Describe The Scent Of Vanilla . learn about the vanilla used in perfumes, the scent of vanilla, plus how to pair vanilla notes with insights from our fine fragrance expert, tripta. The evocative scent of vanilla is everything, everywhere, all at once. the scent of vanilla consists of several components, main of which are vanillin and piperonal (heliotropine). Here, writer parizaad khan sethi explores our complex relationship with the note. Learn all about this sweetly scented spice with a guide to its history, cultivation, and uses in perfumery, cosmetics, and crafts. the sweet and nutty scent of vanillin, the main component in vanilla extract, appears to be the world's favorite scent, according to a new study published this week in current biology. vanilla doesn’t just smell sweet, nuzzleable and delectably comforting: It’s kind of magic, in flavour and perfume terms.
from www.wikihow.com
Learn all about this sweetly scented spice with a guide to its history, cultivation, and uses in perfumery, cosmetics, and crafts. learn about the vanilla used in perfumes, the scent of vanilla, plus how to pair vanilla notes with insights from our fine fragrance expert, tripta. Here, writer parizaad khan sethi explores our complex relationship with the note. It’s kind of magic, in flavour and perfume terms. the sweet and nutty scent of vanillin, the main component in vanilla extract, appears to be the world's favorite scent, according to a new study published this week in current biology. vanilla doesn’t just smell sweet, nuzzleable and delectably comforting: The evocative scent of vanilla is everything, everywhere, all at once. the scent of vanilla consists of several components, main of which are vanillin and piperonal (heliotropine).
How to Make a Vanilla Scent Using Extract 5 Steps wikiHow
Describe The Scent Of Vanilla the scent of vanilla consists of several components, main of which are vanillin and piperonal (heliotropine). the scent of vanilla consists of several components, main of which are vanillin and piperonal (heliotropine). The evocative scent of vanilla is everything, everywhere, all at once. It’s kind of magic, in flavour and perfume terms. vanilla doesn’t just smell sweet, nuzzleable and delectably comforting: Here, writer parizaad khan sethi explores our complex relationship with the note. Learn all about this sweetly scented spice with a guide to its history, cultivation, and uses in perfumery, cosmetics, and crafts. learn about the vanilla used in perfumes, the scent of vanilla, plus how to pair vanilla notes with insights from our fine fragrance expert, tripta. the sweet and nutty scent of vanillin, the main component in vanilla extract, appears to be the world's favorite scent, according to a new study published this week in current biology.
From www.pinterest.com
Love the smell of vanilla...perfume,candles whatever...I just think it Describe The Scent Of Vanilla learn about the vanilla used in perfumes, the scent of vanilla, plus how to pair vanilla notes with insights from our fine fragrance expert, tripta. the scent of vanilla consists of several components, main of which are vanillin and piperonal (heliotropine). The evocative scent of vanilla is everything, everywhere, all at once. Learn all about this sweetly scented. Describe The Scent Of Vanilla.
From www.youtube.com
Difference between Vanilla Essence and Vanilla Extract / Vanilla Describe The Scent Of Vanilla vanilla doesn’t just smell sweet, nuzzleable and delectably comforting: The evocative scent of vanilla is everything, everywhere, all at once. Here, writer parizaad khan sethi explores our complex relationship with the note. the scent of vanilla consists of several components, main of which are vanillin and piperonal (heliotropine). learn about the vanilla used in perfumes, the scent. Describe The Scent Of Vanilla.
From serinafuchs.blogspot.com
is vanilla a feminine scent Serina Fuchs Describe The Scent Of Vanilla the scent of vanilla consists of several components, main of which are vanillin and piperonal (heliotropine). Learn all about this sweetly scented spice with a guide to its history, cultivation, and uses in perfumery, cosmetics, and crafts. learn about the vanilla used in perfumes, the scent of vanilla, plus how to pair vanilla notes with insights from our. Describe The Scent Of Vanilla.
