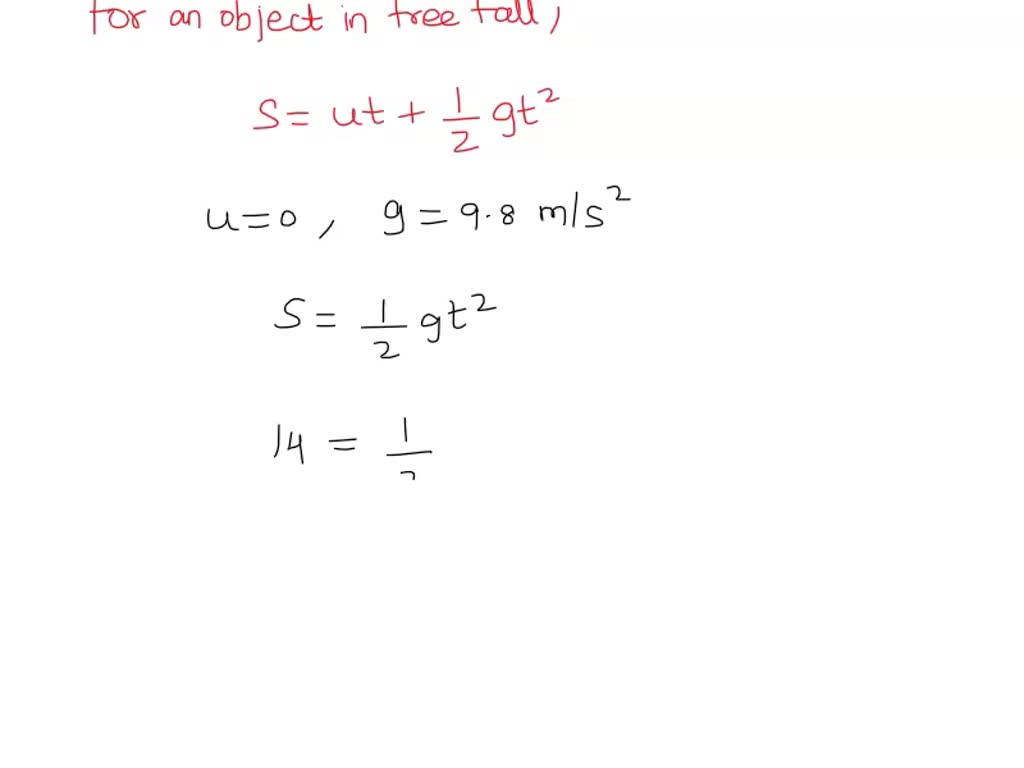
A Girl Throws A Rock Horizontally With A Speed Of 12 M/S From A Bridge . a girl throws a rock horizontally with a speed of 12 m/s from a bridge above a river. a girl throws a rock horizontally, with a velocity of 10 m/s, from a bridge. It falls 2.28 s before hitting the. a girl throws a rock horizontally with a speed of 12 m/s from a bridge. It falls 2.28s before hitting the water below. a girl throws a rock horizontally with a speed of 12 m/s from a bridge. a girl throws a rock horizontally with a speed of 12 m/s from a bridge. It falls 20 m to the water below. It falls 2.28 s before hitting the water below. It falls 2.28 s before hitting the water below. a girl throws a rock horizontally with a speed of 12 m/s from a bridge.
from brainly.com
It falls 2.28s before hitting the water below. a girl throws a rock horizontally with a speed of 12 m/s from a bridge. a girl throws a rock horizontally with a speed of 12 m/s from a bridge. a girl throws a rock horizontally, with a velocity of 10 m/s, from a bridge. a girl throws a rock horizontally with a speed of 12 m/s from a bridge. a girl throws a rock horizontally with a speed of 12 m/s from a bridge. It falls 2.28 s before hitting the water below. It falls 2.28 s before hitting the. It falls 2.28 s before hitting the water below. a girl throws a rock horizontally with a speed of 12 m/s from a bridge above a river.
