Kuramoto Oscillators . The hypothesis, that cortical dynamics operates near criticality also suggests, that it exhibits universal critical exponents which marks the kuramoto equation, a fundamental model for. If the coupling is strong enough, the system will evolve to one with all oscillators in phase. Despite their simplicity, they have. A successful approach to the problem of synchronization consists of modeling each member of the population as a phase oscillator. The kuramoto model is a nonlinear dynamic system of coupled oscillators that initially have random natural frequencies and phases.
from www.researchgate.net
A successful approach to the problem of synchronization consists of modeling each member of the population as a phase oscillator. The hypothesis, that cortical dynamics operates near criticality also suggests, that it exhibits universal critical exponents which marks the kuramoto equation, a fundamental model for. If the coupling is strong enough, the system will evolve to one with all oscillators in phase. The kuramoto model is a nonlinear dynamic system of coupled oscillators that initially have random natural frequencies and phases. Despite their simplicity, they have.
For the network of 9 Kuramoto oscillators shown in Fig. 1ad illustrate
Kuramoto Oscillators Despite their simplicity, they have. Despite their simplicity, they have. The hypothesis, that cortical dynamics operates near criticality also suggests, that it exhibits universal critical exponents which marks the kuramoto equation, a fundamental model for. A successful approach to the problem of synchronization consists of modeling each member of the population as a phase oscillator. The kuramoto model is a nonlinear dynamic system of coupled oscillators that initially have random natural frequencies and phases. If the coupling is strong enough, the system will evolve to one with all oscillators in phase.
From www.researchgate.net
Phase portrait of a system of Kuramoto oscillators on a onedimensional Kuramoto Oscillators The kuramoto model is a nonlinear dynamic system of coupled oscillators that initially have random natural frequencies and phases. Despite their simplicity, they have. If the coupling is strong enough, the system will evolve to one with all oscillators in phase. The hypothesis, that cortical dynamics operates near criticality also suggests, that it exhibits universal critical exponents which marks the. Kuramoto Oscillators.
From www.semanticscholar.org
Figure 6 from The Kuramoto model of coupled oscillators with a bi Kuramoto Oscillators If the coupling is strong enough, the system will evolve to one with all oscillators in phase. The hypothesis, that cortical dynamics operates near criticality also suggests, that it exhibits universal critical exponents which marks the kuramoto equation, a fundamental model for. A successful approach to the problem of synchronization consists of modeling each member of the population as a. Kuramoto Oscillators.
From www.youtube.com
Coupled Oscillators The Kuramoto Model YouTube Kuramoto Oscillators The kuramoto model is a nonlinear dynamic system of coupled oscillators that initially have random natural frequencies and phases. A successful approach to the problem of synchronization consists of modeling each member of the population as a phase oscillator. The hypothesis, that cortical dynamics operates near criticality also suggests, that it exhibits universal critical exponents which marks the kuramoto equation,. Kuramoto Oscillators.
From www.researchgate.net
Kuramoto model (a) schematic of two oscillators, the dynamics of which Kuramoto Oscillators A successful approach to the problem of synchronization consists of modeling each member of the population as a phase oscillator. The kuramoto model is a nonlinear dynamic system of coupled oscillators that initially have random natural frequencies and phases. Despite their simplicity, they have. The hypothesis, that cortical dynamics operates near criticality also suggests, that it exhibits universal critical exponents. Kuramoto Oscillators.
From www.researchgate.net
Control of networked secondorder Kuramoto oscillators. (a) frequency Kuramoto Oscillators The hypothesis, that cortical dynamics operates near criticality also suggests, that it exhibits universal critical exponents which marks the kuramoto equation, a fundamental model for. Despite their simplicity, they have. If the coupling is strong enough, the system will evolve to one with all oscillators in phase. A successful approach to the problem of synchronization consists of modeling each member. Kuramoto Oscillators.
From www.researchgate.net
The Kuramoto order parameters of the phase oscillators governed by the Kuramoto Oscillators The kuramoto model is a nonlinear dynamic system of coupled oscillators that initially have random natural frequencies and phases. If the coupling is strong enough, the system will evolve to one with all oscillators in phase. A successful approach to the problem of synchronization consists of modeling each member of the population as a phase oscillator. The hypothesis, that cortical. Kuramoto Oscillators.
From www.researchgate.net
Kuramoto model (a)(d) synchronization maps of the fouroscillator Kuramoto Oscillators If the coupling is strong enough, the system will evolve to one with all oscillators in phase. The kuramoto model is a nonlinear dynamic system of coupled oscillators that initially have random natural frequencies and phases. The hypothesis, that cortical dynamics operates near criticality also suggests, that it exhibits universal critical exponents which marks the kuramoto equation, a fundamental model. Kuramoto Oscillators.
