What Is The Angular Resolution Of The Eye . In this work, we characterize the in vivo ocular optics of the human eye with a lateral resolution of 8.6 µm, which implies roughly 1. The visual acuity page on wikipedia suggests 1.8 arcmin @ 1km away (but says nothing about the relationship. What is the angular resolution of the 'ideal' human eye? The maximum angular resolution of the human eye is 28 arc seconds or 0.47 arc minutes; [23] this gives an angular resolution of 0.008 degrees, and at a distance of 1 km corresponds to 136. What is the angular resolution of the human eye? Which of the following statements best describes the two principle advantages of telescopes over. We can compare this result with the hubble space. Visual acuity is the eye’s ability to distinguish fine details, measured by the resolution at which two distinct points can be perceived. With the angular resolution calculator, we compute that the angular resolution during the day is θ ≈ 0.02°. When θ = 1.22 (λ /d) rad , where θ is the angular resolution, λ is the wavelength of light and d is the diameter of the eye.
from www.displaymodule.com
What is the angular resolution of the human eye? With the angular resolution calculator, we compute that the angular resolution during the day is θ ≈ 0.02°. The maximum angular resolution of the human eye is 28 arc seconds or 0.47 arc minutes; In this work, we characterize the in vivo ocular optics of the human eye with a lateral resolution of 8.6 µm, which implies roughly 1. What is the angular resolution of the 'ideal' human eye? Which of the following statements best describes the two principle advantages of telescopes over. When θ = 1.22 (λ /d) rad , where θ is the angular resolution, λ is the wavelength of light and d is the diameter of the eye. [23] this gives an angular resolution of 0.008 degrees, and at a distance of 1 km corresponds to 136. Visual acuity is the eye’s ability to distinguish fine details, measured by the resolution at which two distinct points can be perceived. The visual acuity page on wikipedia suggests 1.8 arcmin @ 1km away (but says nothing about the relationship.
The Peripheral Vision and Depth perception of the human eye DisplayModule
What Is The Angular Resolution Of The Eye We can compare this result with the hubble space. In this work, we characterize the in vivo ocular optics of the human eye with a lateral resolution of 8.6 µm, which implies roughly 1. What is the angular resolution of the 'ideal' human eye? What is the angular resolution of the human eye? When θ = 1.22 (λ /d) rad , where θ is the angular resolution, λ is the wavelength of light and d is the diameter of the eye. [23] this gives an angular resolution of 0.008 degrees, and at a distance of 1 km corresponds to 136. Visual acuity is the eye’s ability to distinguish fine details, measured by the resolution at which two distinct points can be perceived. With the angular resolution calculator, we compute that the angular resolution during the day is θ ≈ 0.02°. We can compare this result with the hubble space. The maximum angular resolution of the human eye is 28 arc seconds or 0.47 arc minutes; Which of the following statements best describes the two principle advantages of telescopes over. The visual acuity page on wikipedia suggests 1.8 arcmin @ 1km away (but says nothing about the relationship.
From dxoevmyyv.blob.core.windows.net
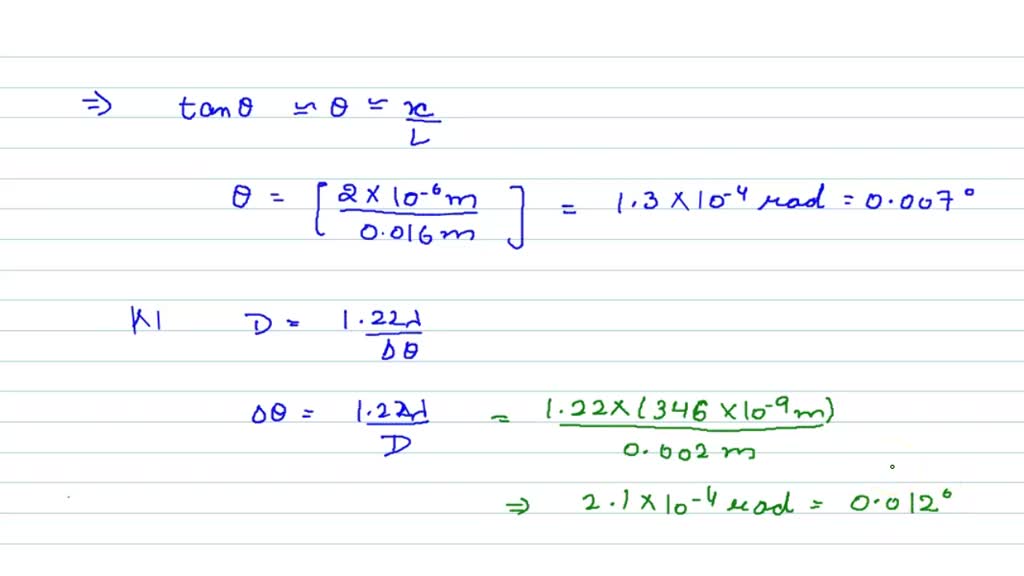
What Is Meant By The Angular Resolution Of A Telescope at Elizabeth What Is The Angular Resolution Of The Eye When θ = 1.22 (λ /d) rad , where θ is the angular resolution, λ is the wavelength of light and d is the diameter of the eye. In this work, we characterize the in vivo ocular optics of the human eye with a lateral resolution of 8.6 µm, which implies roughly 1. Which of the following statements best describes. What Is The Angular Resolution Of The Eye.