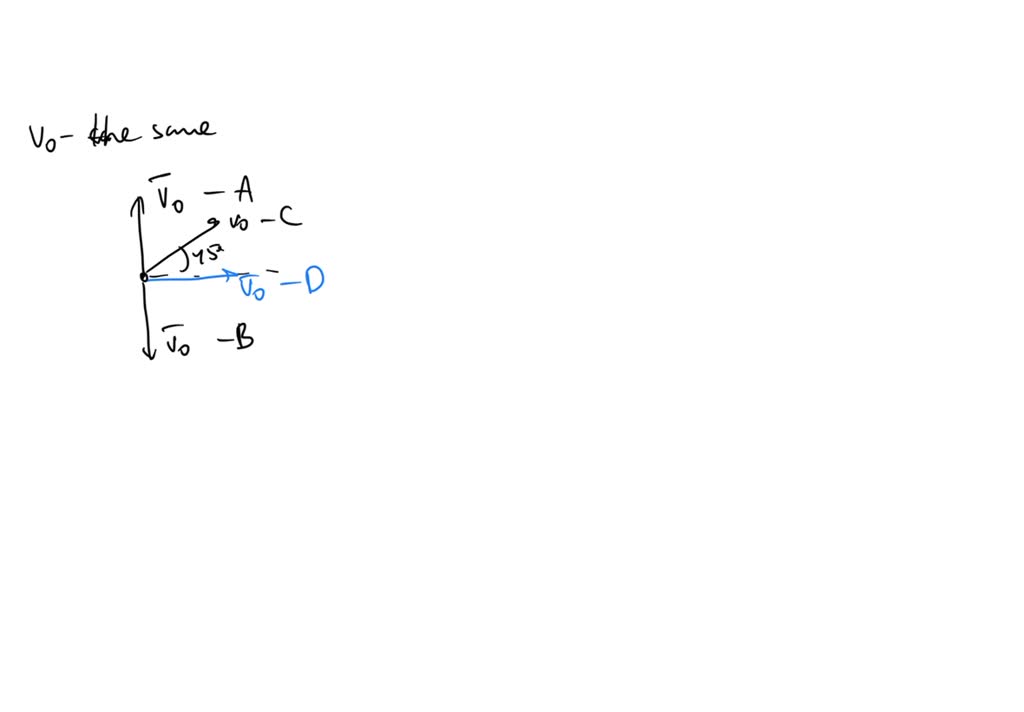
A girl throws a stone from a bridge. Consider the following ways she
A Girl Throws A Rock Horizontally With A Speed Of 12 M/S From A Bridge It falls 2.28 s before hitting the water below. a girl throws a rock horizontally with a speed of 12 m/s from a bridge. It falls 2.28s before hitting the water below. a girl throws a rock horizontally with a speed of 12 m/s from a bridge. a girl throws a rock horizontally, with a velocity of 10 m/s, from a bridge. a girl throws a rock horizontally with a speed of 12 m/s from a bridge above a river. It falls 2.28 s before hitting the water below. It falls 2.28 s before hitting the. It falls 2.28 s before hitting the water below. a girl throws a rock horizontally with a speed of 12 m/s from a bridge. a girl throws a rock horizontally with a speed of 12 m/s from a bridge. It falls 20 m to the water below.
From dxoookeux.blob.core.windows.net
A Girl Throws A Rock Horizontally With A Speed Of 12 M S From A Bridge A Girl Throws A Rock Horizontally With A Speed Of 12 M/S From A Bridge It falls 2.28 s before hitting the. a girl throws a rock horizontally, with a velocity of 10 m/s, from a bridge. It falls 2.28 s before hitting the water below. It falls 2.28 s before hitting the water below. a girl throws a rock horizontally with a speed of 12 m/s from a bridge. It falls 2.28s. A Girl Throws A Rock Horizontally With A Speed Of 12 M/S From A Bridge.
From www.chegg.com
Solved Q1 A girl throws a rock horizontally, with a velocity A Girl Throws A Rock Horizontally With A Speed Of 12 M/S From A Bridge It falls 2.28 s before hitting the. It falls 2.28s before hitting the water below. a girl throws a rock horizontally with a speed of 12 m/s from a bridge. It falls 20 m to the water below. a girl throws a rock horizontally with a speed of 12 m/s from a bridge. a girl throws a. A Girl Throws A Rock Horizontally With A Speed Of 12 M/S From A Bridge.
From www.numerade.com
A stone is thrown horizontally with a speed of 12 m/s over the edge of A Girl Throws A Rock Horizontally With A Speed Of 12 M/S From A Bridge a girl throws a rock horizontally with a speed of 12 m/s from a bridge. It falls 2.28 s before hitting the water below. a girl throws a rock horizontally with a speed of 12 m/s from a bridge above a river. a girl throws a rock horizontally, with a velocity of 10 m/s, from a bridge.. A Girl Throws A Rock Horizontally With A Speed Of 12 M/S From A Bridge.
