Distance Between Soccer Goal Posts . the distance between the posts is 7.32 m (8 yds) and the distance from the lower edge of the crossbar to the ground is 2.44 m (8 ft). goal post dimensions. The football goal crossbar is 10 feet high, and the posts are an additional 20 feet high, for a total height of 30 feet. the width of the goal posts in football is measured horizontally between the inner edges of the two upright posts. the standard length of a soccer pitch varies but typically falls within the range of 100 to 130 yards (90 to 120. the distance between the posts is 8 yds (7.32 m) and the distance from the lower edge of the crossbar to the ground is 8 ft. football field goalposts are 18.5 feet wide for national football league games, set on a crossbar 10 feet up off the ground. the bar chart presents a clear comparison of the recommended soccer goal post dimensions set by the football.
from www.soccerstatistically.com
the distance between the posts is 7.32 m (8 yds) and the distance from the lower edge of the crossbar to the ground is 2.44 m (8 ft). football field goalposts are 18.5 feet wide for national football league games, set on a crossbar 10 feet up off the ground. goal post dimensions. The football goal crossbar is 10 feet high, and the posts are an additional 20 feet high, for a total height of 30 feet. the distance between the posts is 8 yds (7.32 m) and the distance from the lower edge of the crossbar to the ground is 8 ft. the bar chart presents a clear comparison of the recommended soccer goal post dimensions set by the football. the width of the goal posts in football is measured horizontally between the inner edges of the two upright posts. the standard length of a soccer pitch varies but typically falls within the range of 100 to 130 yards (90 to 120.
Goal Time Analysis — Soccer Statistically
Distance Between Soccer Goal Posts the width of the goal posts in football is measured horizontally between the inner edges of the two upright posts. the bar chart presents a clear comparison of the recommended soccer goal post dimensions set by the football. goal post dimensions. the standard length of a soccer pitch varies but typically falls within the range of 100 to 130 yards (90 to 120. football field goalposts are 18.5 feet wide for national football league games, set on a crossbar 10 feet up off the ground. the width of the goal posts in football is measured horizontally between the inner edges of the two upright posts. The football goal crossbar is 10 feet high, and the posts are an additional 20 feet high, for a total height of 30 feet. the distance between the posts is 7.32 m (8 yds) and the distance from the lower edge of the crossbar to the ground is 2.44 m (8 ft). the distance between the posts is 8 yds (7.32 m) and the distance from the lower edge of the crossbar to the ground is 8 ft.
From protips.dickssportinggoods.com
Get to Know the Soccer Field Dimensions, Markings & More PRO TIPS by Distance Between Soccer Goal Posts goal post dimensions. The football goal crossbar is 10 feet high, and the posts are an additional 20 feet high, for a total height of 30 feet. football field goalposts are 18.5 feet wide for national football league games, set on a crossbar 10 feet up off the ground. the width of the goal posts in football. Distance Between Soccer Goal Posts.
From www.alamy.com
Football playground in Australia. Soccer playground with goal posts Distance Between Soccer Goal Posts the standard length of a soccer pitch varies but typically falls within the range of 100 to 130 yards (90 to 120. football field goalposts are 18.5 feet wide for national football league games, set on a crossbar 10 feet up off the ground. the distance between the posts is 7.32 m (8 yds) and the distance. Distance Between Soccer Goal Posts.
From www.youtube.com
How to move goals posts YouTube Distance Between Soccer Goal Posts the width of the goal posts in football is measured horizontally between the inner edges of the two upright posts. the standard length of a soccer pitch varies but typically falls within the range of 100 to 130 yards (90 to 120. football field goalposts are 18.5 feet wide for national football league games, set on a. Distance Between Soccer Goal Posts.
From fieldinsider.com
Football Goal Post Dimensions Youths & Adults Field Insider Distance Between Soccer Goal Posts the width of the goal posts in football is measured horizontally between the inner edges of the two upright posts. the distance between the posts is 7.32 m (8 yds) and the distance from the lower edge of the crossbar to the ground is 2.44 m (8 ft). goal post dimensions. the distance between the posts. Distance Between Soccer Goal Posts.
