Bellevue Ky Occupational Tax . This page contains the most current information as it regards taxes and fees, and their associated rates, for the city of bellevue, kentucky. Rates range from 0.50 percent to 2.25 percent, with a median. As of january 2024, 86 counties levied an occupational license fee on payroll. Occupational license fees are taxes that may be imposed as a percentage of payroll on those working within a county and/or as a percentage of net profits of business activities in the county. Here you will find a comprehensive listing of and links to relevant applications and forms for permits and licenses related to living and conducting. Many cities and counties require a local business license and/or impose an occupational tax or other type of tax on individuals and firms conducting. Campbell county & cities occupational license tax facts for businesses. (a) every person and business entity operating or engaged in any business, franchise, trade, occupation, or profession in the city and every. Occupational taxes pursuant to krs 67.766 , occupational license tax forms for each kentucky taxing district that imposes such a tax are now. This document is intended to acquaint businesses with.
from www.formsbank.com
This document is intended to acquaint businesses with. Rates range from 0.50 percent to 2.25 percent, with a median. (a) every person and business entity operating or engaged in any business, franchise, trade, occupation, or profession in the city and every. Many cities and counties require a local business license and/or impose an occupational tax or other type of tax on individuals and firms conducting. Here you will find a comprehensive listing of and links to relevant applications and forms for permits and licenses related to living and conducting. Occupational license fees are taxes that may be imposed as a percentage of payroll on those working within a county and/or as a percentage of net profits of business activities in the county. This page contains the most current information as it regards taxes and fees, and their associated rates, for the city of bellevue, kentucky. Occupational taxes pursuant to krs 67.766 , occupational license tax forms for each kentucky taxing district that imposes such a tax are now. As of january 2024, 86 counties levied an occupational license fee on payroll. Campbell county & cities occupational license tax facts for businesses.
Livingston County Kentucky Occupational Tax printable pdf download
Bellevue Ky Occupational Tax (a) every person and business entity operating or engaged in any business, franchise, trade, occupation, or profession in the city and every. Here you will find a comprehensive listing of and links to relevant applications and forms for permits and licenses related to living and conducting. This page contains the most current information as it regards taxes and fees, and their associated rates, for the city of bellevue, kentucky. Rates range from 0.50 percent to 2.25 percent, with a median. This document is intended to acquaint businesses with. (a) every person and business entity operating or engaged in any business, franchise, trade, occupation, or profession in the city and every. Occupational license fees are taxes that may be imposed as a percentage of payroll on those working within a county and/or as a percentage of net profits of business activities in the county. Occupational taxes pursuant to krs 67.766 , occupational license tax forms for each kentucky taxing district that imposes such a tax are now. Many cities and counties require a local business license and/or impose an occupational tax or other type of tax on individuals and firms conducting. Campbell county & cities occupational license tax facts for businesses. As of january 2024, 86 counties levied an occupational license fee on payroll.
From fyogffmtn.blob.core.windows.net
Kentucky Occupational Tax Forms at Kelly Barker blog Bellevue Ky Occupational Tax Occupational license fees are taxes that may be imposed as a percentage of payroll on those working within a county and/or as a percentage of net profits of business activities in the county. Campbell county & cities occupational license tax facts for businesses. This page contains the most current information as it regards taxes and fees, and their associated rates,. Bellevue Ky Occupational Tax.
From exolpklzo.blob.core.windows.net
Muhlenberg County Ky Occupational Tax at Larry Valdez blog Bellevue Ky Occupational Tax Campbell county & cities occupational license tax facts for businesses. Many cities and counties require a local business license and/or impose an occupational tax or other type of tax on individuals and firms conducting. Here you will find a comprehensive listing of and links to relevant applications and forms for permits and licenses related to living and conducting. (a) every. Bellevue Ky Occupational Tax.
From www.templateroller.com
Form OL3 EZ Fill Out, Sign Online and Download Printable PDF Bellevue Ky Occupational Tax This document is intended to acquaint businesses with. As of january 2024, 86 counties levied an occupational license fee on payroll. This page contains the most current information as it regards taxes and fees, and their associated rates, for the city of bellevue, kentucky. Many cities and counties require a local business license and/or impose an occupational tax or other. Bellevue Ky Occupational Tax.
From www.countyforms.com
Knox County Ky Occupational Tax Forms Bellevue Ky Occupational Tax Occupational taxes pursuant to krs 67.766 , occupational license tax forms for each kentucky taxing district that imposes such a tax are now. Many cities and counties require a local business license and/or impose an occupational tax or other type of tax on individuals and firms conducting. Rates range from 0.50 percent to 2.25 percent, with a median. Campbell county. Bellevue Ky Occupational Tax.