From dxouodnvk.blob.core.windows.net
A Girl Throws A Rock Horizontally With A Velocity Of 10 M S From A A Girl Throws A Rock Horizontally With A Speed Of 12 M/S From A Bridge a girl throws a rock horizontally with a speed of 12 m/s from a bridge. a girl throws a rock horizontally with a speed of 12 m/s from a bridge above a river. It falls 2.28 s before hitting the water below. a girl throws a rock horizontally with a speed of 12 m/s from a bridge.. A Girl Throws A Rock Horizontally With A Speed Of 12 M/S From A Bridge.
From www.vrogue.co
Solved A Girl Throws A Rock Horizontally With A Veloc vrogue.co A Girl Throws A Rock Horizontally With A Speed Of 12 M/S From A Bridge It falls 2.28 s before hitting the. a girl throws a rock horizontally with a speed of 12 m/s from a bridge. It falls 20 m to the water below. It falls 2.28s before hitting the water below. It falls 2.28 s before hitting the water below. a girl throws a rock horizontally with a speed of 12. A Girl Throws A Rock Horizontally With A Speed Of 12 M/S From A Bridge.
From dxoookeux.blob.core.windows.net
A Girl Throws A Rock Horizontally With A Speed Of 12 M S From A Bridge A Girl Throws A Rock Horizontally With A Speed Of 12 M/S From A Bridge It falls 2.28s before hitting the water below. a girl throws a rock horizontally with a speed of 12 m/s from a bridge. It falls 20 m to the water below. a girl throws a rock horizontally with a speed of 12 m/s from a bridge. a girl throws a rock horizontally, with a velocity of 10. A Girl Throws A Rock Horizontally With A Speed Of 12 M/S From A Bridge.
From www.numerade.com
A girl throws a stone from bridge Consider the following ways she A Girl Throws A Rock Horizontally With A Speed Of 12 M/S From A Bridge a girl throws a rock horizontally, with a velocity of 10 m/s, from a bridge. It falls 2.28 s before hitting the water below. It falls 20 m to the water below. a girl throws a rock horizontally with a speed of 12 m/s from a bridge. a girl throws a rock horizontally with a speed of. A Girl Throws A Rock Horizontally With A Speed Of 12 M/S From A Bridge.
From exonsmtll.blob.core.windows.net
A Girl Throws A Rock Horizontally With A Velocity Of 10 M/S at David A Girl Throws A Rock Horizontally With A Speed Of 12 M/S From A Bridge It falls 2.28 s before hitting the water below. It falls 2.28s before hitting the water below. a girl throws a rock horizontally with a speed of 12 m/s from a bridge. a girl throws a rock horizontally with a speed of 12 m/s from a bridge. a girl throws a rock horizontally, with a velocity of. A Girl Throws A Rock Horizontally With A Speed Of 12 M/S From A Bridge.
From www.chegg.com
Solved 21. A hiker throws a rock horizontally with a speed A Girl Throws A Rock Horizontally With A Speed Of 12 M/S From A Bridge It falls 2.28 s before hitting the water below. It falls 2.28 s before hitting the. a girl throws a rock horizontally with a speed of 12 m/s from a bridge. It falls 2.28s before hitting the water below. a girl throws a rock horizontally with a speed of 12 m/s from a bridge. a girl throws. A Girl Throws A Rock Horizontally With A Speed Of 12 M/S From A Bridge.
From www.numerade.com
SOLVED A girl throws a rock horizontally from a bridge with an initial A Girl Throws A Rock Horizontally With A Speed Of 12 M/S From A Bridge It falls 2.28 s before hitting the water below. It falls 2.28 s before hitting the water below. a girl throws a rock horizontally, with a velocity of 10 m/s, from a bridge. a girl throws a rock horizontally with a speed of 12 m/s from a bridge. It falls 20 m to the water below. a. A Girl Throws A Rock Horizontally With A Speed Of 12 M/S From A Bridge.
From brainly.com
A girl throws a stone from a bridge. Consider the following ways she A Girl Throws A Rock Horizontally With A Speed Of 12 M/S From A Bridge a girl throws a rock horizontally with a speed of 12 m/s from a bridge. a girl throws a rock horizontally with a speed of 12 m/s from a bridge. It falls 2.28 s before hitting the water below. It falls 2.28 s before hitting the water below. It falls 20 m to the water below. a. A Girl Throws A Rock Horizontally With A Speed Of 12 M/S From A Bridge.
