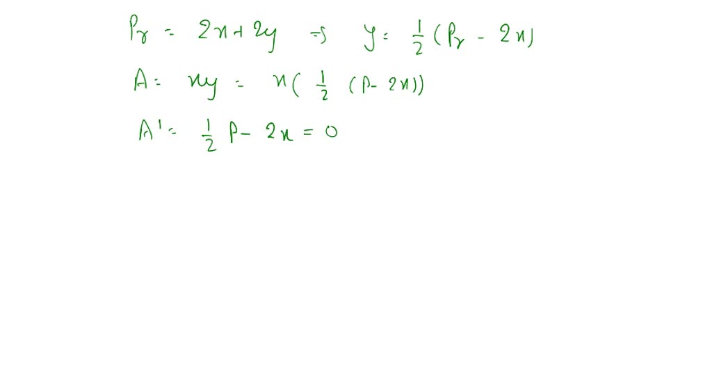
Largest Possible Area . Whether it’s a square, rectangle, or triangle, the knowledge of how to maximize. The largest possible area of a given shape based on the measured values and the measurement errors. The smallest possible area of a given shape. How can you, with polynomial functions, determine the maximum area of a rectangle with a fixed perimeter. To find the largest area, shortest length, etc, using geometry, you'll create two equations related to the shape(s), and plug one intto the other. Compute answers using wolfram's breakthrough technology & knowledgebase, relied on by millions of students & professionals. In rectangle length is always bigger than width. The maximum area calculator lets you to find the largest area enclosed by various shapes. By assuming, if length & width equals, it becomes square and area is the biggest i.e.
from www.chegg.com
Whether it’s a square, rectangle, or triangle, the knowledge of how to maximize. To find the largest area, shortest length, etc, using geometry, you'll create two equations related to the shape(s), and plug one intto the other. The smallest possible area of a given shape. In rectangle length is always bigger than width. The largest possible area of a given shape based on the measured values and the measurement errors. The maximum area calculator lets you to find the largest area enclosed by various shapes. How can you, with polynomial functions, determine the maximum area of a rectangle with a fixed perimeter. Compute answers using wolfram's breakthrough technology & knowledgebase, relied on by millions of students & professionals. By assuming, if length & width equals, it becomes square and area is the biggest i.e.
Solved What is the largest possible area of a rectangle?
Largest Possible Area The largest possible area of a given shape based on the measured values and the measurement errors. The maximum area calculator lets you to find the largest area enclosed by various shapes. To find the largest area, shortest length, etc, using geometry, you'll create two equations related to the shape(s), and plug one intto the other. By assuming, if length & width equals, it becomes square and area is the biggest i.e. Compute answers using wolfram's breakthrough technology & knowledgebase, relied on by millions of students & professionals. The largest possible area of a given shape based on the measured values and the measurement errors. The smallest possible area of a given shape. Whether it’s a square, rectangle, or triangle, the knowledge of how to maximize. In rectangle length is always bigger than width. How can you, with polynomial functions, determine the maximum area of a rectangle with a fixed perimeter.
From www.numerade.com
SOLVED Find the largest possible area for rectangle with base on the Largest Possible Area How can you, with polynomial functions, determine the maximum area of a rectangle with a fixed perimeter. By assuming, if length & width equals, it becomes square and area is the biggest i.e. The largest possible area of a given shape based on the measured values and the measurement errors. In rectangle length is always bigger than width. Whether it’s. Largest Possible Area.
From www.chegg.com
Solved 1. What is the largest possible area for a Largest Possible Area Whether it’s a square, rectangle, or triangle, the knowledge of how to maximize. The largest possible area of a given shape based on the measured values and the measurement errors. To find the largest area, shortest length, etc, using geometry, you'll create two equations related to the shape(s), and plug one intto the other. The smallest possible area of a. Largest Possible Area.
From www.chegg.com
Solved (b) What is the largest possible area of a Norman Largest Possible Area The largest possible area of a given shape based on the measured values and the measurement errors. Whether it’s a square, rectangle, or triangle, the knowledge of how to maximize. The smallest possible area of a given shape. In rectangle length is always bigger than width. To find the largest area, shortest length, etc, using geometry, you'll create two equations. Largest Possible Area.