From www.researchgate.net
For the network of 9 Kuramoto oscillators shown in Fig. 1ad illustrate Kuramoto Oscillators A successful approach to the problem of synchronization consists of modeling each member of the population as a phase oscillator. The hypothesis, that cortical dynamics operates near criticality also suggests, that it exhibits universal critical exponents which marks the kuramoto equation, a fundamental model for. If the coupling is strong enough, the system will evolve to one with all oscillators. Kuramoto Oscillators.
From www.researchgate.net
The Kuramoto model for oscillator mutual entrainment. (a) Phase of the Kuramoto Oscillators A successful approach to the problem of synchronization consists of modeling each member of the population as a phase oscillator. Despite their simplicity, they have. If the coupling is strong enough, the system will evolve to one with all oscillators in phase. The hypothesis, that cortical dynamics operates near criticality also suggests, that it exhibits universal critical exponents which marks. Kuramoto Oscillators.
From www.youtube.com
Simulation of 200 Kuramoto phase oscillators with two different Kuramoto Oscillators The hypothesis, that cortical dynamics operates near criticality also suggests, that it exhibits universal critical exponents which marks the kuramoto equation, a fundamental model for. A successful approach to the problem of synchronization consists of modeling each member of the population as a phase oscillator. Despite their simplicity, they have. The kuramoto model is a nonlinear dynamic system of coupled. Kuramoto Oscillators.
From www.researchgate.net
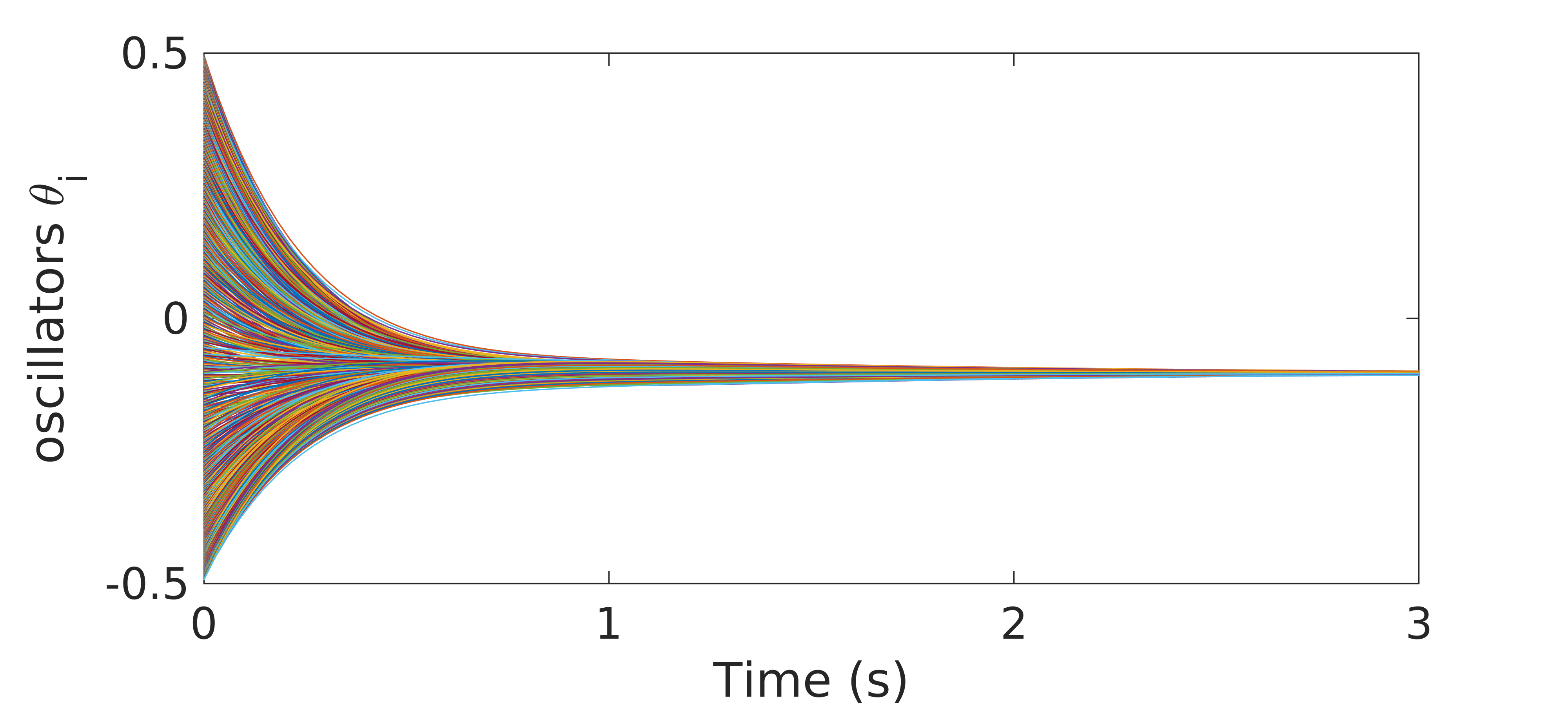
(a) Dynamics of the 500 coupled Kuramoto oscillators in (5) without and Kuramoto Oscillators Despite their simplicity, they have. If the coupling is strong enough, the system will evolve to one with all oscillators in phase. The hypothesis, that cortical dynamics operates near criticality also suggests, that it exhibits universal critical exponents which marks the kuramoto equation, a fundamental model for. The kuramoto model is a nonlinear dynamic system of coupled oscillators that initially. Kuramoto Oscillators.