From www.formsbank.com
Livingston County Kentucky Occupational Tax printable pdf download Bellevue Ky Occupational Tax As of january 2024, 86 counties levied an occupational license fee on payroll. Here you will find a comprehensive listing of and links to relevant applications and forms for permits and licenses related to living and conducting. This document is intended to acquaint businesses with. This page contains the most current information as it regards taxes and fees, and their. Bellevue Ky Occupational Tax.
From exowmdajp.blob.core.windows.net
Russellville Ky Occupational Tax at Charles Hick blog Bellevue Ky Occupational Tax This page contains the most current information as it regards taxes and fees, and their associated rates, for the city of bellevue, kentucky. Rates range from 0.50 percent to 2.25 percent, with a median. This document is intended to acquaint businesses with. Many cities and counties require a local business license and/or impose an occupational tax or other type of. Bellevue Ky Occupational Tax.
From www.signnow.com
City of Bellevue Ky Occupational License airSlate SignNow Bellevue Ky Occupational Tax Many cities and counties require a local business license and/or impose an occupational tax or other type of tax on individuals and firms conducting. This page contains the most current information as it regards taxes and fees, and their associated rates, for the city of bellevue, kentucky. As of january 2024, 86 counties levied an occupational license fee on payroll.. Bellevue Ky Occupational Tax.
From exolpklzo.blob.core.windows.net
Muhlenberg County Ky Occupational Tax at Larry Valdez blog Bellevue Ky Occupational Tax (a) every person and business entity operating or engaged in any business, franchise, trade, occupation, or profession in the city and every. Occupational taxes pursuant to krs 67.766 , occupational license tax forms for each kentucky taxing district that imposes such a tax are now. Many cities and counties require a local business license and/or impose an occupational tax or. Bellevue Ky Occupational Tax.
From www.formsbank.com
Fillable Form Cc3 Campbell County & Cities Occupational Tax Bellevue Ky Occupational Tax This page contains the most current information as it regards taxes and fees, and their associated rates, for the city of bellevue, kentucky. Many cities and counties require a local business license and/or impose an occupational tax or other type of tax on individuals and firms conducting. Rates range from 0.50 percent to 2.25 percent, with a median. Occupational taxes. Bellevue Ky Occupational Tax.
From www.countyforms.com
Fillable Form Cc1 Federal Employee Occupational Tax Return 2015 Bellevue Ky Occupational Tax Here you will find a comprehensive listing of and links to relevant applications and forms for permits and licenses related to living and conducting. This page contains the most current information as it regards taxes and fees, and their associated rates, for the city of bellevue, kentucky. Campbell county & cities occupational license tax facts for businesses. Occupational license fees. Bellevue Ky Occupational Tax.
From www.countyforms.com
Monroe County Ky Occupational Tax Form Bellevue Ky Occupational Tax Rates range from 0.50 percent to 2.25 percent, with a median. Occupational license fees are taxes that may be imposed as a percentage of payroll on those working within a county and/or as a percentage of net profits of business activities in the county. Campbell county & cities occupational license tax facts for businesses. This page contains the most current. Bellevue Ky Occupational Tax.
From www.neilsberg.com
Bellevue, KY Median Household By Age 2024 Update Neilsberg Bellevue Ky Occupational Tax This page contains the most current information as it regards taxes and fees, and their associated rates, for the city of bellevue, kentucky. Here you will find a comprehensive listing of and links to relevant applications and forms for permits and licenses related to living and conducting. Many cities and counties require a local business license and/or impose an occupational. Bellevue Ky Occupational Tax.
From www.countyforms.com
Kenton County Annual Occupational Form Fill Out And Sign Printable Bellevue Ky Occupational Tax This document is intended to acquaint businesses with. Rates range from 0.50 percent to 2.25 percent, with a median. Occupational taxes pursuant to krs 67.766 , occupational license tax forms for each kentucky taxing district that imposes such a tax are now. Many cities and counties require a local business license and/or impose an occupational tax or other type of. Bellevue Ky Occupational Tax.
From exolpklzo.blob.core.windows.net
Muhlenberg County Ky Occupational Tax at Larry Valdez blog Bellevue Ky Occupational Tax Campbell county & cities occupational license tax facts for businesses. This page contains the most current information as it regards taxes and fees, and their associated rates, for the city of bellevue, kentucky. Occupational license fees are taxes that may be imposed as a percentage of payroll on those working within a county and/or as a percentage of net profits. Bellevue Ky Occupational Tax.
From www.countyforms.com
Bourbon County Occupational Tax Application Form Bellevue Ky Occupational Tax This page contains the most current information as it regards taxes and fees, and their associated rates, for the city of bellevue, kentucky. Here you will find a comprehensive listing of and links to relevant applications and forms for permits and licenses related to living and conducting. Campbell county & cities occupational license tax facts for businesses. Many cities and. Bellevue Ky Occupational Tax.
