How To Find Mirror Point . Drag the point p to see.   compute the closest point on the line to the point in question.   find the mirror point of a parabola.  how can i find the coordinates of a point reflected over a line that may not necessarily be any of the axis? For each corner of the shape: Then invert the direction of the vector between those. Measure from the point to the mirror line (must hit the mirror line at a right angle) 2.  the given point p is reflected in the mirror and appears on the other side of the line an equal distance it.  reflection symmetry (sometimes called line symmetry or mirror symmetry) is easy to see, because one half is the reflection of the other half.   in this video the tutor shows how to find the mirror point using a quadratic equation.
        
         
         
        from www.youtube.com 
     
        
        Measure from the point to the mirror line (must hit the mirror line at a right angle) 2.  the given point p is reflected in the mirror and appears on the other side of the line an equal distance it. For each corner of the shape:   find the mirror point of a parabola.  reflection symmetry (sometimes called line symmetry or mirror symmetry) is easy to see, because one half is the reflection of the other half. Then invert the direction of the vector between those.   compute the closest point on the line to the point in question.   in this video the tutor shows how to find the mirror point using a quadratic equation. Drag the point p to see.  how can i find the coordinates of a point reflected over a line that may not necessarily be any of the axis?
    
    	
            
	
		 
	 
         
    Find Mirror Image of a Point(1, 1, 0) Reflected on Vector Plane x + y 
    How To Find Mirror Point   reflection symmetry (sometimes called line symmetry or mirror symmetry) is easy to see, because one half is the reflection of the other half.   compute the closest point on the line to the point in question. Then invert the direction of the vector between those.   in this video the tutor shows how to find the mirror point using a quadratic equation.   find the mirror point of a parabola.  reflection symmetry (sometimes called line symmetry or mirror symmetry) is easy to see, because one half is the reflection of the other half.  how can i find the coordinates of a point reflected over a line that may not necessarily be any of the axis? For each corner of the shape: Measure from the point to the mirror line (must hit the mirror line at a right angle) 2.  the given point p is reflected in the mirror and appears on the other side of the line an equal distance it. Drag the point p to see.
            
	
		 
	 
         
 
    
         
        From www.teachoo.com 
                    Example 22 Straight lines work as plane mirror for a point How To Find Mirror Point  Drag the point p to see.   find the mirror point of a parabola.  the given point p is reflected in the mirror and appears on the other side of the line an equal distance it.   compute the closest point on the line to the point in question. Measure from the point to the mirror line (must hit. How To Find Mirror Point.
     
    
         
        From www.teachoo.com 
                    Convex Mirror Ray diagram, Images Formed with Steps Teachoo How To Find Mirror Point  For each corner of the shape:   find the mirror point of a parabola. Measure from the point to the mirror line (must hit the mirror line at a right angle) 2.  reflection symmetry (sometimes called line symmetry or mirror symmetry) is easy to see, because one half is the reflection of the other half.  how can i. How To Find Mirror Point.
     
    
         
        From www.sarthaks.com 
                    Two flat mirrors have their reflecting surfaces facing each other ,with How To Find Mirror Point    in this video the tutor shows how to find the mirror point using a quadratic equation.  how can i find the coordinates of a point reflected over a line that may not necessarily be any of the axis? Then invert the direction of the vector between those. For each corner of the shape:   compute the closest point. How To Find Mirror Point.
     
    
         
        From www.aakash.ac.in 
                    Parallel & Perpendicular Mirrors Image Formation AESL How To Find Mirror Point    compute the closest point on the line to the point in question. Measure from the point to the mirror line (must hit the mirror line at a right angle) 2.  the given point p is reflected in the mirror and appears on the other side of the line an equal distance it. Then invert the direction of the. How To Find Mirror Point.
     
    
         
        From www.teachoo.com 
                    Rules for drawing Ray Diagram in Concave and Convex Mirror Teachoo How To Find Mirror Point   the given point p is reflected in the mirror and appears on the other side of the line an equal distance it. For each corner of the shape: Drag the point p to see.  reflection symmetry (sometimes called line symmetry or mirror symmetry) is easy to see, because one half is the reflection of the other half. Measure. How To Find Mirror Point.
     