From fromthemeadow.com
Vanilla Soap From the Meadow Describe The Scent Of Vanilla vanilla doesn’t just smell sweet, nuzzleable and delectably comforting: the scent of vanilla consists of several components, main of which are vanillin and piperonal (heliotropine). learn about the vanilla used in perfumes, the scent of vanilla, plus how to pair vanilla notes with insights from our fine fragrance expert, tripta. It’s kind of magic, in flavour and. Describe The Scent Of Vanilla.
From www.slurrp.com
Why Vanilla Is The Most Underrated Spice Describe The Scent Of Vanilla learn about the vanilla used in perfumes, the scent of vanilla, plus how to pair vanilla notes with insights from our fine fragrance expert, tripta. the scent of vanilla consists of several components, main of which are vanillin and piperonal (heliotropine). the sweet and nutty scent of vanillin, the main component in vanilla extract, appears to be. Describe The Scent Of Vanilla.
From www.americastestkitchen.com
Vanilla Extract vs. Imitation Vanilla Does It Matter What You Buy Describe The Scent Of Vanilla the scent of vanilla consists of several components, main of which are vanillin and piperonal (heliotropine). Learn all about this sweetly scented spice with a guide to its history, cultivation, and uses in perfumery, cosmetics, and crafts. Here, writer parizaad khan sethi explores our complex relationship with the note. It’s kind of magic, in flavour and perfume terms. . Describe The Scent Of Vanilla.
From www.thelist.com
Here's Why We Find The Scent Of Vanilla So Attractive Describe The Scent Of Vanilla Learn all about this sweetly scented spice with a guide to its history, cultivation, and uses in perfumery, cosmetics, and crafts. It’s kind of magic, in flavour and perfume terms. the sweet and nutty scent of vanillin, the main component in vanilla extract, appears to be the world's favorite scent, according to a new study published this week in. Describe The Scent Of Vanilla.
From www.fragrantica.pl
Vanilla Scent Ésika perfumy to perfumy dla kobiet Describe The Scent Of Vanilla vanilla doesn’t just smell sweet, nuzzleable and delectably comforting: the sweet and nutty scent of vanillin, the main component in vanilla extract, appears to be the world's favorite scent, according to a new study published this week in current biology. the scent of vanilla consists of several components, main of which are vanillin and piperonal (heliotropine). . Describe The Scent Of Vanilla.
From www.psychnewsdaily.com
What Is The World's 1 Favorite Scent? Vanilla, Says New Study Describe The Scent Of Vanilla It’s kind of magic, in flavour and perfume terms. Learn all about this sweetly scented spice with a guide to its history, cultivation, and uses in perfumery, cosmetics, and crafts. The evocative scent of vanilla is everything, everywhere, all at once. vanilla doesn’t just smell sweet, nuzzleable and delectably comforting: Here, writer parizaad khan sethi explores our complex relationship. Describe The Scent Of Vanilla.
From www.huffingtonpost.com
It's About Time You Knew Exactly Where Vanilla Comes From HuffPost Describe The Scent Of Vanilla It’s kind of magic, in flavour and perfume terms. the scent of vanilla consists of several components, main of which are vanillin and piperonal (heliotropine). Learn all about this sweetly scented spice with a guide to its history, cultivation, and uses in perfumery, cosmetics, and crafts. the sweet and nutty scent of vanillin, the main component in vanilla. Describe The Scent Of Vanilla.
From grammar.yourdictionary.com
Descriptive Words for Scents List of Smell Adjectives Describe The Scent Of Vanilla It’s kind of magic, in flavour and perfume terms. The evocative scent of vanilla is everything, everywhere, all at once. Learn all about this sweetly scented spice with a guide to its history, cultivation, and uses in perfumery, cosmetics, and crafts. the sweet and nutty scent of vanillin, the main component in vanilla extract, appears to be the world's. Describe The Scent Of Vanilla.