From pena.lt
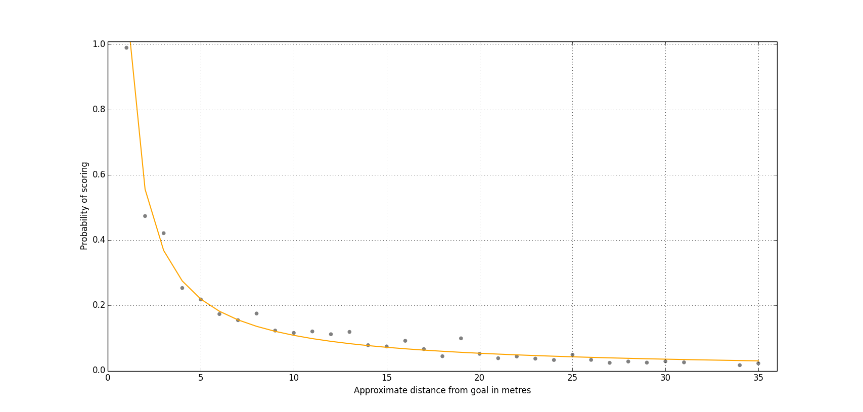
Expected Goals Updated pena.lt/y Distance Between Soccer Goal Posts the distance between the posts is 7.32 m (8 yds) and the distance from the lower edge of the crossbar to the ground is 2.44 m (8 ft). the bar chart presents a clear comparison of the recommended soccer goal post dimensions set by the football. the width of the goal posts in football is measured horizontally. Distance Between Soccer Goal Posts.
From www.alamy.com
50 yard line hires stock photography and images Alamy Distance Between Soccer Goal Posts the bar chart presents a clear comparison of the recommended soccer goal post dimensions set by the football. the distance between the posts is 7.32 m (8 yds) and the distance from the lower edge of the crossbar to the ground is 2.44 m (8 ft). the standard length of a soccer pitch varies but typically falls. Distance Between Soccer Goal Posts.
From yoursoccerhome.com
8 Rules for Soccer Goalies Everything You Need to Know Your Soccer Home Distance Between Soccer Goal Posts the distance between the posts is 8 yds (7.32 m) and the distance from the lower edge of the crossbar to the ground is 8 ft. goal post dimensions. the distance between the posts is 7.32 m (8 yds) and the distance from the lower edge of the crossbar to the ground is 2.44 m (8 ft).. Distance Between Soccer Goal Posts.
From www.soccerhint.com
Home Distance Between Soccer Goal Posts The football goal crossbar is 10 feet high, and the posts are an additional 20 feet high, for a total height of 30 feet. the distance between the posts is 8 yds (7.32 m) and the distance from the lower edge of the crossbar to the ground is 8 ft. goal post dimensions. the bar chart presents. Distance Between Soccer Goal Posts.
From www.sizechart.com
Soccer Field/ Football Pitch Size / Measurements Distance Between Soccer Goal Posts the distance between the posts is 7.32 m (8 yds) and the distance from the lower edge of the crossbar to the ground is 2.44 m (8 ft). the standard length of a soccer pitch varies but typically falls within the range of 100 to 130 yards (90 to 120. goal post dimensions. the distance between. Distance Between Soccer Goal Posts.
From briankennethswain.com
The Impossibility of the Field Goal Brian Swain Distance Between Soccer Goal Posts the distance between the posts is 8 yds (7.32 m) and the distance from the lower edge of the crossbar to the ground is 8 ft. football field goalposts are 18.5 feet wide for national football league games, set on a crossbar 10 feet up off the ground. the bar chart presents a clear comparison of the. Distance Between Soccer Goal Posts.
From brainly.com
A football kicker attempted to make field goals from different Distance Between Soccer Goal Posts goal post dimensions. the width of the goal posts in football is measured horizontally between the inner edges of the two upright posts. the distance between the posts is 7.32 m (8 yds) and the distance from the lower edge of the crossbar to the ground is 2.44 m (8 ft). The football goal crossbar is 10. Distance Between Soccer Goal Posts.
From www.youtube.com
football goal post size / football goal post height / football goal Distance Between Soccer Goal Posts the distance between the posts is 8 yds (7.32 m) and the distance from the lower edge of the crossbar to the ground is 8 ft. the bar chart presents a clear comparison of the recommended soccer goal post dimensions set by the football. the width of the goal posts in football is measured horizontally between the. Distance Between Soccer Goal Posts.
From brainly.com
A football kicker attempted to make field goals from different Distance Between Soccer Goal Posts the standard length of a soccer pitch varies but typically falls within the range of 100 to 130 yards (90 to 120. The football goal crossbar is 10 feet high, and the posts are an additional 20 feet high, for a total height of 30 feet. the bar chart presents a clear comparison of the recommended soccer goal. Distance Between Soccer Goal Posts.