    
         
        From math.wonderhowto.com 
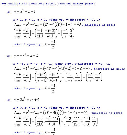
                    How to Use the quadratic equation finding the mirror point « Math How To Find Mirror Point  Measure from the point to the mirror line (must hit the mirror line at a right angle) 2.  how can i find the coordinates of a point reflected over a line that may not necessarily be any of the axis? For each corner of the shape: Then invert the direction of the vector between those.  the given point. How To Find Mirror Point.
     
    
         
        From fixjeffriesperitricha.z21.web.core.windows.net 
                    Light Reflection And Refraction Ray Diagrams How To Find Mirror Point   the given point p is reflected in the mirror and appears on the other side of the line an equal distance it.   in this video the tutor shows how to find the mirror point using a quadratic equation.  how can i find the coordinates of a point reflected over a line that may not necessarily be any. How To Find Mirror Point.
     
    
         
        From www.youtube.com 
                    How to find mirror image of (0, 8) on x + 2y = 4 over a line YouTube How To Find Mirror Point  Then invert the direction of the vector between those.   in this video the tutor shows how to find the mirror point using a quadratic equation. For each corner of the shape:   compute the closest point on the line to the point in question.  reflection symmetry (sometimes called line symmetry or mirror symmetry) is easy to see, because. How To Find Mirror Point.
     
    
         
        From arqen.com 
                    How to Build a "ReflectionFree Zone" to Treat Early Reflections How To Find Mirror Point  For each corner of the shape: Then invert the direction of the vector between those.   in this video the tutor shows how to find the mirror point using a quadratic equation.   compute the closest point on the line to the point in question.  how can i find the coordinates of a point reflected over a line that. How To Find Mirror Point.
     
    
         
        From www.chegg.com 
                    Solved Example 1 Two mirrors make an angle of 120 with each How To Find Mirror Point    in this video the tutor shows how to find the mirror point using a quadratic equation.   compute the closest point on the line to the point in question.   find the mirror point of a parabola. Measure from the point to the mirror line (must hit the mirror line at a right angle) 2. For each corner of. How To Find Mirror Point.
     
    
         
        From thirdspacelearning.com 
                    Reflection GCSE Maths Steps, Examples & Worksheet How To Find Mirror Point    compute the closest point on the line to the point in question. Measure from the point to the mirror line (must hit the mirror line at a right angle) 2. For each corner of the shape:   find the mirror point of a parabola.  reflection symmetry (sometimes called line symmetry or mirror symmetry) is easy to see, because. How To Find Mirror Point.
     
    
         
        From www.teachoo.com 
                    Concave Mirror Ray diagram, Image Formation, Table Teachoo How To Find Mirror Point   the given point p is reflected in the mirror and appears on the other side of the line an equal distance it. Then invert the direction of the vector between those. For each corner of the shape: Drag the point p to see.  how can i find the coordinates of a point reflected over a line that may. How To Find Mirror Point.
     
    
         
        From neutronclasses.com 
                    CHAPTER 10 LIGHT REFLECTION AND REFRACTION Part 2 How To Find Mirror Point  Then invert the direction of the vector between those.  how can i find the coordinates of a point reflected over a line that may not necessarily be any of the axis?   in this video the tutor shows how to find the mirror point using a quadratic equation.  the given point p is reflected in the mirror and. How To Find Mirror Point.
     
    
         
        From byjus.com 
                    To Find Focal Length of a Convex Mirror Using a Convex Mirror Viva Voce How To Find Mirror Point   reflection symmetry (sometimes called line symmetry or mirror symmetry) is easy to see, because one half is the reflection of the other half. Drag the point p to see. Then invert the direction of the vector between those.  the given point p is reflected in the mirror and appears on the other side of the line an equal. How To Find Mirror Point.
     
    
         
        From www.chegg.com 
                    Solved Two plane mirrors are at a 60degree angle to one How To Find Mirror Point    find the mirror point of a parabola.  reflection symmetry (sometimes called line symmetry or mirror symmetry) is easy to see, because one half is the reflection of the other half. Measure from the point to the mirror line (must hit the mirror line at a right angle) 2.   compute the closest point on the line to the. How To Find Mirror Point.
     