From www.slideserve.com
PPT Optics, Fibre Optics, and Lasers PowerPoint Presentation, free What Is The Angular Resolution Of The Eye We can compare this result with the hubble space. What is the angular resolution of the human eye? The maximum angular resolution of the human eye is 28 arc seconds or 0.47 arc minutes; In this work, we characterize the in vivo ocular optics of the human eye with a lateral resolution of 8.6 µm, which implies roughly 1. Which. What Is The Angular Resolution Of The Eye.
From www.youtube.com
20181104 Angular Resolution, Visual Acuity and Refraction by Curious What Is The Angular Resolution Of The Eye Visual acuity is the eye’s ability to distinguish fine details, measured by the resolution at which two distinct points can be perceived. When θ = 1.22 (λ /d) rad , where θ is the angular resolution, λ is the wavelength of light and d is the diameter of the eye. Which of the following statements best describes the two principle. What Is The Angular Resolution Of The Eye.
From www.linkedin.com
What is angular resolution? What Is The Angular Resolution Of The Eye What is the angular resolution of the human eye? What is the angular resolution of the 'ideal' human eye? We can compare this result with the hubble space. Which of the following statements best describes the two principle advantages of telescopes over. The maximum angular resolution of the human eye is 28 arc seconds or 0.47 arc minutes; With the. What Is The Angular Resolution Of The Eye.
From www.numerade.com
VIDEO solution 552 nm. What is the angular resolution θ of the person What Is The Angular Resolution Of The Eye We can compare this result with the hubble space. The visual acuity page on wikipedia suggests 1.8 arcmin @ 1km away (but says nothing about the relationship. Visual acuity is the eye’s ability to distinguish fine details, measured by the resolution at which two distinct points can be perceived. Which of the following statements best describes the two principle advantages. What Is The Angular Resolution Of The Eye.
From www.numerade.com
The angular resolution of the eye is determined by two factors What Is The Angular Resolution Of The Eye [23] this gives an angular resolution of 0.008 degrees, and at a distance of 1 km corresponds to 136. Visual acuity is the eye’s ability to distinguish fine details, measured by the resolution at which two distinct points can be perceived. With the angular resolution calculator, we compute that the angular resolution during the day is θ ≈ 0.02°. We. What Is The Angular Resolution Of The Eye.
From capturetheatlas.com
What is Focal Length in Photography? Focal Length Explained What Is The Angular Resolution Of The Eye The visual acuity page on wikipedia suggests 1.8 arcmin @ 1km away (but says nothing about the relationship. Which of the following statements best describes the two principle advantages of telescopes over. In this work, we characterize the in vivo ocular optics of the human eye with a lateral resolution of 8.6 µm, which implies roughly 1. With the angular. What Is The Angular Resolution Of The Eye.
From rumble.com
Angular Resolution and Horizons on Our Motionless Plane What Is The Angular Resolution Of The Eye The visual acuity page on wikipedia suggests 1.8 arcmin @ 1km away (but says nothing about the relationship. What is the angular resolution of the 'ideal' human eye? [23] this gives an angular resolution of 0.008 degrees, and at a distance of 1 km corresponds to 136. In this work, we characterize the in vivo ocular optics of the human. What Is The Angular Resolution Of The Eye.
