLACK ADJUSTER HINO BUS Air Brake Corporation Pty Ltd
What Is A Slack Bus Pv buses, related to turbines, set values for voltage significance and lively electricity. The other names of the slack bus are the swing or reference bus. Typically, the phase angle of the voltage is set to zero. A slack bus is a specific node in a power system that serves as a reference point for voltage and phase angle in power flow analysis. Slack bus does not really exist but it is the bus considered for accounting for the power losses in the transmission system. The slack bus, also known as the reference bus, is a critical component in power flow analysis that serves as a balance point in the electrical grid. Unlike other buses, the slack bus does not carry any load. The generator generates active & reactive power to deliver to the electrical load. The slack bus is generally a generator bus, also known as v δ bus, where the bus voltage magnitude (| v |) and voltage angle (δ) are. Additionally, remoted buses, generator buses, and load buses make contributions to the diverse panorama of bus classifications. Slack bus is also known as swing or reference bus. Pv buses, related to turbines, set values for voltage significance and lively electricity. Slack bus does not exists in real life rather it is assumed for the. The slack bus in a power system either absorbs or emits active or reactive power from the power system. The slack bus, a reference point, establishes voltage magnitude and phase perspective. Instead, at this bus, the magnitude and phase angle of the voltage are specified.
From www.researchgate.net
An example of a fourbus network. Bus 1 is a Slack bus whose voltage What Is A Slack Bus Typically, the phase angle of the voltage is set to zero. Slack bus is also known as swing or reference bus. Slack bus does not really exist but it is the bus considered for accounting for the power losses in the transmission system. The slack bus, also known as the reference bus, is a critical component in power flow analysis. What Is A Slack Bus.
From www.electricalvolt.com
Load Bus, Generator Bus and Slack Bus What Is A Slack Bus Slack bus is also known as swing or reference bus. Slack bus does not really exist but it is the bus considered for accounting for the power losses in the transmission system. The generator generates active & reactive power to deliver to the electrical load. The slack bus, also known as the reference bus, is a critical component in power. What Is A Slack Bus.
From www.electricalvolt.com
Load Bus, Generator Bus and Slack Bus What Is A Slack Bus Typically, the phase angle of the voltage is set to zero. The slack bus, also known as the reference bus, is a critical component in power flow analysis that serves as a balance point in the electrical grid. Slack bus does not really exist but it is the bus considered for accounting for the power losses in the transmission system.. What Is A Slack Bus.
From www.androidauthority.com
How to delete a Slack channel (or archive it) Android Authority What Is A Slack Bus The slack bus in a power system either absorbs or emits active or reactive power from the power system. Instead, at this bus, the magnitude and phase angle of the voltage are specified. Typically, the phase angle of the voltage is set to zero. The generator generates active & reactive power to deliver to the electrical load. The slack bus. What Is A Slack Bus.
From www.chegg.com
For the system below Find the Slack bus Reactive What Is A Slack Bus Pv buses, related to turbines, set values for voltage significance and lively electricity. The slack bus, a reference point, establishes voltage magnitude and phase perspective. Unlike other buses, the slack bus does not carry any load. The slack bus in a power system either absorbs or emits active or reactive power from the power system. The slack bus, also known. What Is A Slack Bus.
From www.chegg.com
Solved Given Bus1 is a slack bus with V_1 = 1.0 pu and What Is A Slack Bus The other names of the slack bus are the swing or reference bus. Pv buses, related to turbines, set values for voltage significance and lively electricity. The slack bus is generally a generator bus, also known as v δ bus, where the bus voltage magnitude (| v |) and voltage angle (δ) are. The slack bus in a power system. What Is A Slack Bus.
From www.youtube.com
Need for Slack bus Power Flow Analysis Power Systems YouTube What Is A Slack Bus The slack bus in a power system either absorbs or emits active or reactive power from the power system. Instead, at this bus, the magnitude and phase angle of the voltage are specified. Typically, the phase angle of the voltage is set to zero. The generator generates active & reactive power to deliver to the electrical load. The slack bus,. What Is A Slack Bus.