From www.chegg.com
Solved What is the largest possible area of a rectangle? Largest Possible Area Whether it’s a square, rectangle, or triangle, the knowledge of how to maximize. By assuming, if length & width equals, it becomes square and area is the biggest i.e. The largest possible area of a given shape based on the measured values and the measurement errors. The maximum area calculator lets you to find the largest area enclosed by various. Largest Possible Area.
From www.numerade.com
SOLVED Find the largest possible area of a rectangle inscribed in the Largest Possible Area Compute answers using wolfram's breakthrough technology & knowledgebase, relied on by millions of students & professionals. By assuming, if length & width equals, it becomes square and area is the biggest i.e. The largest possible area of a given shape based on the measured values and the measurement errors. Whether it’s a square, rectangle, or triangle, the knowledge of how. Largest Possible Area.
From www.youtube.com
Area and Perimeter Lesson 5 Largest Possible Area YouTube Largest Possible Area In rectangle length is always bigger than width. The smallest possible area of a given shape. The largest possible area of a given shape based on the measured values and the measurement errors. To find the largest area, shortest length, etc, using geometry, you'll create two equations related to the shape(s), and plug one intto the other. The maximum area. Largest Possible Area.
From www.numerade.com
Prove that the rectangle with the largest possible area given a fixed Largest Possible Area The largest possible area of a given shape based on the measured values and the measurement errors. By assuming, if length & width equals, it becomes square and area is the biggest i.e. In rectangle length is always bigger than width. Compute answers using wolfram's breakthrough technology & knowledgebase, relied on by millions of students & professionals. Whether it’s a. Largest Possible Area.
From www.chegg.com
Solved Find the largest possible area for a rectangle with Largest Possible Area Compute answers using wolfram's breakthrough technology & knowledgebase, relied on by millions of students & professionals. Whether it’s a square, rectangle, or triangle, the knowledge of how to maximize. By assuming, if length & width equals, it becomes square and area is the biggest i.e. To find the largest area, shortest length, etc, using geometry, you'll create two equations related. Largest Possible Area.
From www.chegg.com
Solved its largest possible area (in square meters)? Enter Largest Possible Area Compute answers using wolfram's breakthrough technology & knowledgebase, relied on by millions of students & professionals. How can you, with polynomial functions, determine the maximum area of a rectangle with a fixed perimeter. The smallest possible area of a given shape. Whether it’s a square, rectangle, or triangle, the knowledge of how to maximize. The largest possible area of a. Largest Possible Area.
From www.youtube.com
Find the largest possible area of a right angled triangle whose Largest Possible Area Compute answers using wolfram's breakthrough technology & knowledgebase, relied on by millions of students & professionals. By assuming, if length & width equals, it becomes square and area is the biggest i.e. The largest possible area of a given shape based on the measured values and the measurement errors. In rectangle length is always bigger than width. To find the. Largest Possible Area.
From www.chegg.com
Solved Find the largest possible area for a rectangle with Largest Possible Area How can you, with polynomial functions, determine the maximum area of a rectangle with a fixed perimeter. The maximum area calculator lets you to find the largest area enclosed by various shapes. Compute answers using wolfram's breakthrough technology & knowledgebase, relied on by millions of students & professionals. To find the largest area, shortest length, etc, using geometry, you'll create. Largest Possible Area.
From www.numerade.com
The largest possible circle is cut out of a square whose side length is Largest Possible Area To find the largest area, shortest length, etc, using geometry, you'll create two equations related to the shape(s), and plug one intto the other. In rectangle length is always bigger than width. The largest possible area of a given shape based on the measured values and the measurement errors. The smallest possible area of a given shape. Whether it’s a. Largest Possible Area.
From www.numerade.com
SOLVED 'For rectangles that have fixed perimeter of 80, what are the Largest Possible Area In rectangle length is always bigger than width. The largest possible area of a given shape based on the measured values and the measurement errors. To find the largest area, shortest length, etc, using geometry, you'll create two equations related to the shape(s), and plug one intto the other. The maximum area calculator lets you to find the largest area. Largest Possible Area.
From owlcation.com
Which Rectangle Gives the Biggest Area? Owlcation Largest Possible Area Compute answers using wolfram's breakthrough technology & knowledgebase, relied on by millions of students & professionals. How can you, with polynomial functions, determine the maximum area of a rectangle with a fixed perimeter. The maximum area calculator lets you to find the largest area enclosed by various shapes. In rectangle length is always bigger than width. By assuming, if length. Largest Possible Area.