    
         
        From www.teachoo.com 
                    Lens Formula and Magnification Formula with Numericals Class 10 How To Find Mirror Point  Drag the point p to see.   in this video the tutor shows how to find the mirror point using a quadratic equation. Then invert the direction of the vector between those. For each corner of the shape:  the given point p is reflected in the mirror and appears on the other side of the line an equal distance. How To Find Mirror Point.
     
    
         
        From www.nagwa.com 
                    Question Video Identifying the Mirror Line Used given a Point and Its How To Find Mirror Point  Measure from the point to the mirror line (must hit the mirror line at a right angle) 2.   compute the closest point on the line to the point in question. Then invert the direction of the vector between those. Drag the point p to see.   find the mirror point of a parabola. For each corner of the shape:. How To Find Mirror Point.
     
    
         
        From brainly.in 
                    How does a plane mirror form an image of a point source of light placed How To Find Mirror Point   the given point p is reflected in the mirror and appears on the other side of the line an equal distance it.   in this video the tutor shows how to find the mirror point using a quadratic equation.  reflection symmetry (sometimes called line symmetry or mirror symmetry) is easy to see, because one half is the reflection. How To Find Mirror Point.
     
    
         
        From www.slideserve.com 
                    PPT Convex Mirrors PowerPoint Presentation, free download ID2467402 How To Find Mirror Point  Measure from the point to the mirror line (must hit the mirror line at a right angle) 2. Drag the point p to see.  how can i find the coordinates of a point reflected over a line that may not necessarily be any of the axis?   find the mirror point of a parabola.  reflection symmetry (sometimes called. How To Find Mirror Point.
     
    
         
        From www.youtube.com 
                    Find the image of the point (8,12) with respect to the line mirror 4x How To Find Mirror Point    find the mirror point of a parabola. Measure from the point to the mirror line (must hit the mirror line at a right angle) 2.   compute the closest point on the line to the point in question. Drag the point p to see.  how can i find the coordinates of a point reflected over a line that. How To Find Mirror Point.
     
    
         
        From www.ransensoftware.com 
                    How to mirror point lists horizontally or vertically How To Find Mirror Point  For each corner of the shape: Drag the point p to see. Then invert the direction of the vector between those.  how can i find the coordinates of a point reflected over a line that may not necessarily be any of the axis? Measure from the point to the mirror line (must hit the mirror line at a right. How To Find Mirror Point.
     
    
         
        From spmscience.blog.onlinetuition.com.my 
                    Formation of Images by Lenses (Structured Questions) SPM Science How To Find Mirror Point   the given point p is reflected in the mirror and appears on the other side of the line an equal distance it.   in this video the tutor shows how to find the mirror point using a quadratic equation. Drag the point p to see. Then invert the direction of the vector between those.   compute the closest point. How To Find Mirror Point.
     
    
         
        From byjus.com 
                    A plane mirror and a concave mirror are arranged as shown in figure and How To Find Mirror Point    compute the closest point on the line to the point in question.   find the mirror point of a parabola. Drag the point p to see.  reflection symmetry (sometimes called line symmetry or mirror symmetry) is easy to see, because one half is the reflection of the other half. For each corner of the shape: Measure from the. How To Find Mirror Point.
     
    
         
        From www.slideserve.com 
                    PPT Chapter 31 PowerPoint Presentation, free download ID145988 How To Find Mirror Point  Measure from the point to the mirror line (must hit the mirror line at a right angle) 2.   find the mirror point of a parabola.  how can i find the coordinates of a point reflected over a line that may not necessarily be any of the axis? For each corner of the shape:   in this video the. How To Find Mirror Point.
     
    
         
        From www.teachoo.com 
                    Image formed a Plane Mirror Explained with Characterstics Teachoo How To Find Mirror Point   how can i find the coordinates of a point reflected over a line that may not necessarily be any of the axis? Drag the point p to see.  reflection symmetry (sometimes called line symmetry or mirror symmetry) is easy to see, because one half is the reflection of the other half.  the given point p is reflected. How To Find Mirror Point.
     