From www.chegg.com
Solved A fourbus power system is shown in Figure 1 . Bus 1 What Is A Slack Bus The slack bus, a reference point, establishes voltage magnitude and phase perspective. Pv buses, related to turbines, set values for voltage significance and lively electricity. The slack bus, also known as the reference bus, is a critical component in power flow analysis that serves as a balance point in the electrical grid. A slack bus is a specific node in. What Is A Slack Bus.
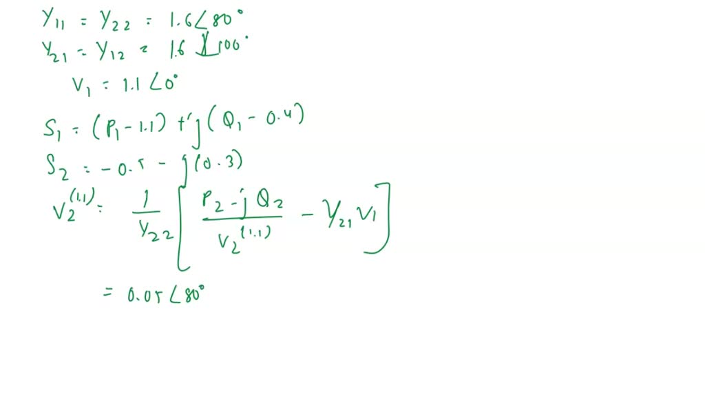
From www.numerade.com
For a twobus power system, a 0.7+j0.4 per unit load at bus 2 is What Is A Slack Bus Unlike other buses, the slack bus does not carry any load. The slack bus is generally a generator bus, also known as v δ bus, where the bus voltage magnitude (| v |) and voltage angle (δ) are. The other names of the slack bus are the swing or reference bus. The slack bus in a power system either absorbs. What Is A Slack Bus.
From cissybkirstin.pages.dev
Slack Tips And Tricks 2024 Nelie Joceline What Is A Slack Bus The generator generates active & reactive power to deliver to the electrical load. The slack bus is generally a generator bus, also known as v δ bus, where the bus voltage magnitude (| v |) and voltage angle (δ) are. A slack bus is a specific node in a power system that serves as a reference point for voltage and. What Is A Slack Bus.
From laxmiassociates.in
Types of Buses In Power System Read All About Them What Is A Slack Bus Slack bus is also known as swing or reference bus. Unlike other buses, the slack bus does not carry any load. Typically, the phase angle of the voltage is set to zero. The generator generates active & reactive power to deliver to the electrical load. Pv buses, related to turbines, set values for voltage significance and lively electricity. The slack. What Is A Slack Bus.
From airbrakecorp.com.au
SLACK ADJUSTER HINO BUS Air Brake Corporation Pty Ltd What Is A Slack Bus The other names of the slack bus are the swing or reference bus. Slack bus is also known as swing or reference bus. The slack bus, a reference point, establishes voltage magnitude and phase perspective. The slack bus, also known as the reference bus, is a critical component in power flow analysis that serves as a balance point in the. What Is A Slack Bus.
From www.electricalvolt.com
Load Bus, Generator Bus and Slack Bus What Is A Slack Bus The other names of the slack bus are the swing or reference bus. Unlike other buses, the slack bus does not carry any load. Slack bus does not exists in real life rather it is assumed for the. The slack bus is generally a generator bus, also known as v δ bus, where the bus voltage magnitude (| v |). What Is A Slack Bus.
From www.youtube.com
School Bus Inspection Slack Adjusters and Pushrod YouTube What Is A Slack Bus Pv buses, related to turbines, set values for voltage significance and lively electricity. The slack bus, a reference point, establishes voltage magnitude and phase perspective. The slack bus in a power system either absorbs or emits active or reactive power from the power system. The generator generates active & reactive power to deliver to the electrical load. Slack bus is. What Is A Slack Bus.
From www.coursehero.com
[Solved] . A fourbus power system is shown in Figure 1. Bus 1 is a What Is A Slack Bus The slack bus, a reference point, establishes voltage magnitude and phase perspective. Unlike other buses, the slack bus does not carry any load. Slack bus does not exists in real life rather it is assumed for the. The other names of the slack bus are the swing or reference bus. The generator generates active & reactive power to deliver to. What Is A Slack Bus.
