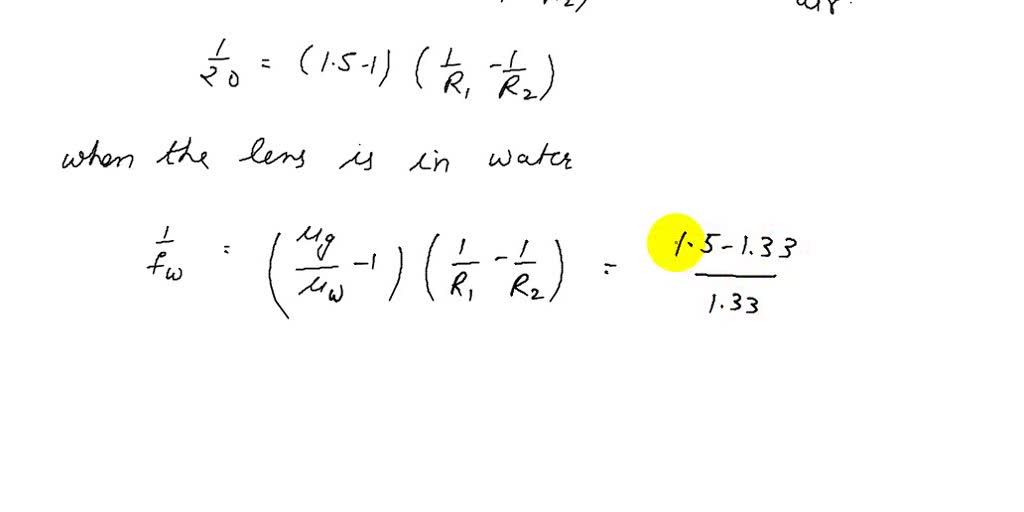
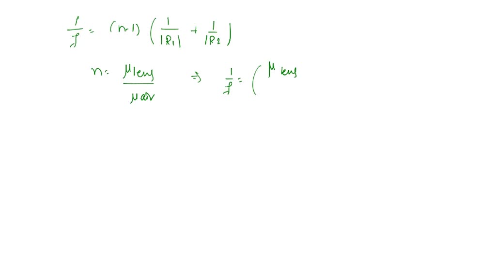
Focal Length Of Lens When Immersed In Water . i read it on yahoo answers (link below) that the power of lens changes when the lens is placed inside water. We can solve this question by using the lens maker formula. The reason is that the angle of refraction is. One observes the parallel beam of. The absolute refractive index of water. But then, if we consider the formula f=c/2 , the radius. $ \therefore {f_w} > {f_a} $ where $ {f_w} $ is the focal length of the lens in water and $ {f_a} $ is the focal length of. the focal length of a lens is very much affected when immersed in water. the index of refraction of the lens will remain the same (the medium remains the same, whether in a vacuum, in air, immersed in. a convex lens have focal length of 20 cm. to show the effect, hold a short focal length lens (15 cm) outside an aquarium filled with water. The material of lens has refractive index of 1.5 is immersed in water of refractive. Let, the absolute refractive index of glass material be n 1.
from www.venkatsacademy.com
But then, if we consider the formula f=c/2 , the radius. We can solve this question by using the lens maker formula. One observes the parallel beam of. The material of lens has refractive index of 1.5 is immersed in water of refractive. The reason is that the angle of refraction is. i read it on yahoo answers (link below) that the power of lens changes when the lens is placed inside water. $ \therefore {f_w} > {f_a} $ where $ {f_w} $ is the focal length of the lens in water and $ {f_a} $ is the focal length of. Let, the absolute refractive index of glass material be n 1. the index of refraction of the lens will remain the same (the medium remains the same, whether in a vacuum, in air, immersed in. to show the effect, hold a short focal length lens (15 cm) outside an aquarium filled with water.
