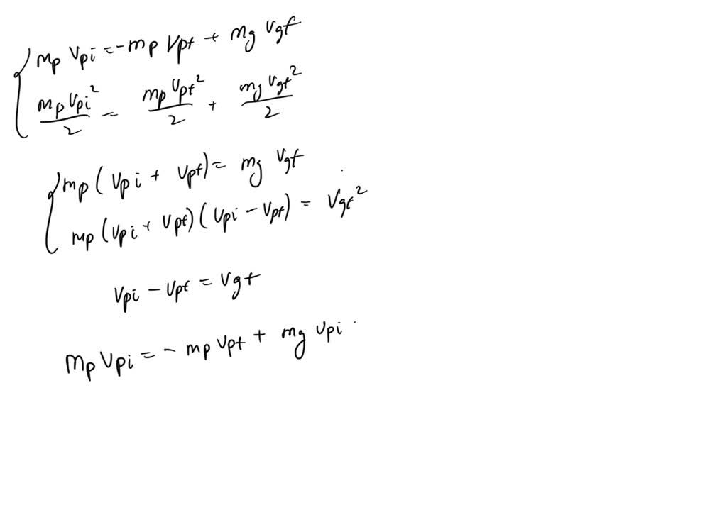
A 70 Kg Ice Hockey Goalie . A 70.0 kg ice hockey goalie, originally at rest, catches a 0.150 kg hockey puck slapped at him at a velocity of 35.0 m/s. Suppose the goalie and the ice puck have an. Inelastic collision of a puck and a goalie. Calculating velocity and change in kinetic energy: Hockey puck coming to him at 33 m per second. So we will assume and one is the. Suppose the goalie and the puck have an elastic collision, and the puc k. In the given problem, we have a 70 kg ice hockey goalie who is initially addressed and catches a 0.150 kg.
from www.dreamstime.com
Calculating velocity and change in kinetic energy: Suppose the goalie and the puck have an elastic collision, and the puc k. Inelastic collision of a puck and a goalie. In the given problem, we have a 70 kg ice hockey goalie who is initially addressed and catches a 0.150 kg. Hockey puck coming to him at 33 m per second. Suppose the goalie and the ice puck have an. So we will assume and one is the. A 70.0 kg ice hockey goalie, originally at rest, catches a 0.150 kg hockey puck slapped at him at a velocity of 35.0 m/s.
Ice hockey goalie stock photo. Image of rink, post, cage 21140600
A 70 Kg Ice Hockey Goalie Suppose the goalie and the ice puck have an. In the given problem, we have a 70 kg ice hockey goalie who is initially addressed and catches a 0.150 kg. A 70.0 kg ice hockey goalie, originally at rest, catches a 0.150 kg hockey puck slapped at him at a velocity of 35.0 m/s. So we will assume and one is the. Inelastic collision of a puck and a goalie. Suppose the goalie and the puck have an elastic collision, and the puc k. Suppose the goalie and the ice puck have an. Calculating velocity and change in kinetic energy: Hockey puck coming to him at 33 m per second.
From www.dreamstime.com
Ice hockey goalie stock photo. Image of rink, post, cage 21140600 A 70 Kg Ice Hockey Goalie Calculating velocity and change in kinetic energy: So we will assume and one is the. Suppose the goalie and the ice puck have an. A 70.0 kg ice hockey goalie, originally at rest, catches a 0.150 kg hockey puck slapped at him at a velocity of 35.0 m/s. Inelastic collision of a puck and a goalie. Hockey puck coming to. A 70 Kg Ice Hockey Goalie.
From news.northeastern.edu
Northeastern Boasts the Nation's Two Best Goalies A 70 Kg Ice Hockey Goalie Suppose the goalie and the ice puck have an. Calculating velocity and change in kinetic energy: A 70.0 kg ice hockey goalie, originally at rest, catches a 0.150 kg hockey puck slapped at him at a velocity of 35.0 m/s. Hockey puck coming to him at 33 m per second. Suppose the goalie and the puck have an elastic collision,. A 70 Kg Ice Hockey Goalie.