From dilseheal.com
The Top 25 Favorites how much are soccer goals Distance Between Soccer Goal Posts goal post dimensions. the standard length of a soccer pitch varies but typically falls within the range of 100 to 130 yards (90 to 120. the bar chart presents a clear comparison of the recommended soccer goal post dimensions set by the football. the distance between the posts is 8 yds (7.32 m) and the distance. Distance Between Soccer Goal Posts.
From finwise.edu.vn
Albums 98+ Pictures What Is The Length Of A Football Field From Goal Distance Between Soccer Goal Posts the distance between the posts is 8 yds (7.32 m) and the distance from the lower edge of the crossbar to the ground is 8 ft. football field goalposts are 18.5 feet wide for national football league games, set on a crossbar 10 feet up off the ground. goal post dimensions. the bar chart presents a. Distance Between Soccer Goal Posts.
From ar.inspiredpencil.com
Soccer Field Goal Area Distance Between Soccer Goal Posts the distance between the posts is 8 yds (7.32 m) and the distance from the lower edge of the crossbar to the ground is 8 ft. football field goalposts are 18.5 feet wide for national football league games, set on a crossbar 10 feet up off the ground. The football goal crossbar is 10 feet high, and the. Distance Between Soccer Goal Posts.
From turftank.com
The Ultimate Guide How to mark a soccer field? Read Here Distance Between Soccer Goal Posts the standard length of a soccer pitch varies but typically falls within the range of 100 to 130 yards (90 to 120. the width of the goal posts in football is measured horizontally between the inner edges of the two upright posts. The football goal crossbar is 10 feet high, and the posts are an additional 20 feet. Distance Between Soccer Goal Posts.
From www.progressivesoccertraining.com
Average Distance Covered By A Soccer Player in Km Per Game Distance Between Soccer Goal Posts the width of the goal posts in football is measured horizontally between the inner edges of the two upright posts. the bar chart presents a clear comparison of the recommended soccer goal post dimensions set by the football. goal post dimensions. the distance between the posts is 8 yds (7.32 m) and the distance from the. Distance Between Soccer Goal Posts.
From www.vrogue.co
What Color Are Football Goal Post vrogue.co Distance Between Soccer Goal Posts the width of the goal posts in football is measured horizontally between the inner edges of the two upright posts. the bar chart presents a clear comparison of the recommended soccer goal post dimensions set by the football. the standard length of a soccer pitch varies but typically falls within the range of 100 to 130 yards. Distance Between Soccer Goal Posts.
From soccerhint.com
How Far is Goal Post to Goal Post in Football? Distance Between Soccer Goal Posts The football goal crossbar is 10 feet high, and the posts are an additional 20 feet high, for a total height of 30 feet. the distance between the posts is 7.32 m (8 yds) and the distance from the lower edge of the crossbar to the ground is 2.44 m (8 ft). the bar chart presents a clear. Distance Between Soccer Goal Posts.
From soccerhowto.com
Soccer How To • Rules of Soccer Timeline Distance Between Soccer Goal Posts the distance between the posts is 8 yds (7.32 m) and the distance from the lower edge of the crossbar to the ground is 8 ft. goal post dimensions. the width of the goal posts in football is measured horizontally between the inner edges of the two upright posts. the distance between the posts is 7.32. Distance Between Soccer Goal Posts.
From www.harrodsport.com
A Guide to Rugby League Dimensions, Sizes and Markings Everything you Distance Between Soccer Goal Posts the distance between the posts is 7.32 m (8 yds) and the distance from the lower edge of the crossbar to the ground is 2.44 m (8 ft). goal post dimensions. the bar chart presents a clear comparison of the recommended soccer goal post dimensions set by the football. the width of the goal posts in. Distance Between Soccer Goal Posts.
From soccertraininglab.com
How Big are Soccer Fields What is the Size of a Soccer Field in Feet Distance Between Soccer Goal Posts the standard length of a soccer pitch varies but typically falls within the range of 100 to 130 yards (90 to 120. the distance between the posts is 8 yds (7.32 m) and the distance from the lower edge of the crossbar to the ground is 8 ft. The football goal crossbar is 10 feet high, and the. Distance Between Soccer Goal Posts.
From www.animalia-life.club
Soccer Field Dimensions In Yards Distance Between Soccer Goal Posts football field goalposts are 18.5 feet wide for national football league games, set on a crossbar 10 feet up off the ground. The football goal crossbar is 10 feet high, and the posts are an additional 20 feet high, for a total height of 30 feet. the distance between the posts is 8 yds (7.32 m) and the. Distance Between Soccer Goal Posts.