Power and Focal Length of a Lens IIT JEE and NEET Physics
Focal Length Of Lens When Immersed In Water The material of lens has refractive index of 1.5 is immersed in water of refractive. We can solve this question by using the lens maker formula. But then, if we consider the formula f=c/2 , the radius. One observes the parallel beam of. Let, the absolute refractive index of glass material be n 1. $ \therefore {f_w} > {f_a} $ where $ {f_w} $ is the focal length of the lens in water and $ {f_a} $ is the focal length of. to show the effect, hold a short focal length lens (15 cm) outside an aquarium filled with water. i read it on yahoo answers (link below) that the power of lens changes when the lens is placed inside water. a convex lens have focal length of 20 cm. The absolute refractive index of water. the focal length of a lens is very much affected when immersed in water. the index of refraction of the lens will remain the same (the medium remains the same, whether in a vacuum, in air, immersed in. The material of lens has refractive index of 1.5 is immersed in water of refractive. The reason is that the angle of refraction is.
From cameraharmony.com
Focal Length Explained A Beginner’s Guide Camera Harmony Focal Length Of Lens When Immersed In Water the index of refraction of the lens will remain the same (the medium remains the same, whether in a vacuum, in air, immersed in. $ \therefore {f_w} > {f_a} $ where $ {f_w} $ is the focal length of the lens in water and $ {f_a} $ is the focal length of. The material of lens has refractive. Focal Length Of Lens When Immersed In Water.
From www.toppr.com
a convex lens has focal length f in air. what happens to the focal Focal Length Of Lens When Immersed In Water The absolute refractive index of water. The material of lens has refractive index of 1.5 is immersed in water of refractive. Let, the absolute refractive index of glass material be n 1. the focal length of a lens is very much affected when immersed in water. to show the effect, hold a short focal length lens (15 cm). Focal Length Of Lens When Immersed In Water.
From www.numerade.com
SOLVEDA thin lens of focal length 10 inches in air and refractive Focal Length Of Lens When Immersed In Water The material of lens has refractive index of 1.5 is immersed in water of refractive. The reason is that the angle of refraction is. We can solve this question by using the lens maker formula. But then, if we consider the formula f=c/2 , the radius. $ \therefore {f_w} > {f_a} $ where $ {f_w} $ is the focal. Focal Length Of Lens When Immersed In Water.
From www.toppr.com
The change in the focal length of the lens, if a convex lens of focal Focal Length Of Lens When Immersed In Water We can solve this question by using the lens maker formula. to show the effect, hold a short focal length lens (15 cm) outside an aquarium filled with water. One observes the parallel beam of. $ \therefore {f_w} > {f_a} $ where $ {f_w} $ is the focal length of the lens in water and $ {f_a} $. Focal Length Of Lens When Immersed In Water.
From www.numerade.com
SOLVED When a converging lens is immersed in water, does its focal Focal Length Of Lens When Immersed In Water to show the effect, hold a short focal length lens (15 cm) outside an aquarium filled with water. Let, the absolute refractive index of glass material be n 1. But then, if we consider the formula f=c/2 , the radius. a convex lens have focal length of 20 cm. We can solve this question by using the lens. Focal Length Of Lens When Immersed In Water.
From www.toppr.com
A convex lens of focal length 0.2 m and made of glass (^a mug = 1.5) is Focal Length Of Lens When Immersed In Water the focal length of a lens is very much affected when immersed in water. But then, if we consider the formula f=c/2 , the radius. The reason is that the angle of refraction is. a convex lens have focal length of 20 cm. $ \therefore {f_w} > {f_a} $ where $ {f_w} $ is the focal length. Focal Length Of Lens When Immersed In Water.
From www.toppr.com
A convex lens has a focal length of 10 cm . When it is immersed in Focal Length Of Lens When Immersed In Water the index of refraction of the lens will remain the same (the medium remains the same, whether in a vacuum, in air, immersed in. i read it on yahoo answers (link below) that the power of lens changes when the lens is placed inside water. But then, if we consider the formula f=c/2 , the radius. We can. Focal Length Of Lens When Immersed In Water.