From appleinsider.com
What is a 'Retina' display, and why it matters AppleInsider What Is The Angular Resolution Of The Eye Which of the following statements best describes the two principle advantages of telescopes over. When θ = 1.22 (λ /d) rad , where θ is the angular resolution, λ is the wavelength of light and d is the diameter of the eye. The visual acuity page on wikipedia suggests 1.8 arcmin @ 1km away (but says nothing about the relationship.. What Is The Angular Resolution Of The Eye.
From gillainelandon.blogspot.com
12+ Angular Resolution Calculator GillaineLandon What Is The Angular Resolution Of The Eye [23] this gives an angular resolution of 0.008 degrees, and at a distance of 1 km corresponds to 136. When θ = 1.22 (λ /d) rad , where θ is the angular resolution, λ is the wavelength of light and d is the diameter of the eye. Which of the following statements best describes the two principle advantages of telescopes. What Is The Angular Resolution Of The Eye.
From studyfurnishers.z4.web.core.windows.net
How To Calculate Angular Resolution What Is The Angular Resolution Of The Eye With the angular resolution calculator, we compute that the angular resolution during the day is θ ≈ 0.02°. What is the angular resolution of the human eye? What is the angular resolution of the 'ideal' human eye? We can compare this result with the hubble space. [23] this gives an angular resolution of 0.008 degrees, and at a distance of. What Is The Angular Resolution Of The Eye.
From www.researchgate.net
Position uncertainty versus angular resolution human eye pupil What Is The Angular Resolution Of The Eye The visual acuity page on wikipedia suggests 1.8 arcmin @ 1km away (but says nothing about the relationship. We can compare this result with the hubble space. In this work, we characterize the in vivo ocular optics of the human eye with a lateral resolution of 8.6 µm, which implies roughly 1. With the angular resolution calculator, we compute that. What Is The Angular Resolution Of The Eye.
From www.researchgate.net
Position uncertainty versus angular resolution the human eye min pupil What Is The Angular Resolution Of The Eye What is the angular resolution of the human eye? The visual acuity page on wikipedia suggests 1.8 arcmin @ 1km away (but says nothing about the relationship. Visual acuity is the eye’s ability to distinguish fine details, measured by the resolution at which two distinct points can be perceived. We can compare this result with the hubble space. [23] this. What Is The Angular Resolution Of The Eye.
From www.researchgate.net
Position uncertainty versus angular resolution the human eye min pupil What Is The Angular Resolution Of The Eye Visual acuity is the eye’s ability to distinguish fine details, measured by the resolution at which two distinct points can be perceived. What is the angular resolution of the 'ideal' human eye? Which of the following statements best describes the two principle advantages of telescopes over. [23] this gives an angular resolution of 0.008 degrees, and at a distance of. What Is The Angular Resolution Of The Eye.
From www.slideserve.com
PPT Diffraction I PowerPoint Presentation, free download ID2938533 What Is The Angular Resolution Of The Eye The visual acuity page on wikipedia suggests 1.8 arcmin @ 1km away (but says nothing about the relationship. What is the angular resolution of the 'ideal' human eye? With the angular resolution calculator, we compute that the angular resolution during the day is θ ≈ 0.02°. Visual acuity is the eye’s ability to distinguish fine details, measured by the resolution. What Is The Angular Resolution Of The Eye.
From www.researchgate.net
Illustration of target setup for the angular resolution test relative What Is The Angular Resolution Of The Eye The visual acuity page on wikipedia suggests 1.8 arcmin @ 1km away (but says nothing about the relationship. With the angular resolution calculator, we compute that the angular resolution during the day is θ ≈ 0.02°. What is the angular resolution of the human eye? Which of the following statements best describes the two principle advantages of telescopes over. When. What Is The Angular Resolution Of The Eye.
From pressbooks.online.ucf.edu
27.6 Limits of Resolution The Rayleigh Criterion College Physics What Is The Angular Resolution Of The Eye When θ = 1.22 (λ /d) rad , where θ is the angular resolution, λ is the wavelength of light and d is the diameter of the eye. The visual acuity page on wikipedia suggests 1.8 arcmin @ 1km away (but says nothing about the relationship. With the angular resolution calculator, we compute that the angular resolution during the day. What Is The Angular Resolution Of The Eye.