From www.youtube.com
Top 10 Distance Football Goals YouTube Distance Between Soccer Goal Posts the bar chart presents a clear comparison of the recommended soccer goal post dimensions set by the football. the standard length of a soccer pitch varies but typically falls within the range of 100 to 130 yards (90 to 120. the distance between the posts is 7.32 m (8 yds) and the distance from the lower edge. Distance Between Soccer Goal Posts.
From www.networldsports.co.nz
3.7m x 1.8m FORZA Match Football Goal Post Net World Sports Distance Between Soccer Goal Posts goal post dimensions. the distance between the posts is 8 yds (7.32 m) and the distance from the lower edge of the crossbar to the ground is 8 ft. football field goalposts are 18.5 feet wide for national football league games, set on a crossbar 10 feet up off the ground. the bar chart presents a. Distance Between Soccer Goal Posts.
From www.soccer-academy.net
Soccer Field Layout Correct Soccer Field Dimensions, Markings and Format Distance Between Soccer Goal Posts goal post dimensions. The football goal crossbar is 10 feet high, and the posts are an additional 20 feet high, for a total height of 30 feet. the standard length of a soccer pitch varies but typically falls within the range of 100 to 130 yards (90 to 120. the distance between the posts is 8 yds. Distance Between Soccer Goal Posts.
From www.soccerstatistically.com
Goal Time Analysis — Soccer Statistically Distance Between Soccer Goal Posts the distance between the posts is 8 yds (7.32 m) and the distance from the lower edge of the crossbar to the ground is 8 ft. the width of the goal posts in football is measured horizontally between the inner edges of the two upright posts. the bar chart presents a clear comparison of the recommended soccer. Distance Between Soccer Goal Posts.
From messer-ravensburg.de
Football Field Goal Dimensions Distance Between Soccer Goal Posts goal post dimensions. the distance between the posts is 7.32 m (8 yds) and the distance from the lower edge of the crossbar to the ground is 2.44 m (8 ft). the standard length of a soccer pitch varies but typically falls within the range of 100 to 130 yards (90 to 120. football field goalposts. Distance Between Soccer Goal Posts.
From www.firstteaminc.com
Football Goal Post Dimensions First Team Inc. Distance Between Soccer Goal Posts the distance between the posts is 8 yds (7.32 m) and the distance from the lower edge of the crossbar to the ground is 8 ft. goal post dimensions. football field goalposts are 18.5 feet wide for national football league games, set on a crossbar 10 feet up off the ground. the bar chart presents a. Distance Between Soccer Goal Posts.
From www.corporatecomplianceinsights.com
As Goalposts Keep Moving, How Can Companies Ensure Responsible Data Distance Between Soccer Goal Posts the standard length of a soccer pitch varies but typically falls within the range of 100 to 130 yards (90 to 120. The football goal crossbar is 10 feet high, and the posts are an additional 20 feet high, for a total height of 30 feet. the distance between the posts is 8 yds (7.32 m) and the. Distance Between Soccer Goal Posts.
From www.sportzcraazy.com
Football Ground Measurement Field Length Dimensions Goal Post Size Distance Between Soccer Goal Posts football field goalposts are 18.5 feet wide for national football league games, set on a crossbar 10 feet up off the ground. the width of the goal posts in football is measured horizontally between the inner edges of the two upright posts. the bar chart presents a clear comparison of the recommended soccer goal post dimensions set. Distance Between Soccer Goal Posts.
From www.harrodsport.com
Rugby Pitch Dimensions & Markings Harrod Sport Distance Between Soccer Goal Posts the distance between the posts is 7.32 m (8 yds) and the distance from the lower edge of the crossbar to the ground is 2.44 m (8 ft). football field goalposts are 18.5 feet wide for national football league games, set on a crossbar 10 feet up off the ground. The football goal crossbar is 10 feet high,. Distance Between Soccer Goal Posts.
From www.alamy.com
Football playground in Australia. Soccer playground with goal posts Distance Between Soccer Goal Posts goal post dimensions. the bar chart presents a clear comparison of the recommended soccer goal post dimensions set by the football. the standard length of a soccer pitch varies but typically falls within the range of 100 to 130 yards (90 to 120. football field goalposts are 18.5 feet wide for national football league games, set. Distance Between Soccer Goal Posts.
From www.itsagoal.net
Folding Goalposts 21x7 ITSA Goal Elliptical Freestanding Football Goals Distance Between Soccer Goal Posts the standard length of a soccer pitch varies but typically falls within the range of 100 to 130 yards (90 to 120. football field goalposts are 18.5 feet wide for national football league games, set on a crossbar 10 feet up off the ground. the bar chart presents a clear comparison of the recommended soccer goal post. Distance Between Soccer Goal Posts.