From fyogffmtn.blob.core.windows.net
Kentucky Occupational Tax Forms at Kelly Barker blog Bellevue Ky Occupational Tax Here you will find a comprehensive listing of and links to relevant applications and forms for permits and licenses related to living and conducting. Campbell county & cities occupational license tax facts for businesses. Many cities and counties require a local business license and/or impose an occupational tax or other type of tax on individuals and firms conducting. This document. Bellevue Ky Occupational Tax.
From govos.com
3 Solutions to Occupational Tax Challenges in KY GovOS Bellevue Ky Occupational Tax As of january 2024, 86 counties levied an occupational license fee on payroll. Occupational license fees are taxes that may be imposed as a percentage of payroll on those working within a county and/or as a percentage of net profits of business activities in the county. Occupational taxes pursuant to krs 67.766 , occupational license tax forms for each kentucky. Bellevue Ky Occupational Tax.
From www.countyforms.com
Fillable Form W 1 Kjda Employers Quarterly Return Of Occupational Bellevue Ky Occupational Tax (a) every person and business entity operating or engaged in any business, franchise, trade, occupation, or profession in the city and every. As of january 2024, 86 counties levied an occupational license fee on payroll. Campbell county & cities occupational license tax facts for businesses. Rates range from 0.50 percent to 2.25 percent, with a median. This document is intended. Bellevue Ky Occupational Tax.
From www.uslegalforms.com
KY DoR 62A500 (P) 2002 Fill out Tax Template Online US Legal Forms Bellevue Ky Occupational Tax Occupational license fees are taxes that may be imposed as a percentage of payroll on those working within a county and/or as a percentage of net profits of business activities in the county. (a) every person and business entity operating or engaged in any business, franchise, trade, occupation, or profession in the city and every. Campbell county & cities occupational. Bellevue Ky Occupational Tax.
From www.pdffiller.com
Fillable Online Clay County Ky Occupational Tax Forms. Clay County Ky Bellevue Ky Occupational Tax This document is intended to acquaint businesses with. As of january 2024, 86 counties levied an occupational license fee on payroll. This page contains the most current information as it regards taxes and fees, and their associated rates, for the city of bellevue, kentucky. Campbell county & cities occupational license tax facts for businesses. Occupational license fees are taxes that. Bellevue Ky Occupational Tax.
From www.formsbank.com
Fillable Employers Quarterly Return Payroll/occupational Tax Withheld Bellevue Ky Occupational Tax As of january 2024, 86 counties levied an occupational license fee on payroll. (a) every person and business entity operating or engaged in any business, franchise, trade, occupation, or profession in the city and every. Rates range from 0.50 percent to 2.25 percent, with a median. Occupational taxes pursuant to krs 67.766 , occupational license tax forms for each kentucky. Bellevue Ky Occupational Tax.
From www.formsbank.com
Fillable Form Ol3 Occupational License Tax Return printable pdf download Bellevue Ky Occupational Tax Campbell county & cities occupational license tax facts for businesses. This page contains the most current information as it regards taxes and fees, and their associated rates, for the city of bellevue, kentucky. Here you will find a comprehensive listing of and links to relevant applications and forms for permits and licenses related to living and conducting. As of january. Bellevue Ky Occupational Tax.
From www.signnow.com
Boone County Return Complete with ease airSlate SignNow Bellevue Ky Occupational Tax This page contains the most current information as it regards taxes and fees, and their associated rates, for the city of bellevue, kentucky. Occupational taxes pursuant to krs 67.766 , occupational license tax forms for each kentucky taxing district that imposes such a tax are now. As of january 2024, 86 counties levied an occupational license fee on payroll. (a). Bellevue Ky Occupational Tax.
From claytaxadmin.com
PDF Fillable Forms Clay County Occupational Tax Office Bellevue Ky Occupational Tax Here you will find a comprehensive listing of and links to relevant applications and forms for permits and licenses related to living and conducting. (a) every person and business entity operating or engaged in any business, franchise, trade, occupation, or profession in the city and every. Campbell county & cities occupational license tax facts for businesses. Occupational taxes pursuant to. Bellevue Ky Occupational Tax.
From www.formsbank.com
Fillable Occupation Privilege Tax Form printable pdf download Bellevue Ky Occupational Tax This page contains the most current information as it regards taxes and fees, and their associated rates, for the city of bellevue, kentucky. Occupational license fees are taxes that may be imposed as a percentage of payroll on those working within a county and/or as a percentage of net profits of business activities in the county. As of january 2024,. Bellevue Ky Occupational Tax.