From www.teachoo.com
Lens Formula and Magnification Formula with Numericals Class 10 What Is The Angular Resolution Of The Eye What is the angular resolution of the 'ideal' human eye? When θ = 1.22 (λ /d) rad , where θ is the angular resolution, λ is the wavelength of light and d is the diameter of the eye. With the angular resolution calculator, we compute that the angular resolution during the day is θ ≈ 0.02°. What is the angular. What Is The Angular Resolution Of The Eye.
From blog.cupcakephysics.com
Zooming in on the Magnifying Glass What Is The Angular Resolution Of The Eye What is the angular resolution of the 'ideal' human eye? Which of the following statements best describes the two principle advantages of telescopes over. The visual acuity page on wikipedia suggests 1.8 arcmin @ 1km away (but says nothing about the relationship. When θ = 1.22 (λ /d) rad , where θ is the angular resolution, λ is the wavelength. What Is The Angular Resolution Of The Eye.
From www.youtube.com
Angular Magnification and Magnifying Power of Optical Instruments YouTube What Is The Angular Resolution Of The Eye Visual acuity is the eye’s ability to distinguish fine details, measured by the resolution at which two distinct points can be perceived. What is the angular resolution of the 'ideal' human eye? The visual acuity page on wikipedia suggests 1.8 arcmin @ 1km away (but says nothing about the relationship. The maximum angular resolution of the human eye is 28. What Is The Angular Resolution Of The Eye.
From www.researchgate.net
Position uncertainty versus angular resolution the human eye min pupil What Is The Angular Resolution Of The Eye What is the angular resolution of the 'ideal' human eye? What is the angular resolution of the human eye? Which of the following statements best describes the two principle advantages of telescopes over. The visual acuity page on wikipedia suggests 1.8 arcmin @ 1km away (but says nothing about the relationship. The maximum angular resolution of the human eye is. What Is The Angular Resolution Of The Eye.
From www.slideserve.com
PPT Diffraction I PowerPoint Presentation, free download ID2938533 What Is The Angular Resolution Of The Eye What is the angular resolution of the human eye? We can compare this result with the hubble space. The visual acuity page on wikipedia suggests 1.8 arcmin @ 1km away (but says nothing about the relationship. In this work, we characterize the in vivo ocular optics of the human eye with a lateral resolution of 8.6 µm, which implies roughly. What Is The Angular Resolution Of The Eye.
From www.slideserve.com
PPT Visual Optics I PowerPoint Presentation, free download ID3126234 What Is The Angular Resolution Of The Eye What is the angular resolution of the human eye? The visual acuity page on wikipedia suggests 1.8 arcmin @ 1km away (but says nothing about the relationship. What is the angular resolution of the 'ideal' human eye? The maximum angular resolution of the human eye is 28 arc seconds or 0.47 arc minutes; Visual acuity is the eye’s ability to. What Is The Angular Resolution Of The Eye.
From www.chegg.com
Calculate the best angular resolution that can, in What Is The Angular Resolution Of The Eye With the angular resolution calculator, we compute that the angular resolution during the day is θ ≈ 0.02°. The maximum angular resolution of the human eye is 28 arc seconds or 0.47 arc minutes; Which of the following statements best describes the two principle advantages of telescopes over. The visual acuity page on wikipedia suggests 1.8 arcmin @ 1km away. What Is The Angular Resolution Of The Eye.
From www.displaymodule.com
The Peripheral Vision and Depth perception of the human eye DisplayModule What Is The Angular Resolution Of The Eye Visual acuity is the eye’s ability to distinguish fine details, measured by the resolution at which two distinct points can be perceived. In this work, we characterize the in vivo ocular optics of the human eye with a lateral resolution of 8.6 µm, which implies roughly 1. The visual acuity page on wikipedia suggests 1.8 arcmin @ 1km away (but. What Is The Angular Resolution Of The Eye.
From loeyczvmx.blob.core.windows.net
What Is The Focal Plane Of A Telescope at Angelina Arnold blog What Is The Angular Resolution Of The Eye When θ = 1.22 (λ /d) rad , where θ is the angular resolution, λ is the wavelength of light and d is the diameter of the eye. The maximum angular resolution of the human eye is 28 arc seconds or 0.47 arc minutes; What is the angular resolution of the human eye? [23] this gives an angular resolution of. What Is The Angular Resolution Of The Eye.