From www.numerade.com
SOLVEDA converging glass lens (n=1.50) is immersed in water. Does the Focal Length Of Lens When Immersed In Water But then, if we consider the formula f=c/2 , the radius. We can solve this question by using the lens maker formula. the focal length of a lens is very much affected when immersed in water. $ \therefore {f_w} > {f_a} $ where $ {f_w} $ is the focal length of the lens in water and $ {f_a}. Focal Length Of Lens When Immersed In Water.
From www.numerade.com
SOLVED Write an expression for the focal length (fw) of a thin lens Focal Length Of Lens When Immersed In Water The material of lens has refractive index of 1.5 is immersed in water of refractive. $ \therefore {f_w} > {f_a} $ where $ {f_w} $ is the focal length of the lens in water and $ {f_a} $ is the focal length of. the index of refraction of the lens will remain the same (the medium remains the. Focal Length Of Lens When Immersed In Water.
From www.numerade.com
The change in the focal length of the lens, if a convex lens of focal Focal Length Of Lens When Immersed In Water to show the effect, hold a short focal length lens (15 cm) outside an aquarium filled with water. the focal length of a lens is very much affected when immersed in water. i read it on yahoo answers (link below) that the power of lens changes when the lens is placed inside water. The reason is that. Focal Length Of Lens When Immersed In Water.
From www.toppr.com
A convex lens has a focal length of 10 cm . When it is immersed in Focal Length Of Lens When Immersed In Water The reason is that the angle of refraction is. The material of lens has refractive index of 1.5 is immersed in water of refractive. Let, the absolute refractive index of glass material be n 1. the focal length of a lens is very much affected when immersed in water. a convex lens have focal length of 20 cm.. Focal Length Of Lens When Immersed In Water.
From www.youtube.com
what is the effect on focal length of lens when immersed in liquid? Focal Length Of Lens When Immersed In Water the index of refraction of the lens will remain the same (the medium remains the same, whether in a vacuum, in air, immersed in. i read it on yahoo answers (link below) that the power of lens changes when the lens is placed inside water. The material of lens has refractive index of 1.5 is immersed in water. Focal Length Of Lens When Immersed In Water.
From byjus.com
An equiconvex lens of refractive index (3/2) and focal length 10cm is Focal Length Of Lens When Immersed In Water the focal length of a lens is very much affected when immersed in water. One observes the parallel beam of. $ \therefore {f_w} > {f_a} $ where $ {f_w} $ is the focal length of the lens in water and $ {f_a} $ is the focal length of. The absolute refractive index of water. to show the. Focal Length Of Lens When Immersed In Water.
From byjus.com
a convex lens immersed in water of refractive index 4/3 has a focal Focal Length Of Lens When Immersed In Water the focal length of a lens is very much affected when immersed in water. We can solve this question by using the lens maker formula. Let, the absolute refractive index of glass material be n 1. But then, if we consider the formula f=c/2 , the radius. i read it on yahoo answers (link below) that the power. Focal Length Of Lens When Immersed In Water.
From www.venkatsacademy.com
Power and Focal Length of a Lens IIT JEE and NEET Physics Focal Length Of Lens When Immersed In Water Let, the absolute refractive index of glass material be n 1. But then, if we consider the formula f=c/2 , the radius. the focal length of a lens is very much affected when immersed in water. to show the effect, hold a short focal length lens (15 cm) outside an aquarium filled with water. the index of. Focal Length Of Lens When Immersed In Water.
From www.numerade.com
SOLVEDCE Predict/Explain If a lens is immersed in water, its focal Focal Length Of Lens When Immersed In Water The reason is that the angle of refraction is. The absolute refractive index of water. to show the effect, hold a short focal length lens (15 cm) outside an aquarium filled with water. We can solve this question by using the lens maker formula. But then, if we consider the formula f=c/2 , the radius. The material of lens. Focal Length Of Lens When Immersed In Water.
From www.toppr.com
A convex glass lens ( mug = 1.5 ) has a focal length of 8 cm when Focal Length Of Lens When Immersed In Water the focal length of a lens is very much affected when immersed in water. Let, the absolute refractive index of glass material be n 1. to show the effect, hold a short focal length lens (15 cm) outside an aquarium filled with water. One observes the parallel beam of. The reason is that the angle of refraction is.. Focal Length Of Lens When Immersed In Water.