From www.researchgate.net
Islanded MG consisting of a virtual slack bus [26], two IBDGs with What Is A Slack Bus The slack bus, also known as the reference bus, is a critical component in power flow analysis that serves as a balance point in the electrical grid. Additionally, remoted buses, generator buses, and load buses make contributions to the diverse panorama of bus classifications. Unlike other buses, the slack bus does not carry any load. Slack bus does not really. What Is A Slack Bus.
From www.pockettactics.com
What is Slack? What Is A Slack Bus The slack bus, also known as the reference bus, is a critical component in power flow analysis that serves as a balance point in the electrical grid. The slack bus is generally a generator bus, also known as v δ bus, where the bus voltage magnitude (| v |) and voltage angle (δ) are. Pv buses, related to turbines, set. What Is A Slack Bus.
From www.pockettactics.com
What is Slack? Pocket Tactics What Is A Slack Bus Slack bus does not really exist but it is the bus considered for accounting for the power losses in the transmission system. Unlike other buses, the slack bus does not carry any load. A slack bus is a specific node in a power system that serves as a reference point for voltage and phase angle in power flow analysis. Typically,. What Is A Slack Bus.
From www.slideserve.com
PPT EE 369 POWER SYSTEM ANALYSIS PowerPoint Presentation, free What Is A Slack Bus The slack bus, also known as the reference bus, is a critical component in power flow analysis that serves as a balance point in the electrical grid. The slack bus is generally a generator bus, also known as v δ bus, where the bus voltage magnitude (| v |) and voltage angle (δ) are. Typically, the phase angle of the. What Is A Slack Bus.
From www.pinterest.com
slackbus Bus, Glossary, Slacks What Is A Slack Bus The generator generates active & reactive power to deliver to the electrical load. Additionally, remoted buses, generator buses, and load buses make contributions to the diverse panorama of bus classifications. Typically, the phase angle of the voltage is set to zero. Instead, at this bus, the magnitude and phase angle of the voltage are specified. Pv buses, related to turbines,. What Is A Slack Bus.
From www.slideserve.com
PPT ECE 476 POWER SYSTEM ANALYSIS PowerPoint Presentation, free What Is A Slack Bus The slack bus, also known as the reference bus, is a critical component in power flow analysis that serves as a balance point in the electrical grid. A slack bus is a specific node in a power system that serves as a reference point for voltage and phase angle in power flow analysis. The slack bus is generally a generator. What Is A Slack Bus.
From robots.net
How To Link To Slack Channel What Is A Slack Bus The slack bus is generally a generator bus, also known as v δ bus, where the bus voltage magnitude (| v |) and voltage angle (δ) are. Instead, at this bus, the magnitude and phase angle of the voltage are specified. The slack bus, also known as the reference bus, is a critical component in power flow analysis that serves. What Is A Slack Bus.
From www.chegg.com
shows the singleline diagram of a threebus system What Is A Slack Bus Slack bus does not exists in real life rather it is assumed for the. Instead, at this bus, the magnitude and phase angle of the voltage are specified. The generator generates active & reactive power to deliver to the electrical load. The slack bus, also known as the reference bus, is a critical component in power flow analysis that serves. What Is A Slack Bus.
From www.numerade.com
SOLVED The figure below shows a singleline diagram of a 3bus power What Is A Slack Bus A slack bus is a specific node in a power system that serves as a reference point for voltage and phase angle in power flow analysis. Typically, the phase angle of the voltage is set to zero. The slack bus is generally a generator bus, also known as v δ bus, where the bus voltage magnitude (| v |) and. What Is A Slack Bus.
From osetodo.weebly.com
What is free slack osetodo What Is A Slack Bus Unlike other buses, the slack bus does not carry any load. Instead, at this bus, the magnitude and phase angle of the voltage are specified. Additionally, remoted buses, generator buses, and load buses make contributions to the diverse panorama of bus classifications. The other names of the slack bus are the swing or reference bus. The slack bus, also known. What Is A Slack Bus.