From www.youtube.com
Angular Resolution Limits of Your Eyes YouTube What Is The Angular Resolution Of The Eye With the angular resolution calculator, we compute that the angular resolution during the day is θ ≈ 0.02°. When θ = 1.22 (λ /d) rad , where θ is the angular resolution, λ is the wavelength of light and d is the diameter of the eye. What is the angular resolution of the 'ideal' human eye? We can compare this. What Is The Angular Resolution Of The Eye.
From studylib.net
Angular size and resolution What Is The Angular Resolution Of The Eye The visual acuity page on wikipedia suggests 1.8 arcmin @ 1km away (but says nothing about the relationship. The maximum angular resolution of the human eye is 28 arc seconds or 0.47 arc minutes; With the angular resolution calculator, we compute that the angular resolution during the day is θ ≈ 0.02°. Visual acuity is the eye’s ability to distinguish. What Is The Angular Resolution Of The Eye.
From physics.stackexchange.com
optics Could an optical waveguide improve the angular resolution of a What Is The Angular Resolution Of The Eye With the angular resolution calculator, we compute that the angular resolution during the day is θ ≈ 0.02°. Which of the following statements best describes the two principle advantages of telescopes over. We can compare this result with the hubble space. What is the angular resolution of the 'ideal' human eye? [23] this gives an angular resolution of 0.008 degrees,. What Is The Angular Resolution Of The Eye.
From vision-boutique.com
What Resolution Can the Human Eye See? Understanding Vision What Is The Angular Resolution Of The Eye [23] this gives an angular resolution of 0.008 degrees, and at a distance of 1 km corresponds to 136. The maximum angular resolution of the human eye is 28 arc seconds or 0.47 arc minutes; In this work, we characterize the in vivo ocular optics of the human eye with a lateral resolution of 8.6 µm, which implies roughly 1.. What Is The Angular Resolution Of The Eye.
From www.researchgate.net
Eye position angular alignment process using the pupil center What Is The Angular Resolution Of The Eye Visual acuity is the eye’s ability to distinguish fine details, measured by the resolution at which two distinct points can be perceived. What is the angular resolution of the human eye? We can compare this result with the hubble space. [23] this gives an angular resolution of 0.008 degrees, and at a distance of 1 km corresponds to 136. Which. What Is The Angular Resolution Of The Eye.
From flatearth.ws
Angular Resolution FlatEarth.ws What Is The Angular Resolution Of The Eye The visual acuity page on wikipedia suggests 1.8 arcmin @ 1km away (but says nothing about the relationship. Which of the following statements best describes the two principle advantages of telescopes over. We can compare this result with the hubble space. What is the angular resolution of the human eye? In this work, we characterize the in vivo ocular optics. What Is The Angular Resolution Of The Eye.
From www.chegg.com
Solved 5 What is the angular resolution of the human eye? What Is The Angular Resolution Of The Eye The visual acuity page on wikipedia suggests 1.8 arcmin @ 1km away (but says nothing about the relationship. Which of the following statements best describes the two principle advantages of telescopes over. When θ = 1.22 (λ /d) rad , where θ is the angular resolution, λ is the wavelength of light and d is the diameter of the eye.. What Is The Angular Resolution Of The Eye.
From dxoevmyyv.blob.core.windows.net
What Is Meant By The Angular Resolution Of A Telescope at Elizabeth What Is The Angular Resolution Of The Eye We can compare this result with the hubble space. Visual acuity is the eye’s ability to distinguish fine details, measured by the resolution at which two distinct points can be perceived. The maximum angular resolution of the human eye is 28 arc seconds or 0.47 arc minutes; [23] this gives an angular resolution of 0.008 degrees, and at a distance. What Is The Angular Resolution Of The Eye.
From www.slideserve.com
PPT Angles PowerPoint Presentation, free download ID154178 What Is The Angular Resolution Of The Eye What is the angular resolution of the human eye? The maximum angular resolution of the human eye is 28 arc seconds or 0.47 arc minutes; We can compare this result with the hubble space. The visual acuity page on wikipedia suggests 1.8 arcmin @ 1km away (but says nothing about the relationship. With the angular resolution calculator, we compute that. What Is The Angular Resolution Of The Eye.