From www.chegg.com
Solved A 70.1kg ice hockey goalie, originally at rest, A 70 Kg Ice Hockey Goalie Inelastic collision of a puck and a goalie. Suppose the goalie and the puck have an elastic collision, and the puc k. Hockey puck coming to him at 33 m per second. In the given problem, we have a 70 kg ice hockey goalie who is initially addressed and catches a 0.150 kg. Suppose the goalie and the ice puck. A 70 Kg Ice Hockey Goalie.
From www.meritnation.com
Find the recoil velocity of a 70 0kg ice hockey goalie, originally at A 70 Kg Ice Hockey Goalie Inelastic collision of a puck and a goalie. Calculating velocity and change in kinetic energy: Suppose the goalie and the puck have an elastic collision, and the puc k. In the given problem, we have a 70 kg ice hockey goalie who is initially addressed and catches a 0.150 kg. Suppose the goalie and the ice puck have an. Hockey. A 70 Kg Ice Hockey Goalie.
From www.gettyimages.ca
Ice Hockey Goalie HighRes Stock Photo Getty Images A 70 Kg Ice Hockey Goalie So we will assume and one is the. In the given problem, we have a 70 kg ice hockey goalie who is initially addressed and catches a 0.150 kg. Hockey puck coming to him at 33 m per second. Suppose the goalie and the ice puck have an. A 70.0 kg ice hockey goalie, originally at rest, catches a 0.150. A 70 Kg Ice Hockey Goalie.
From www.martinbosak.com
Martin Bosak 70`s Ice hockey Goalkeeper A 70 Kg Ice Hockey Goalie Suppose the goalie and the ice puck have an. Suppose the goalie and the puck have an elastic collision, and the puc k. So we will assume and one is the. A 70.0 kg ice hockey goalie, originally at rest, catches a 0.150 kg hockey puck slapped at him at a velocity of 35.0 m/s. In the given problem, we. A 70 Kg Ice Hockey Goalie.
From www.numerade.com
A 70.0 kg ice hockey goalie, originally at rest, catches a 0.150 kg A 70 Kg Ice Hockey Goalie Suppose the goalie and the ice puck have an. Inelastic collision of a puck and a goalie. A 70.0 kg ice hockey goalie, originally at rest, catches a 0.150 kg hockey puck slapped at him at a velocity of 35.0 m/s. Calculating velocity and change in kinetic energy: So we will assume and one is the. Suppose the goalie and. A 70 Kg Ice Hockey Goalie.
From www.numerade.com
SOLVED An ice hockey goalie catches a hockey puck and recoils backward A 70 Kg Ice Hockey Goalie Suppose the goalie and the ice puck have an. Inelastic collision of a puck and a goalie. Hockey puck coming to him at 33 m per second. A 70.0 kg ice hockey goalie, originally at rest, catches a 0.150 kg hockey puck slapped at him at a velocity of 35.0 m/s. Calculating velocity and change in kinetic energy: In the. A 70 Kg Ice Hockey Goalie.
From www.numerade.com
SOLVED A 70.0 kg ice hockey goalie, originally at rest, has a 0.170 kg A 70 Kg Ice Hockey Goalie Hockey puck coming to him at 33 m per second. Suppose the goalie and the ice puck have an. A 70.0 kg ice hockey goalie, originally at rest, catches a 0.150 kg hockey puck slapped at him at a velocity of 35.0 m/s. In the given problem, we have a 70 kg ice hockey goalie who is initially addressed and. A 70 Kg Ice Hockey Goalie.
From www.numerade.com
SOLVED A 70.0kg ice hockey goalie, originally at rest, catches a 0. A 70 Kg Ice Hockey Goalie So we will assume and one is the. Calculating velocity and change in kinetic energy: A 70.0 kg ice hockey goalie, originally at rest, catches a 0.150 kg hockey puck slapped at him at a velocity of 35.0 m/s. Hockey puck coming to him at 33 m per second. Suppose the goalie and the puck have an elastic collision, and. A 70 Kg Ice Hockey Goalie.