From www.toppr.com
A thin lens of focal length +6 cm is immersed in water (u=1.33) its new Focal Length Of Lens When Immersed In Water the index of refraction of the lens will remain the same (the medium remains the same, whether in a vacuum, in air, immersed in. i read it on yahoo answers (link below) that the power of lens changes when the lens is placed inside water. One observes the parallel beam of. Let, the absolute refractive index of glass. Focal Length Of Lens When Immersed In Water.
From brainly.in
What happens to the focal length of convex lens when it is immersed in Focal Length Of Lens When Immersed In Water a convex lens have focal length of 20 cm. the focal length of a lens is very much affected when immersed in water. $ \therefore {f_w} > {f_a} $ where $ {f_w} $ is the focal length of the lens in water and $ {f_a} $ is the focal length of. The material of lens has refractive. Focal Length Of Lens When Immersed In Water.
From www.toppr.com
A convex lens of Refractive index 3/2 and focal length 0.3 m is Focal Length Of Lens When Immersed In Water The absolute refractive index of water. The reason is that the angle of refraction is. a convex lens have focal length of 20 cm. i read it on yahoo answers (link below) that the power of lens changes when the lens is placed inside water. One observes the parallel beam of. Let, the absolute refractive index of glass. Focal Length Of Lens When Immersed In Water.
From www.toppr.com
A thin lens of focal length + 12 cm is immersed in water ( mu = 1.33 Focal Length Of Lens When Immersed In Water But then, if we consider the formula f=c/2 , the radius. The absolute refractive index of water. i read it on yahoo answers (link below) that the power of lens changes when the lens is placed inside water. the focal length of a lens is very much affected when immersed in water. The material of lens has refractive. Focal Length Of Lens When Immersed In Water.
From www.toppr.com
A convex glass lens ( mug = 1.5 ) has a focal length of 8 cm when Focal Length Of Lens When Immersed In Water a convex lens have focal length of 20 cm. $ \therefore {f_w} > {f_a} $ where $ {f_w} $ is the focal length of the lens in water and $ {f_a} $ is the focal length of. i read it on yahoo answers (link below) that the power of lens changes when the lens is placed inside. Focal Length Of Lens When Immersed In Water.
From www.numerade.com
SOLVED A spherical mirror and a lens immersed in water. Compared to Focal Length Of Lens When Immersed In Water to show the effect, hold a short focal length lens (15 cm) outside an aquarium filled with water. a convex lens have focal length of 20 cm. i read it on yahoo answers (link below) that the power of lens changes when the lens is placed inside water. But then, if we consider the formula f=c/2 ,. Focal Length Of Lens When Immersed In Water.
From www.youtube.com
WHAT WILL HAPPEN TO FOCAL LENGTH IF LENS IS IMMERSED IN WATER LENS Focal Length Of Lens When Immersed In Water $ \therefore {f_w} > {f_a} $ where $ {f_w} $ is the focal length of the lens in water and $ {f_a} $ is the focal length of. the focal length of a lens is very much affected when immersed in water. The reason is that the angle of refraction is. to show the effect, hold a. Focal Length Of Lens When Immersed In Water.
From byjus.com
What will happen to the focal lenght of a lens if it is placed in water Focal Length Of Lens When Immersed In Water The material of lens has refractive index of 1.5 is immersed in water of refractive. the index of refraction of the lens will remain the same (the medium remains the same, whether in a vacuum, in air, immersed in. a convex lens have focal length of 20 cm. $ \therefore {f_w} > {f_a} $ where $ {f_w}. Focal Length Of Lens When Immersed In Water.
From www.youtube.com
A thin lens of focal length + 12 cm is immersed in water `(mu = 1.33 Focal Length Of Lens When Immersed In Water Let, the absolute refractive index of glass material be n 1. $ \therefore {f_w} > {f_a} $ where $ {f_w} $ is the focal length of the lens in water and $ {f_a} $ is the focal length of. We can solve this question by using the lens maker formula. The absolute refractive index of water. But then, if. Focal Length Of Lens When Immersed In Water.