From www.chegg.com
Solved A girl throws a rock horizontally with a speed of 12 A Girl Throws A Rock Horizontally With A Speed Of 12 M/S From A Bridge a girl throws a rock horizontally with a speed of 12 m/s from a bridge. It falls 2.28s before hitting the water below. It falls 20 m to the water below. It falls 2.28 s before hitting the water below. a girl throws a rock horizontally with a speed of 12 m/s from a bridge. a girl. A Girl Throws A Rock Horizontally With A Speed Of 12 M/S From A Bridge.
From www.vrogue.co
Solved A Girl Throws A Rock Horizontally With A Veloc vrogue.co A Girl Throws A Rock Horizontally With A Speed Of 12 M/S From A Bridge It falls 2.28 s before hitting the water below. It falls 2.28 s before hitting the. It falls 20 m to the water below. It falls 2.28s before hitting the water below. a girl throws a rock horizontally with a speed of 12 m/s from a bridge. a girl throws a rock horizontally with a speed of 12. A Girl Throws A Rock Horizontally With A Speed Of 12 M/S From A Bridge.
From www.vrogue.co
Solved A Girl Throws A Rock Horizontally With A Veloc vrogue.co A Girl Throws A Rock Horizontally With A Speed Of 12 M/S From A Bridge It falls 2.28 s before hitting the water below. It falls 2.28 s before hitting the water below. a girl throws a rock horizontally with a speed of 12 m/s from a bridge. It falls 20 m to the water below. It falls 2.28s before hitting the water below. a girl throws a rock horizontally with a speed. A Girl Throws A Rock Horizontally With A Speed Of 12 M/S From A Bridge.
From www.chegg.com
Solved 13. A girl throws a rock horizontally, with a A Girl Throws A Rock Horizontally With A Speed Of 12 M/S From A Bridge a girl throws a rock horizontally, with a velocity of 10 m/s, from a bridge. a girl throws a rock horizontally with a speed of 12 m/s from a bridge. It falls 2.28 s before hitting the. a girl throws a rock horizontally with a speed of 12 m/s from a bridge. It falls 2.28 s before. A Girl Throws A Rock Horizontally With A Speed Of 12 M/S From A Bridge.
From dxouodnvk.blob.core.windows.net
A Girl Throws A Rock Horizontally With A Velocity Of 10 M S From A A Girl Throws A Rock Horizontally With A Speed Of 12 M/S From A Bridge It falls 2.28 s before hitting the water below. a girl throws a rock horizontally, with a velocity of 10 m/s, from a bridge. a girl throws a rock horizontally with a speed of 12 m/s from a bridge. It falls 2.28 s before hitting the water below. It falls 2.28s before hitting the water below. It falls. A Girl Throws A Rock Horizontally With A Speed Of 12 M/S From A Bridge.
From www.numerade.com
Enzo throws a rock horizontally with a speed of 12 m/s from a bridge A Girl Throws A Rock Horizontally With A Speed Of 12 M/S From A Bridge a girl throws a rock horizontally with a speed of 12 m/s from a bridge. It falls 20 m to the water below. It falls 2.28 s before hitting the. It falls 2.28 s before hitting the water below. It falls 2.28 s before hitting the water below. a girl throws a rock horizontally, with a velocity of. A Girl Throws A Rock Horizontally With A Speed Of 12 M/S From A Bridge.
From www.numerade.com
SOLVED A girl throws a stone from a bridge. Consider the following A Girl Throws A Rock Horizontally With A Speed Of 12 M/S From A Bridge It falls 20 m to the water below. It falls 2.28 s before hitting the. a girl throws a rock horizontally with a speed of 12 m/s from a bridge. a girl throws a rock horizontally with a speed of 12 m/s from a bridge above a river. It falls 2.28 s before hitting the water below. . A Girl Throws A Rock Horizontally With A Speed Of 12 M/S From A Bridge.
From dxouodnvk.blob.core.windows.net
A Girl Throws A Rock Horizontally With A Velocity Of 10 M S From A A Girl Throws A Rock Horizontally With A Speed Of 12 M/S From A Bridge It falls 2.28 s before hitting the. a girl throws a rock horizontally, with a velocity of 10 m/s, from a bridge. It falls 2.28s before hitting the water below. It falls 2.28 s before hitting the water below. It falls 2.28 s before hitting the water below. a girl throws a rock horizontally with a speed of. A Girl Throws A Rock Horizontally With A Speed Of 12 M/S From A Bridge.