From www.alamy.com
Ice hockey goalie in front of a goal net Stock Photo Alamy A 70 Kg Ice Hockey Goalie Calculating velocity and change in kinetic energy: In the given problem, we have a 70 kg ice hockey goalie who is initially addressed and catches a 0.150 kg. Hockey puck coming to him at 33 m per second. Suppose the goalie and the ice puck have an. So we will assume and one is the. A 70.0 kg ice hockey. A 70 Kg Ice Hockey Goalie.
From dreamstime.com
Hockey Goalie Stock Photography Image 29887672 A 70 Kg Ice Hockey Goalie Hockey puck coming to him at 33 m per second. Suppose the goalie and the ice puck have an. In the given problem, we have a 70 kg ice hockey goalie who is initially addressed and catches a 0.150 kg. Suppose the goalie and the puck have an elastic collision, and the puc k. So we will assume and one. A 70 Kg Ice Hockey Goalie.
From www.chegg.com
Solved A 70.0 kg ice hockey goalie, originally at rest, has A 70 Kg Ice Hockey Goalie Suppose the goalie and the ice puck have an. A 70.0 kg ice hockey goalie, originally at rest, catches a 0.150 kg hockey puck slapped at him at a velocity of 35.0 m/s. Calculating velocity and change in kinetic energy: So we will assume and one is the. In the given problem, we have a 70 kg ice hockey goalie. A 70 Kg Ice Hockey Goalie.
From www.numerade.com
A 70.0 kg ice hockey goalie, originally at rest, has a 0.170 kg hockey A 70 Kg Ice Hockey Goalie Hockey puck coming to him at 33 m per second. In the given problem, we have a 70 kg ice hockey goalie who is initially addressed and catches a 0.150 kg. Suppose the goalie and the puck have an elastic collision, and the puc k. So we will assume and one is the. Suppose the goalie and the ice puck. A 70 Kg Ice Hockey Goalie.
From www.dreamstime.com
Ice Hockey Goalie editorial stock image. Image of play 28746294 A 70 Kg Ice Hockey Goalie Inelastic collision of a puck and a goalie. So we will assume and one is the. Suppose the goalie and the ice puck have an. Hockey puck coming to him at 33 m per second. A 70.0 kg ice hockey goalie, originally at rest, catches a 0.150 kg hockey puck slapped at him at a velocity of 35.0 m/s. Suppose. A 70 Kg Ice Hockey Goalie.
From www.chegg.com
Solved A 70.0 kg ice hockey goalie, originally at rest, has A 70 Kg Ice Hockey Goalie Suppose the goalie and the puck have an elastic collision, and the puc k. Hockey puck coming to him at 33 m per second. In the given problem, we have a 70 kg ice hockey goalie who is initially addressed and catches a 0.150 kg. Inelastic collision of a puck and a goalie. A 70.0 kg ice hockey goalie, originally. A 70 Kg Ice Hockey Goalie.
From www.meritnation.com
Find the recoil velocity of a 70 0kg ice hockey goalie, originally at A 70 Kg Ice Hockey Goalie Calculating velocity and change in kinetic energy: A 70.0 kg ice hockey goalie, originally at rest, catches a 0.150 kg hockey puck slapped at him at a velocity of 35.0 m/s. Hockey puck coming to him at 33 m per second. So we will assume and one is the. Suppose the goalie and the ice puck have an. Inelastic collision. A 70 Kg Ice Hockey Goalie.
From www.chegg.com
Solved A 70.0 kg ice hockey goalie, originally at rest, has A 70 Kg Ice Hockey Goalie So we will assume and one is the. A 70.0 kg ice hockey goalie, originally at rest, catches a 0.150 kg hockey puck slapped at him at a velocity of 35.0 m/s. Suppose the goalie and the puck have an elastic collision, and the puc k. Inelastic collision of a puck and a goalie. Calculating velocity and change in kinetic. A 70 Kg Ice Hockey Goalie.