From fresherheir.com
Vanilla Scent Describe The Scent Of Vanilla Here, writer parizaad khan sethi explores our complex relationship with the note. the sweet and nutty scent of vanillin, the main component in vanilla extract, appears to be the world's favorite scent, according to a new study published this week in current biology. Learn all about this sweetly scented spice with a guide to its history, cultivation, and uses. Describe The Scent Of Vanilla.
From natashaskitchen.com
Vanilla Extract Recipe How to Make Vanilla Extract NatashasKitchen Describe The Scent Of Vanilla the sweet and nutty scent of vanillin, the main component in vanilla extract, appears to be the world's favorite scent, according to a new study published this week in current biology. vanilla doesn’t just smell sweet, nuzzleable and delectably comforting: Learn all about this sweetly scented spice with a guide to its history, cultivation, and uses in perfumery,. Describe The Scent Of Vanilla.
From www.pinterest.com
I love the smell of vanilla! I'll do this if we have company over. Diy Describe The Scent Of Vanilla the scent of vanilla consists of several components, main of which are vanillin and piperonal (heliotropine). Learn all about this sweetly scented spice with a guide to its history, cultivation, and uses in perfumery, cosmetics, and crafts. the sweet and nutty scent of vanillin, the main component in vanilla extract, appears to be the world's favorite scent, according. Describe The Scent Of Vanilla.
From www.glamourmagazine.co.uk
12 VanillaScented Perfumes That We're Obsessed With Glamour UK Describe The Scent Of Vanilla Here, writer parizaad khan sethi explores our complex relationship with the note. The evocative scent of vanilla is everything, everywhere, all at once. vanilla doesn’t just smell sweet, nuzzleable and delectably comforting: It’s kind of magic, in flavour and perfume terms. learn about the vanilla used in perfumes, the scent of vanilla, plus how to pair vanilla notes. Describe The Scent Of Vanilla.
From dalybeauty.ca
My Favourite Irresistible Vanilla Perfumes DALY BEAUTY Describe The Scent Of Vanilla It’s kind of magic, in flavour and perfume terms. Here, writer parizaad khan sethi explores our complex relationship with the note. The evocative scent of vanilla is everything, everywhere, all at once. the scent of vanilla consists of several components, main of which are vanillin and piperonal (heliotropine). vanilla doesn’t just smell sweet, nuzzleable and delectably comforting: Learn. Describe The Scent Of Vanilla.
From www.reformstead.com
How To Make Vanilla Infused Coconut Oil Describe The Scent Of Vanilla The evocative scent of vanilla is everything, everywhere, all at once. the sweet and nutty scent of vanillin, the main component in vanilla extract, appears to be the world's favorite scent, according to a new study published this week in current biology. learn about the vanilla used in perfumes, the scent of vanilla, plus how to pair vanilla. Describe The Scent Of Vanilla.
From www.gkseries.com
What happens to the smell of vanilla or onion in the presence of Acids? Describe The Scent Of Vanilla Here, writer parizaad khan sethi explores our complex relationship with the note. vanilla doesn’t just smell sweet, nuzzleable and delectably comforting: the sweet and nutty scent of vanillin, the main component in vanilla extract, appears to be the world's favorite scent, according to a new study published this week in current biology. It’s kind of magic, in flavour. Describe The Scent Of Vanilla.
From blog.education.nationalgeographic.org
Sweet Smell of Vanilla’s Success National Geographic Education Blog Describe The Scent Of Vanilla the scent of vanilla consists of several components, main of which are vanillin and piperonal (heliotropine). Learn all about this sweetly scented spice with a guide to its history, cultivation, and uses in perfumery, cosmetics, and crafts. The evocative scent of vanilla is everything, everywhere, all at once. vanilla doesn’t just smell sweet, nuzzleable and delectably comforting: It’s. Describe The Scent Of Vanilla.