From www.chegg.com
Solved What is the largest possible area of a rectangle Largest Possible Area How can you, with polynomial functions, determine the maximum area of a rectangle with a fixed perimeter. The maximum area calculator lets you to find the largest area enclosed by various shapes. The largest possible area of a given shape based on the measured values and the measurement errors. By assuming, if length & width equals, it becomes square and. Largest Possible Area.
From www.chegg.com
Solved We want to determine the largest possible area for a Largest Possible Area The largest possible area of a given shape based on the measured values and the measurement errors. How can you, with polynomial functions, determine the maximum area of a rectangle with a fixed perimeter. The maximum area calculator lets you to find the largest area enclosed by various shapes. By assuming, if length & width equals, it becomes square and. Largest Possible Area.
From www.youtube.com
Calculus Maximum Right Triangle Area whose Hypotenuse is 5 cm long Largest Possible Area Whether it’s a square, rectangle, or triangle, the knowledge of how to maximize. Compute answers using wolfram's breakthrough technology & knowledgebase, relied on by millions of students & professionals. The smallest possible area of a given shape. How can you, with polynomial functions, determine the maximum area of a rectangle with a fixed perimeter. The largest possible area of a. Largest Possible Area.
From www.chegg.com
Solved Find the largest possible area for a rectangle with Largest Possible Area Compute answers using wolfram's breakthrough technology & knowledgebase, relied on by millions of students & professionals. How can you, with polynomial functions, determine the maximum area of a rectangle with a fixed perimeter. Whether it’s a square, rectangle, or triangle, the knowledge of how to maximize. The smallest possible area of a given shape. In rectangle length is always bigger. Largest Possible Area.
From www.numerade.com
SOLVEDProve that the rectangle with the largest possible area given a Largest Possible Area Whether it’s a square, rectangle, or triangle, the knowledge of how to maximize. How can you, with polynomial functions, determine the maximum area of a rectangle with a fixed perimeter. To find the largest area, shortest length, etc, using geometry, you'll create two equations related to the shape(s), and plug one intto the other. The smallest possible area of a. Largest Possible Area.
From www.numerade.com
⏩SOLVEDFind the largest possible area for an iscsceles triangle if Largest Possible Area The smallest possible area of a given shape. Compute answers using wolfram's breakthrough technology & knowledgebase, relied on by millions of students & professionals. The maximum area calculator lets you to find the largest area enclosed by various shapes. In rectangle length is always bigger than width. To find the largest area, shortest length, etc, using geometry, you'll create two. Largest Possible Area.
From www.chegg.com
Solved A rectangle has its base on the xaxis and its upper Largest Possible Area The maximum area calculator lets you to find the largest area enclosed by various shapes. By assuming, if length & width equals, it becomes square and area is the biggest i.e. The largest possible area of a given shape based on the measured values and the measurement errors. Whether it’s a square, rectangle, or triangle, the knowledge of how to. Largest Possible Area.
From www.numerade.com
SOLVEDFind the largest possible area for a rectangle with base on the Largest Possible Area Compute answers using wolfram's breakthrough technology & knowledgebase, relied on by millions of students & professionals. The smallest possible area of a given shape. In rectangle length is always bigger than width. By assuming, if length & width equals, it becomes square and area is the biggest i.e. The maximum area calculator lets you to find the largest area enclosed. Largest Possible Area.
From www.chegg.com
Solved 5. Find the largest possible area of a rectangle Largest Possible Area The maximum area calculator lets you to find the largest area enclosed by various shapes. To find the largest area, shortest length, etc, using geometry, you'll create two equations related to the shape(s), and plug one intto the other. Compute answers using wolfram's breakthrough technology & knowledgebase, relied on by millions of students & professionals. The largest possible area of. Largest Possible Area.
From www.chegg.com
Solved Find the largest possible area for a rectangle with Largest Possible Area Whether it’s a square, rectangle, or triangle, the knowledge of how to maximize. The largest possible area of a given shape based on the measured values and the measurement errors. In rectangle length is always bigger than width. The smallest possible area of a given shape. By assuming, if length & width equals, it becomes square and area is the. Largest Possible Area.
From www.numerade.com
SOLVED Problem 1 Suppose we have a circle of radius 4. Find the Largest Possible Area The smallest possible area of a given shape. Compute answers using wolfram's breakthrough technology & knowledgebase, relied on by millions of students & professionals. To find the largest area, shortest length, etc, using geometry, you'll create two equations related to the shape(s), and plug one intto the other. Whether it’s a square, rectangle, or triangle, the knowledge of how to. Largest Possible Area.