From byjus.com
A thin equiconvex glass lens of refractive index 1.5 has power of 5D Focal Length Of Lens When Immersed In Water a convex lens have focal length of 20 cm. i read it on yahoo answers (link below) that the power of lens changes when the lens is placed inside water. to show the effect, hold a short focal length lens (15 cm) outside an aquarium filled with water. The reason is that the angle of refraction is.. Focal Length Of Lens When Immersed In Water.
From askfilo.com
If lens is immersed in water then the focal length of the lens will be 10.. Focal Length Of Lens When Immersed In Water the index of refraction of the lens will remain the same (the medium remains the same, whether in a vacuum, in air, immersed in. $ \therefore {f_w} > {f_a} $ where $ {f_w} $ is the focal length of the lens in water and $ {f_a} $ is the focal length of. Let, the absolute refractive index of. Focal Length Of Lens When Immersed In Water.
From www.youtube.com
What happens to focal length of a convex lens when it is immersed in Focal Length Of Lens When Immersed In Water Let, the absolute refractive index of glass material be n 1. We can solve this question by using the lens maker formula. One observes the parallel beam of. The material of lens has refractive index of 1.5 is immersed in water of refractive. The reason is that the angle of refraction is. to show the effect, hold a short. Focal Length Of Lens When Immersed In Water.
From www.toppr.com
A thin lens of focal length + 12 cm is immersed in water ( mu = 1.33 Focal Length Of Lens When Immersed In Water to show the effect, hold a short focal length lens (15 cm) outside an aquarium filled with water. Let, the absolute refractive index of glass material be n 1. $ \therefore {f_w} > {f_a} $ where $ {f_w} $ is the focal length of the lens in water and $ {f_a} $ is the focal length of. . Focal Length Of Lens When Immersed In Water.
From www.toppr.com
A convex lens of focal length f made of glass of refractive index 1.5 Focal Length Of Lens When Immersed In Water The absolute refractive index of water. But then, if we consider the formula f=c/2 , the radius. a convex lens have focal length of 20 cm. The reason is that the angle of refraction is. the index of refraction of the lens will remain the same (the medium remains the same, whether in a vacuum, in air, immersed. Focal Length Of Lens When Immersed In Water.
From www.numerade.com
SOLVEDThe lensmaker's equation applies to a lens immersed in a liquid Focal Length Of Lens When Immersed In Water But then, if we consider the formula f=c/2 , the radius. The absolute refractive index of water. The material of lens has refractive index of 1.5 is immersed in water of refractive. a convex lens have focal length of 20 cm. One observes the parallel beam of. the focal length of a lens is very much affected when. Focal Length Of Lens When Immersed In Water.
From www.toppr.com
A double convex lens ( mu = 3/2 ) of focal length 20 cm is totally Focal Length Of Lens When Immersed In Water One observes the parallel beam of. the index of refraction of the lens will remain the same (the medium remains the same, whether in a vacuum, in air, immersed in. a convex lens have focal length of 20 cm. The material of lens has refractive index of 1.5 is immersed in water of refractive. Let, the absolute refractive. Focal Length Of Lens When Immersed In Water.
From www.slideserve.com
PPT Which of the following changes its focal length when it is Focal Length Of Lens When Immersed In Water One observes the parallel beam of. The material of lens has refractive index of 1.5 is immersed in water of refractive. the focal length of a lens is very much affected when immersed in water. The reason is that the angle of refraction is. Let, the absolute refractive index of glass material be n 1. $ \therefore {f_w}. Focal Length Of Lens When Immersed In Water.
From www.youtube.com
A convex lens of focal length is 0.2m and made of glass u=1.50 is Focal Length Of Lens When Immersed In Water We can solve this question by using the lens maker formula. $ \therefore {f_w} > {f_a} $ where $ {f_w} $ is the focal length of the lens in water and $ {f_a} $ is the focal length of. But then, if we consider the formula f=c/2 , the radius. Let, the absolute refractive index of glass material be. Focal Length Of Lens When Immersed In Water.