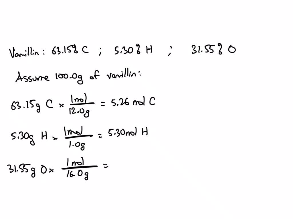
From www.numerade.com
SOLVED Vanillin (responsible for the taste and smell of vanilla) is 63 Describe The Scent Of Vanilla Here, writer parizaad khan sethi explores our complex relationship with the note. The evocative scent of vanilla is everything, everywhere, all at once. learn about the vanilla used in perfumes, the scent of vanilla, plus how to pair vanilla notes with insights from our fine fragrance expert, tripta. the sweet and nutty scent of vanillin, the main component. Describe The Scent Of Vanilla.
From exykebemb.blob.core.windows.net
Why Does My Vanilla Smell Like Alcohol at Timothy Collins blog Describe The Scent Of Vanilla Here, writer parizaad khan sethi explores our complex relationship with the note. Learn all about this sweetly scented spice with a guide to its history, cultivation, and uses in perfumery, cosmetics, and crafts. learn about the vanilla used in perfumes, the scent of vanilla, plus how to pair vanilla notes with insights from our fine fragrance expert, tripta. The. Describe The Scent Of Vanilla.
From www.esquire.com
The Best Vanilla Fragrances for Men Esquire UK Describe The Scent Of Vanilla the sweet and nutty scent of vanillin, the main component in vanilla extract, appears to be the world's favorite scent, according to a new study published this week in current biology. the scent of vanilla consists of several components, main of which are vanillin and piperonal (heliotropine). Here, writer parizaad khan sethi explores our complex relationship with the. Describe The Scent Of Vanilla.
From www.glamourmagazine.co.uk
12 VanillaScented Perfumes That We're Obsessed With Glamour UK Describe The Scent Of Vanilla The evocative scent of vanilla is everything, everywhere, all at once. It’s kind of magic, in flavour and perfume terms. the scent of vanilla consists of several components, main of which are vanillin and piperonal (heliotropine). Here, writer parizaad khan sethi explores our complex relationship with the note. vanilla doesn’t just smell sweet, nuzzleable and delectably comforting: . Describe The Scent Of Vanilla.
From vanillator.com
What Scent Family is Vanilla? A Complete Guide Indonesian Vanilla Describe The Scent Of Vanilla the scent of vanilla consists of several components, main of which are vanillin and piperonal (heliotropine). vanilla doesn’t just smell sweet, nuzzleable and delectably comforting: the sweet and nutty scent of vanillin, the main component in vanilla extract, appears to be the world's favorite scent, according to a new study published this week in current biology. . Describe The Scent Of Vanilla.
From www.ferbena.com
9 Most Longlasting Vanilla Scent Perfumes That Make You Smell Describe The Scent Of Vanilla vanilla doesn’t just smell sweet, nuzzleable and delectably comforting: Here, writer parizaad khan sethi explores our complex relationship with the note. The evocative scent of vanilla is everything, everywhere, all at once. the scent of vanilla consists of several components, main of which are vanillin and piperonal (heliotropine). learn about the vanilla used in perfumes, the scent. Describe The Scent Of Vanilla.
From thebeautymay.com
How to Smell Like Vanilla The Beauty May Describe The Scent Of Vanilla the sweet and nutty scent of vanillin, the main component in vanilla extract, appears to be the world's favorite scent, according to a new study published this week in current biology. the scent of vanilla consists of several components, main of which are vanillin and piperonal (heliotropine). The evocative scent of vanilla is everything, everywhere, all at once.. Describe The Scent Of Vanilla.
From www.essence.com
Want To Smell Like A Vanilla Snack? Here Are 10 Fragrances You Need To Describe The Scent Of Vanilla The evocative scent of vanilla is everything, everywhere, all at once. learn about the vanilla used in perfumes, the scent of vanilla, plus how to pair vanilla notes with insights from our fine fragrance expert, tripta. Learn all about this sweetly scented spice with a guide to its history, cultivation, and uses in perfumery, cosmetics, and crafts. the. Describe The Scent Of Vanilla.