From www.chegg.com
Solved Question 3 A fourbus power system is shown in Figure What Is A Slack Bus Typically, the phase angle of the voltage is set to zero. A slack bus is a specific node in a power system that serves as a reference point for voltage and phase angle in power flow analysis. The slack bus in a power system either absorbs or emits active or reactive power from the power system. The generator generates active. What Is A Slack Bus.
From slideplayer.com
ECEN 460 Power System Operation and Control ppt download What Is A Slack Bus Unlike other buses, the slack bus does not carry any load. The slack bus, a reference point, establishes voltage magnitude and phase perspective. Typically, the phase angle of the voltage is set to zero. Pv buses, related to turbines, set values for voltage significance and lively electricity. The slack bus, also known as the reference bus, is a critical component. What Is A Slack Bus.
From transitsystems.squarespace.com
Electric Buses — Transit Systems Bus Network Public Transport What Is A Slack Bus Slack bus does not really exist but it is the bus considered for accounting for the power losses in the transmission system. Additionally, remoted buses, generator buses, and load buses make contributions to the diverse panorama of bus classifications. The slack bus in a power system either absorbs or emits active or reactive power from the power system. Instead, at. What Is A Slack Bus.
From www.vrogue.co
What Is Slack Everything To Know About The Company Th vrogue.co What Is A Slack Bus Instead, at this bus, the magnitude and phase angle of the voltage are specified. The generator generates active & reactive power to deliver to the electrical load. Slack bus does not exists in real life rather it is assumed for the. The slack bus is generally a generator bus, also known as v δ bus, where the bus voltage magnitude. What Is A Slack Bus.
From www.researchgate.net
Scaledup slack bus based on multiple BESSs. Download Scientific Diagram What Is A Slack Bus The generator generates active & reactive power to deliver to the electrical load. The slack bus, also known as the reference bus, is a critical component in power flow analysis that serves as a balance point in the electrical grid. Instead, at this bus, the magnitude and phase angle of the voltage are specified. A slack bus is a specific. What Is A Slack Bus.
From www.researchgate.net
Diagram of the 16bus system used in tests. Node 1 is a slack bus What Is A Slack Bus Slack bus is also known as swing or reference bus. Slack bus does not exists in real life rather it is assumed for the. Additionally, remoted buses, generator buses, and load buses make contributions to the diverse panorama of bus classifications. Unlike other buses, the slack bus does not carry any load. The slack bus is generally a generator bus,. What Is A Slack Bus.
From www.chegg.com
Solved Question 3 Slack Bus 1 1.050° 212 2 A fourbus power What Is A Slack Bus The generator generates active & reactive power to deliver to the electrical load. Instead, at this bus, the magnitude and phase angle of the voltage are specified. The slack bus, also known as the reference bus, is a critical component in power flow analysis that serves as a balance point in the electrical grid. Slack bus does not exists in. What Is A Slack Bus.
From carfromjapan.com
How to Adjust Air Brakes for Manual and Automatic Slack Adjusters What Is A Slack Bus Unlike other buses, the slack bus does not carry any load. Slack bus does not really exist but it is the bus considered for accounting for the power losses in the transmission system. Instead, at this bus, the magnitude and phase angle of the voltage are specified. Slack bus is also known as swing or reference bus. The slack bus. What Is A Slack Bus.
From www.coursehero.com
[Solved] . 5. In the twobus system shown in Figure 3, bus 1 is a slack What Is A Slack Bus The slack bus, also known as the reference bus, is a critical component in power flow analysis that serves as a balance point in the electrical grid. The slack bus, a reference point, establishes voltage magnitude and phase perspective. The generator generates active & reactive power to deliver to the electrical load. Additionally, remoted buses, generator buses, and load buses. What Is A Slack Bus.
From www.youtube.com
Lecture 12 Bus ClassificationSlack Swing BusLoad BusRegulated bus What Is A Slack Bus The slack bus, also known as the reference bus, is a critical component in power flow analysis that serves as a balance point in the electrical grid. The slack bus is generally a generator bus, also known as v δ bus, where the bus voltage magnitude (| v |) and voltage angle (δ) are. Typically, the phase angle of the. What Is A Slack Bus.