From www.numerade.com
SOLVED A 70kg ice hockey goalie, initially at rest, catches a 0.150kg A 70 Kg Ice Hockey Goalie Hockey puck coming to him at 33 m per second. Calculating velocity and change in kinetic energy: Inelastic collision of a puck and a goalie. Suppose the goalie and the ice puck have an. In the given problem, we have a 70 kg ice hockey goalie who is initially addressed and catches a 0.150 kg. Suppose the goalie and the. A 70 Kg Ice Hockey Goalie.
From www.alamy.com
Ice Hockey goalie in action Stock Photo Alamy A 70 Kg Ice Hockey Goalie Calculating velocity and change in kinetic energy: A 70.0 kg ice hockey goalie, originally at rest, catches a 0.150 kg hockey puck slapped at him at a velocity of 35.0 m/s. In the given problem, we have a 70 kg ice hockey goalie who is initially addressed and catches a 0.150 kg. Suppose the goalie and the puck have an. A 70 Kg Ice Hockey Goalie.
From www.chegg.com
Solved 30. A 70.0−kg ice hockey goalie, originally at rest, A 70 Kg Ice Hockey Goalie Suppose the goalie and the ice puck have an. Hockey puck coming to him at 33 m per second. Inelastic collision of a puck and a goalie. Calculating velocity and change in kinetic energy: So we will assume and one is the. Suppose the goalie and the puck have an elastic collision, and the puc k. In the given problem,. A 70 Kg Ice Hockey Goalie.
From www.chegg.com
Solved A 70.0kg ice hockey goalie, originally at rest, has A 70 Kg Ice Hockey Goalie Calculating velocity and change in kinetic energy: Inelastic collision of a puck and a goalie. Suppose the goalie and the puck have an elastic collision, and the puc k. Hockey puck coming to him at 33 m per second. Suppose the goalie and the ice puck have an. A 70.0 kg ice hockey goalie, originally at rest, catches a 0.150. A 70 Kg Ice Hockey Goalie.
From www.chegg.com
Solved Question 15 of 20 A 70.0 kg ice hockey goalie, A 70 Kg Ice Hockey Goalie Hockey puck coming to him at 33 m per second. Inelastic collision of a puck and a goalie. A 70.0 kg ice hockey goalie, originally at rest, catches a 0.150 kg hockey puck slapped at him at a velocity of 35.0 m/s. Suppose the goalie and the puck have an elastic collision, and the puc k. So we will assume. A 70 Kg Ice Hockey Goalie.
From www.chegg.com
Solved A 70 kg ice hockey goalie, originally at rest, stops A 70 Kg Ice Hockey Goalie A 70.0 kg ice hockey goalie, originally at rest, catches a 0.150 kg hockey puck slapped at him at a velocity of 35.0 m/s. Inelastic collision of a puck and a goalie. Calculating velocity and change in kinetic energy: Suppose the goalie and the puck have an elastic collision, and the puc k. In the given problem, we have a. A 70 Kg Ice Hockey Goalie.
From www.dreamstime.com
Ice Hockey Goalie editorial image. Image of score, rink 28746150 A 70 Kg Ice Hockey Goalie So we will assume and one is the. Calculating velocity and change in kinetic energy: Suppose the goalie and the ice puck have an. In the given problem, we have a 70 kg ice hockey goalie who is initially addressed and catches a 0.150 kg. A 70.0 kg ice hockey goalie, originally at rest, catches a 0.150 kg hockey puck. A 70 Kg Ice Hockey Goalie.
From www.chegg.com
Solved A 70.0kg ice hockey goalie, originally at rest, has A 70 Kg Ice Hockey Goalie Suppose the goalie and the ice puck have an. Suppose the goalie and the puck have an elastic collision, and the puc k. Calculating velocity and change in kinetic energy: Hockey puck coming to him at 33 m per second. Inelastic collision of a puck and a goalie. So we will assume and one is the. In the given problem,. A 70 Kg Ice Hockey Goalie.
From www.chegg.com
Solved A 70.0 kg ice hockey goalie, originally at rest, has A 70 Kg Ice Hockey Goalie Calculating velocity and change in kinetic energy: So we will assume and one is the. In the given problem, we have a 70 kg ice hockey goalie who is initially addressed and catches a 0.150 kg. A 70.0 kg ice hockey goalie, originally at rest, catches a 0.150 kg hockey puck slapped at him at a velocity of 35.0 m/s.. A 70 Kg Ice Hockey Goalie.