From www.youtube.com
Find the area of the largest rectangle that can be inscribed in a right Largest Possible Area Compute answers using wolfram's breakthrough technology & knowledgebase, relied on by millions of students & professionals. How can you, with polynomial functions, determine the maximum area of a rectangle with a fixed perimeter. In rectangle length is always bigger than width. By assuming, if length & width equals, it becomes square and area is the biggest i.e. Whether it’s a. Largest Possible Area.
From www.chegg.com
Solved Question 2 Find the largest possible area for a Largest Possible Area In rectangle length is always bigger than width. Whether it’s a square, rectangle, or triangle, the knowledge of how to maximize. The maximum area calculator lets you to find the largest area enclosed by various shapes. Compute answers using wolfram's breakthrough technology & knowledgebase, relied on by millions of students & professionals. To find the largest area, shortest length, etc,. Largest Possible Area.
From www.chegg.com
Solved Find the largest possible area for a rectangle with Largest Possible Area Whether it’s a square, rectangle, or triangle, the knowledge of how to maximize. To find the largest area, shortest length, etc, using geometry, you'll create two equations related to the shape(s), and plug one intto the other. How can you, with polynomial functions, determine the maximum area of a rectangle with a fixed perimeter. Compute answers using wolfram's breakthrough technology. Largest Possible Area.
From www.chegg.com
Solved We want to determine the largest possible area for a Largest Possible Area The maximum area calculator lets you to find the largest area enclosed by various shapes. Whether it’s a square, rectangle, or triangle, the knowledge of how to maximize. The smallest possible area of a given shape. By assuming, if length & width equals, it becomes square and area is the biggest i.e. The largest possible area of a given shape. Largest Possible Area.
From www.coursehero.com
[Solved] 6 What is the largest possible area of a rectangle inscribed Largest Possible Area By assuming, if length & width equals, it becomes square and area is the biggest i.e. How can you, with polynomial functions, determine the maximum area of a rectangle with a fixed perimeter. The largest possible area of a given shape based on the measured values and the measurement errors. The maximum area calculator lets you to find the largest. Largest Possible Area.
From www.numerade.com
SOLVED A rectangularshaped piece of land is 96 meters long and 56 Largest Possible Area Compute answers using wolfram's breakthrough technology & knowledgebase, relied on by millions of students & professionals. The smallest possible area of a given shape. To find the largest area, shortest length, etc, using geometry, you'll create two equations related to the shape(s), and plug one intto the other. In rectangle length is always bigger than width. How can you, with. Largest Possible Area.
From medium.com
What’s The Largest Possible Area? by Barry Leung ⚡ Math Simplified Largest Possible Area Whether it’s a square, rectangle, or triangle, the knowledge of how to maximize. The largest possible area of a given shape based on the measured values and the measurement errors. By assuming, if length & width equals, it becomes square and area is the biggest i.e. In rectangle length is always bigger than width. The maximum area calculator lets you. Largest Possible Area.
From askfilo.com
What is largest Possible area of rectangle with integer sides and Cerimet.. Largest Possible Area Whether it’s a square, rectangle, or triangle, the knowledge of how to maximize. The smallest possible area of a given shape. The largest possible area of a given shape based on the measured values and the measurement errors. By assuming, if length & width equals, it becomes square and area is the biggest i.e. Compute answers using wolfram's breakthrough technology. Largest Possible Area.
From quizlet.com
What is the largest possible area of a region in the plane t Quizlet Largest Possible Area The largest possible area of a given shape based on the measured values and the measurement errors. To find the largest area, shortest length, etc, using geometry, you'll create two equations related to the shape(s), and plug one intto the other. By assuming, if length & width equals, it becomes square and area is the biggest i.e. In rectangle length. Largest Possible Area.
From www.gauthmath.com
Solved Find the largest possible area for a rectangle with base on the Largest Possible Area The largest possible area of a given shape based on the measured values and the measurement errors. To find the largest area, shortest length, etc, using geometry, you'll create two equations related to the shape(s), and plug one intto the other. Compute answers using wolfram's breakthrough technology & knowledgebase, relied on by millions of students & professionals. The maximum area. Largest Possible Area.