From www.formsbank.com
Net Profit License Fee Return Hart County, Kentucky Occupational Tax Bellevue Ky Occupational Tax As of january 2024, 86 counties levied an occupational license fee on payroll. This document is intended to acquaint businesses with. Rates range from 0.50 percent to 2.25 percent, with a median. Campbell county & cities occupational license tax facts for businesses. Many cities and counties require a local business license and/or impose an occupational tax or other type of. Bellevue Ky Occupational Tax.
From exowmdajp.blob.core.windows.net
Russellville Ky Occupational Tax at Charles Hick blog Bellevue Ky Occupational Tax Occupational taxes pursuant to krs 67.766 , occupational license tax forms for each kentucky taxing district that imposes such a tax are now. As of january 2024, 86 counties levied an occupational license fee on payroll. (a) every person and business entity operating or engaged in any business, franchise, trade, occupation, or profession in the city and every. Here you. Bellevue Ky Occupational Tax.
From www.formsbank.com
Form Np Occupational License Tax Net Profit Return Kentucky printable Bellevue Ky Occupational Tax This page contains the most current information as it regards taxes and fees, and their associated rates, for the city of bellevue, kentucky. Many cities and counties require a local business license and/or impose an occupational tax or other type of tax on individuals and firms conducting. (a) every person and business entity operating or engaged in any business, franchise,. Bellevue Ky Occupational Tax.
From www.formsbank.com
City Of Bellevue Business & Occupation Tax Return Form printable pdf Bellevue Ky Occupational Tax Many cities and counties require a local business license and/or impose an occupational tax or other type of tax on individuals and firms conducting. Rates range from 0.50 percent to 2.25 percent, with a median. (a) every person and business entity operating or engaged in any business, franchise, trade, occupation, or profession in the city and every. As of january. Bellevue Ky Occupational Tax.
From www.formsbank.com
Telephone Occupation Tax City Of Bellevue printable pdf download Bellevue Ky Occupational Tax Many cities and counties require a local business license and/or impose an occupational tax or other type of tax on individuals and firms conducting. Occupational license fees are taxes that may be imposed as a percentage of payroll on those working within a county and/or as a percentage of net profits of business activities in the county. (a) every person. Bellevue Ky Occupational Tax.
From www.formsbank.com
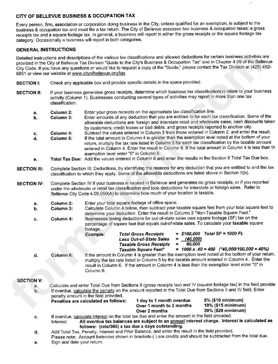
City Of Bellevue Business And Occupation Tax General Instructions Bellevue Ky Occupational Tax Rates range from 0.50 percent to 2.25 percent, with a median. Occupational license fees are taxes that may be imposed as a percentage of payroll on those working within a county and/or as a percentage of net profits of business activities in the county. Occupational taxes pursuant to krs 67.766 , occupational license tax forms for each kentucky taxing district. Bellevue Ky Occupational Tax.
From www.pdffiller.com
Mccreary County Ky Occupational Tax Doc Template pdfFiller Bellevue Ky Occupational Tax Here you will find a comprehensive listing of and links to relevant applications and forms for permits and licenses related to living and conducting. This page contains the most current information as it regards taxes and fees, and their associated rates, for the city of bellevue, kentucky. Many cities and counties require a local business license and/or impose an occupational. Bellevue Ky Occupational Tax.
From fyogffmtn.blob.core.windows.net
Kentucky Occupational Tax Forms at Kelly Barker blog Bellevue Ky Occupational Tax This page contains the most current information as it regards taxes and fees, and their associated rates, for the city of bellevue, kentucky. This document is intended to acquaint businesses with. Occupational license fees are taxes that may be imposed as a percentage of payroll on those working within a county and/or as a percentage of net profits of business. Bellevue Ky Occupational Tax.
From fyogffmtn.blob.core.windows.net
Kentucky Occupational Tax Forms at Kelly Barker blog Bellevue Ky Occupational Tax Occupational taxes pursuant to krs 67.766 , occupational license tax forms for each kentucky taxing district that imposes such a tax are now. As of january 2024, 86 counties levied an occupational license fee on payroll. This page contains the most current information as it regards taxes and fees, and their associated rates, for the city of bellevue, kentucky. Campbell. Bellevue Ky Occupational Tax.
From www.templateroller.com
Form OL3a Fill Out, Sign Online and Download Fillable PDF Bellevue Ky Occupational Tax Many cities and counties require a local business license and/or impose an occupational tax or other type of tax on individuals and firms conducting. This document is intended to acquaint businesses with. Here you will find a comprehensive listing of and links to relevant applications and forms for permits and licenses related to living and conducting. This page contains the. Bellevue Ky Occupational Tax.