From www.numerade.com
SOLVED A 70.0 kg ice hockey goalie, originally at rest, catches a 0. A 70 Kg Ice Hockey Goalie So we will assume and one is the. A 70.0 kg ice hockey goalie, originally at rest, catches a 0.150 kg hockey puck slapped at him at a velocity of 35.0 m/s. Hockey puck coming to him at 33 m per second. In the given problem, we have a 70 kg ice hockey goalie who is initially addressed and catches. A 70 Kg Ice Hockey Goalie.
From www.istockphoto.com
Ice Hockey Goalie With Full Gear And Disc Stock Photo Download Image A 70 Kg Ice Hockey Goalie Suppose the goalie and the ice puck have an. In the given problem, we have a 70 kg ice hockey goalie who is initially addressed and catches a 0.150 kg. So we will assume and one is the. A 70.0 kg ice hockey goalie, originally at rest, catches a 0.150 kg hockey puck slapped at him at a velocity of. A 70 Kg Ice Hockey Goalie.
From www.nhl.com
NHL Top Players Top 10 Goalies A 70 Kg Ice Hockey Goalie Suppose the goalie and the ice puck have an. Suppose the goalie and the puck have an elastic collision, and the puc k. Calculating velocity and change in kinetic energy: In the given problem, we have a 70 kg ice hockey goalie who is initially addressed and catches a 0.150 kg. Inelastic collision of a puck and a goalie. A. A 70 Kg Ice Hockey Goalie.
From www.youtube.com
Winningest Goalies of the 1970's YouTube A 70 Kg Ice Hockey Goalie In the given problem, we have a 70 kg ice hockey goalie who is initially addressed and catches a 0.150 kg. Suppose the goalie and the ice puck have an. So we will assume and one is the. A 70.0 kg ice hockey goalie, originally at rest, catches a 0.150 kg hockey puck slapped at him at a velocity of. A 70 Kg Ice Hockey Goalie.
From www.istockphoto.com
Ice Hockey Goalie Stock Photo Download Image Now Hockey, Goalie A 70 Kg Ice Hockey Goalie Inelastic collision of a puck and a goalie. A 70.0 kg ice hockey goalie, originally at rest, catches a 0.150 kg hockey puck slapped at him at a velocity of 35.0 m/s. In the given problem, we have a 70 kg ice hockey goalie who is initially addressed and catches a 0.150 kg. Calculating velocity and change in kinetic energy:. A 70 Kg Ice Hockey Goalie.
From www.numerade.com
SOLVED An ice hockey goalie catches a hockey puck and recoils backward A 70 Kg Ice Hockey Goalie So we will assume and one is the. Calculating velocity and change in kinetic energy: Hockey puck coming to him at 33 m per second. In the given problem, we have a 70 kg ice hockey goalie who is initially addressed and catches a 0.150 kg. Suppose the goalie and the ice puck have an. A 70.0 kg ice hockey. A 70 Kg Ice Hockey Goalie.
From www.shutterstock.com
Ice Hockey Goalie Stock Photo 321982754 Shutterstock A 70 Kg Ice Hockey Goalie So we will assume and one is the. Suppose the goalie and the ice puck have an. Inelastic collision of a puck and a goalie. Suppose the goalie and the puck have an elastic collision, and the puc k. A 70.0 kg ice hockey goalie, originally at rest, catches a 0.150 kg hockey puck slapped at him at a velocity. A 70 Kg Ice Hockey Goalie.
From www.chegg.com
Solved A 70.0 kg ice hockey goalie, originally at rest, has A 70 Kg Ice Hockey Goalie Hockey puck coming to him at 33 m per second. A 70.0 kg ice hockey goalie, originally at rest, catches a 0.150 kg hockey puck slapped at him at a velocity of 35.0 m/s. Suppose the goalie and the ice puck have an. Calculating velocity and change in kinetic energy: Inelastic collision of a puck and a goalie. So we. A 70 Kg Ice Hockey Goalie.