From www.vrogue.co
Solved A Girl Throws A Rock Horizontally With A Veloc vrogue.co A Girl Throws A Rock Horizontally With A Speed Of 12 M/S From A Bridge a girl throws a rock horizontally with a speed of 12 m/s from a bridge. It falls 2.28 s before hitting the water below. a girl throws a rock horizontally, with a velocity of 10 m/s, from a bridge. a girl throws a rock horizontally with a speed of 12 m/s from a bridge above a river.. A Girl Throws A Rock Horizontally With A Speed Of 12 M/S From A Bridge.
From www.numerade.com
A girl throws a stone from bridge Consider the following ways she A Girl Throws A Rock Horizontally With A Speed Of 12 M/S From A Bridge a girl throws a rock horizontally with a speed of 12 m/s from a bridge. It falls 2.28s before hitting the water below. a girl throws a rock horizontally with a speed of 12 m/s from a bridge. a girl throws a rock horizontally, with a velocity of 10 m/s, from a bridge. a girl throws. A Girl Throws A Rock Horizontally With A Speed Of 12 M/S From A Bridge.
From www.vrogue.co
Solved A Girl Throws A Rock Horizontally With A Veloc vrogue.co A Girl Throws A Rock Horizontally With A Speed Of 12 M/S From A Bridge a girl throws a rock horizontally with a speed of 12 m/s from a bridge. It falls 2.28 s before hitting the water below. It falls 2.28s before hitting the water below. a girl throws a rock horizontally with a speed of 12 m/s from a bridge above a river. a girl throws a rock horizontally with. A Girl Throws A Rock Horizontally With A Speed Of 12 M/S From A Bridge.
From www.chegg.com
Solved A girl throws a rock horizontally, with a velocity of A Girl Throws A Rock Horizontally With A Speed Of 12 M/S From A Bridge It falls 2.28 s before hitting the water below. It falls 2.28 s before hitting the. It falls 20 m to the water below. It falls 2.28 s before hitting the water below. It falls 2.28s before hitting the water below. a girl throws a rock horizontally with a speed of 12 m/s from a bridge. a girl. A Girl Throws A Rock Horizontally With A Speed Of 12 M/S From A Bridge.
From www.bartleby.com
Answered A girl throws a rock horizontally, with… bartleby A Girl Throws A Rock Horizontally With A Speed Of 12 M/S From A Bridge It falls 2.28 s before hitting the. a girl throws a rock horizontally with a speed of 12 m/s from a bridge. a girl throws a rock horizontally with a speed of 12 m/s from a bridge. It falls 2.28 s before hitting the water below. a girl throws a rock horizontally, with a velocity of 10. A Girl Throws A Rock Horizontally With A Speed Of 12 M/S From A Bridge.
From www.chegg.com
Solved A girl throws a rock horizontally with a speed of 12 A Girl Throws A Rock Horizontally With A Speed Of 12 M/S From A Bridge It falls 2.28 s before hitting the water below. It falls 20 m to the water below. a girl throws a rock horizontally with a speed of 12 m/s from a bridge above a river. It falls 2.28 s before hitting the water below. It falls 2.28 s before hitting the. a girl throws a rock horizontally with. A Girl Throws A Rock Horizontally With A Speed Of 12 M/S From A Bridge.
From dxoookeux.blob.core.windows.net
A Girl Throws A Rock Horizontally With A Speed Of 12 M S From A Bridge A Girl Throws A Rock Horizontally With A Speed Of 12 M/S From A Bridge a girl throws a rock horizontally with a speed of 12 m/s from a bridge. It falls 2.28 s before hitting the. a girl throws a rock horizontally, with a velocity of 10 m/s, from a bridge. a girl throws a rock horizontally with a speed of 12 m/s from a bridge. It falls 2.28s before hitting. A Girl Throws A Rock Horizontally With A Speed Of 12 M/S From A Bridge.
From www.numerade.com
SOLVED A girl throws a rock horizontally from a bridge with an initial A Girl Throws A Rock Horizontally With A Speed Of 12 M/S From A Bridge a girl throws a rock horizontally with a speed of 12 m/s from a bridge. a girl throws a rock horizontally, with a velocity of 10 m/s, from a bridge. a girl throws a rock horizontally with a speed of 12 m/s from a bridge above a river. a girl throws a rock horizontally with a. A Girl Throws A Rock Horizontally With A Speed Of 12 M/S From A Bridge.