    
         
        From www.sliderbase.com 
                    Mirrors and Lenses Presentation Physics How To Find Mirror Point   how can i find the coordinates of a point reflected over a line that may not necessarily be any of the axis? Measure from the point to the mirror line (must hit the mirror line at a right angle) 2.   find the mirror point of a parabola. For each corner of the shape: Drag the point p to. How To Find Mirror Point.
     
    
         
        From www.chegg.com 
                    Solved An observer O, facing a mirror, observes a light How To Find Mirror Point  Drag the point p to see. For each corner of the shape:   compute the closest point on the line to the point in question.  reflection symmetry (sometimes called line symmetry or mirror symmetry) is easy to see, because one half is the reflection of the other half. Measure from the point to the mirror line (must hit the. How To Find Mirror Point.
     
    
         
        From dxoqrenbs.blob.core.windows.net 
                    What Is A Mirror Point at James Fisher blog How To Find Mirror Point    compute the closest point on the line to the point in question. Drag the point p to see.  how can i find the coordinates of a point reflected over a line that may not necessarily be any of the axis?  the given point p is reflected in the mirror and appears on the other side of the. How To Find Mirror Point.
     
    
         
        From www.teachoo.com 
                    Mirror Formula with Solved Numericals Class 10 Teachoo How To Find Mirror Point    in this video the tutor shows how to find the mirror point using a quadratic equation.  how can i find the coordinates of a point reflected over a line that may not necessarily be any of the axis? Drag the point p to see.  the given point p is reflected in the mirror and appears on the. How To Find Mirror Point.
     
    
         
        From www.thefreemathtutor.com 
                    freemathtutoring Finding the Mirror Point Exercises part of the How To Find Mirror Point    in this video the tutor shows how to find the mirror point using a quadratic equation. Drag the point p to see.   compute the closest point on the line to the point in question.   find the mirror point of a parabola.  the given point p is reflected in the mirror and appears on the other side. How To Find Mirror Point.
     
    
         
        From www.youtube.com 
                    Find Mirror Image of a Point(1, 1, 0) Reflected on Vector Plane x + y How To Find Mirror Point  Measure from the point to the mirror line (must hit the mirror line at a right angle) 2.  how can i find the coordinates of a point reflected over a line that may not necessarily be any of the axis?  the given point p is reflected in the mirror and appears on the other side of the line. How To Find Mirror Point.
     
    
         
        From www.teachoo.com 
                    Example 13 Straight lines work as plane mirror for a point How To Find Mirror Point  Drag the point p to see.  how can i find the coordinates of a point reflected over a line that may not necessarily be any of the axis? For each corner of the shape:   find the mirror point of a parabola.   in this video the tutor shows how to find the mirror point using a quadratic equation.. How To Find Mirror Point.
     
    
         
        From dxoqrenbs.blob.core.windows.net 
                    What Is A Mirror Point at James Fisher blog How To Find Mirror Point   reflection symmetry (sometimes called line symmetry or mirror symmetry) is easy to see, because one half is the reflection of the other half.  how can i find the coordinates of a point reflected over a line that may not necessarily be any of the axis?  the given point p is reflected in the mirror and appears on. How To Find Mirror Point.
     
    
         
        From math.stackexchange.com 
                    analytic geometry How to find coordinates of reflected point How To Find Mirror Point    compute the closest point on the line to the point in question. For each corner of the shape: Then invert the direction of the vector between those.  how can i find the coordinates of a point reflected over a line that may not necessarily be any of the axis? Drag the point p to see.   in this. How To Find Mirror Point.
     
    
         
        From www.ransensoftware.com 
                    How to mirror point lists horizontally or vertically How To Find Mirror Point  Drag the point p to see.   find the mirror point of a parabola.  how can i find the coordinates of a point reflected over a line that may not necessarily be any of the axis? Measure from the point to the mirror line (must hit the mirror line at a right angle) 2. For each corner of the. How To Find Mirror Point.