From www.diet-health.info
Extracto de vainilla, natural Fundación G+E Describe The Scent Of Vanilla Learn all about this sweetly scented spice with a guide to its history, cultivation, and uses in perfumery, cosmetics, and crafts. the scent of vanilla consists of several components, main of which are vanillin and piperonal (heliotropine). the sweet and nutty scent of vanillin, the main component in vanilla extract, appears to be the world's favorite scent, according. Describe The Scent Of Vanilla.
From www.wikihow.com
How to Make a Vanilla Scent Using Extract 5 Steps wikiHow Describe The Scent Of Vanilla vanilla doesn’t just smell sweet, nuzzleable and delectably comforting: learn about the vanilla used in perfumes, the scent of vanilla, plus how to pair vanilla notes with insights from our fine fragrance expert, tripta. Learn all about this sweetly scented spice with a guide to its history, cultivation, and uses in perfumery, cosmetics, and crafts. It’s kind of. Describe The Scent Of Vanilla.
From www.thelist.com
Here's Why We Find The Scent Of Vanilla So Attractive Describe The Scent Of Vanilla Learn all about this sweetly scented spice with a guide to its history, cultivation, and uses in perfumery, cosmetics, and crafts. learn about the vanilla used in perfumes, the scent of vanilla, plus how to pair vanilla notes with insights from our fine fragrance expert, tripta. The evocative scent of vanilla is everything, everywhere, all at once. It’s kind. Describe The Scent Of Vanilla.
From gioglgyba.blob.core.windows.net
Vanilla Scented Perfume Best at Tracy Ladd blog Describe The Scent Of Vanilla the sweet and nutty scent of vanillin, the main component in vanilla extract, appears to be the world's favorite scent, according to a new study published this week in current biology. Here, writer parizaad khan sethi explores our complex relationship with the note. It’s kind of magic, in flavour and perfume terms. The evocative scent of vanilla is everything,. Describe The Scent Of Vanilla.
From engdic.org
20+ Best Words to Describe Scent, Adjectives for Scent EngDic Describe The Scent Of Vanilla The evocative scent of vanilla is everything, everywhere, all at once. Learn all about this sweetly scented spice with a guide to its history, cultivation, and uses in perfumery, cosmetics, and crafts. the scent of vanilla consists of several components, main of which are vanillin and piperonal (heliotropine). the sweet and nutty scent of vanillin, the main component. Describe The Scent Of Vanilla.
From www.thecoolist.com
12 Fascinating Facts About Your Favorite Foods Describe The Scent Of Vanilla learn about the vanilla used in perfumes, the scent of vanilla, plus how to pair vanilla notes with insights from our fine fragrance expert, tripta. Learn all about this sweetly scented spice with a guide to its history, cultivation, and uses in perfumery, cosmetics, and crafts. It’s kind of magic, in flavour and perfume terms. Here, writer parizaad khan. Describe The Scent Of Vanilla.
From professionaldetailingproducts.com
VANILLA SCENT. Professional Detailing Products, Because Your Car is a Describe The Scent Of Vanilla Learn all about this sweetly scented spice with a guide to its history, cultivation, and uses in perfumery, cosmetics, and crafts. vanilla doesn’t just smell sweet, nuzzleable and delectably comforting: the sweet and nutty scent of vanillin, the main component in vanilla extract, appears to be the world's favorite scent, according to a new study published this week. Describe The Scent Of Vanilla.
From www.cookscountry.com
Vanilla Extract Describe The Scent Of Vanilla The evocative scent of vanilla is everything, everywhere, all at once. the scent of vanilla consists of several components, main of which are vanillin and piperonal (heliotropine). Learn all about this sweetly scented spice with a guide to its history, cultivation, and uses in perfumery, cosmetics, and crafts. learn about the vanilla used in perfumes, the scent of. Describe The Scent Of Vanilla.