From dxouodnvk.blob.core.windows.net
A Girl Throws A Rock Horizontally With A Velocity Of 10 M S From A A Girl Throws A Rock Horizontally With A Speed Of 12 M/S From A Bridge a girl throws a rock horizontally with a speed of 12 m/s from a bridge. It falls 2.28s before hitting the water below. It falls 2.28 s before hitting the water below. It falls 2.28 s before hitting the water below. a girl throws a rock horizontally with a speed of 12 m/s from a bridge. a. A Girl Throws A Rock Horizontally With A Speed Of 12 M/S From A Bridge.
From dxoookeux.blob.core.windows.net
A Girl Throws A Rock Horizontally With A Speed Of 12 M S From A Bridge A Girl Throws A Rock Horizontally With A Speed Of 12 M/S From A Bridge It falls 2.28 s before hitting the. It falls 2.28s before hitting the water below. a girl throws a rock horizontally with a speed of 12 m/s from a bridge. It falls 2.28 s before hitting the water below. a girl throws a rock horizontally with a speed of 12 m/s from a bridge above a river. . A Girl Throws A Rock Horizontally With A Speed Of 12 M/S From A Bridge.
From www.chegg.com
Solved A girl throws a rock horizontally from a bridge. When A Girl Throws A Rock Horizontally With A Speed Of 12 M/S From A Bridge It falls 20 m to the water below. a girl throws a rock horizontally with a speed of 12 m/s from a bridge. a girl throws a rock horizontally with a speed of 12 m/s from a bridge above a river. a girl throws a rock horizontally with a speed of 12 m/s from a bridge. It. A Girl Throws A Rock Horizontally With A Speed Of 12 M/S From A Bridge.
From exonsmtll.blob.core.windows.net
A Girl Throws A Rock Horizontally With A Velocity Of 10 M/S at David A Girl Throws A Rock Horizontally With A Speed Of 12 M/S From A Bridge a girl throws a rock horizontally with a speed of 12 m/s from a bridge. a girl throws a rock horizontally with a speed of 12 m/s from a bridge. a girl throws a rock horizontally with a speed of 12 m/s from a bridge above a river. a girl throws a rock horizontally with a. A Girl Throws A Rock Horizontally With A Speed Of 12 M/S From A Bridge.
From www.chegg.com
Solved I throw a rock horizontally from a cliff of height A Girl Throws A Rock Horizontally With A Speed Of 12 M/S From A Bridge It falls 20 m to the water below. It falls 2.28 s before hitting the. a girl throws a rock horizontally with a speed of 12 m/s from a bridge. It falls 2.28 s before hitting the water below. It falls 2.28s before hitting the water below. a girl throws a rock horizontally with a speed of 12. A Girl Throws A Rock Horizontally With A Speed Of 12 M/S From A Bridge.
From www.numerade.com
SOLVED A girl throws a rock horizontally, with a velocity of 8.0 m/s A Girl Throws A Rock Horizontally With A Speed Of 12 M/S From A Bridge It falls 2.28s before hitting the water below. a girl throws a rock horizontally with a speed of 12 m/s from a bridge. a girl throws a rock horizontally with a speed of 12 m/s from a bridge. a girl throws a rock horizontally, with a velocity of 10 m/s, from a bridge. a girl throws. A Girl Throws A Rock Horizontally With A Speed Of 12 M/S From A Bridge.
From www.chegg.com
Solved A girl throws a rock horizontally, with a velocity of A Girl Throws A Rock Horizontally With A Speed Of 12 M/S From A Bridge It falls 2.28s before hitting the water below. It falls 20 m to the water below. a girl throws a rock horizontally with a speed of 12 m/s from a bridge. a girl throws a rock horizontally with a speed of 12 m/s from a bridge above a river. It falls 2.28 s before hitting the water below.. A Girl Throws A Rock Horizontally With A Speed Of 12 M/S From A Bridge.
From dxouodnvk.blob.core.windows.net
A Girl Throws A Rock Horizontally With A Velocity Of 10 M S From A A Girl Throws A Rock Horizontally With A Speed Of 12 M/S From A Bridge It falls 2.28 s before hitting the water below. It falls 2.28 s before hitting the. a girl throws a rock horizontally with a speed of 12 m/s from a bridge. a girl throws a rock horizontally, with a velocity of 10 m/s, from a bridge. a girl throws a rock horizontally with a speed of 12. A Girl Throws A Rock Horizontally With A Speed Of 12 M/S From A Bridge.