From www.researchgate.net
Control of secondorder Kuramoto oscillators coupled onto a power grid Kuramoto Oscillators If the coupling is strong enough, the system will evolve to one with all oscillators in phase. The hypothesis, that cortical dynamics operates near criticality also suggests, that it exhibits universal critical exponents which marks the kuramoto equation, a fundamental model for. The kuramoto model is a nonlinear dynamic system of coupled oscillators that initially have random natural frequencies and. Kuramoto Oscillators.
From www.researchgate.net
Model under study. (a) Illustration of a conventional Kuramoto model Kuramoto Oscillators Despite their simplicity, they have. The hypothesis, that cortical dynamics operates near criticality also suggests, that it exhibits universal critical exponents which marks the kuramoto equation, a fundamental model for. The kuramoto model is a nonlinear dynamic system of coupled oscillators that initially have random natural frequencies and phases. If the coupling is strong enough, the system will evolve to. Kuramoto Oscillators.
From www.researchgate.net
For the Kuramoto model of oscillators, Eq. (17), the figure shows the Kuramoto Oscillators A successful approach to the problem of synchronization consists of modeling each member of the population as a phase oscillator. If the coupling is strong enough, the system will evolve to one with all oscillators in phase. The hypothesis, that cortical dynamics operates near criticality also suggests, that it exhibits universal critical exponents which marks the kuramoto equation, a fundamental. Kuramoto Oscillators.
From deustotech.github.io
Synchronized Oscillators DyCon Blog Kuramoto Oscillators The hypothesis, that cortical dynamics operates near criticality also suggests, that it exhibits universal critical exponents which marks the kuramoto equation, a fundamental model for. If the coupling is strong enough, the system will evolve to one with all oscillators in phase. The kuramoto model is a nonlinear dynamic system of coupled oscillators that initially have random natural frequencies and. Kuramoto Oscillators.
From www.semanticscholar.org
Figure 1 from Stability Conditions for Cluster Synchronization in Kuramoto Oscillators A successful approach to the problem of synchronization consists of modeling each member of the population as a phase oscillator. The kuramoto model is a nonlinear dynamic system of coupled oscillators that initially have random natural frequencies and phases. Despite their simplicity, they have. If the coupling is strong enough, the system will evolve to one with all oscillators in. Kuramoto Oscillators.
From www.researchgate.net
Kuramoto model (a) schematic of two oscillators, the dynamics of which Kuramoto Oscillators The hypothesis, that cortical dynamics operates near criticality also suggests, that it exhibits universal critical exponents which marks the kuramoto equation, a fundamental model for. The kuramoto model is a nonlinear dynamic system of coupled oscillators that initially have random natural frequencies and phases. If the coupling is strong enough, the system will evolve to one with all oscillators in. Kuramoto Oscillators.
From www.researchgate.net
Kuramoto model for coupled oscillators vs the exciton model. (a) The Kuramoto Oscillators The hypothesis, that cortical dynamics operates near criticality also suggests, that it exhibits universal critical exponents which marks the kuramoto equation, a fundamental model for. A successful approach to the problem of synchronization consists of modeling each member of the population as a phase oscillator. If the coupling is strong enough, the system will evolve to one with all oscillators. Kuramoto Oscillators.
From www.researchgate.net
A network of 9 Kuramoto oscillators to illustrate the graphtheoretic Kuramoto Oscillators If the coupling is strong enough, the system will evolve to one with all oscillators in phase. The hypothesis, that cortical dynamics operates near criticality also suggests, that it exhibits universal critical exponents which marks the kuramoto equation, a fundamental model for. Despite their simplicity, they have. The kuramoto model is a nonlinear dynamic system of coupled oscillators that initially. Kuramoto Oscillators.
From www.slideserve.com
PPT DESYNCHRONIZATION OF SYSTEMS OF HINDMARSHROSE OSCILLATORS BY Kuramoto Oscillators The kuramoto model is a nonlinear dynamic system of coupled oscillators that initially have random natural frequencies and phases. A successful approach to the problem of synchronization consists of modeling each member of the population as a phase oscillator. The hypothesis, that cortical dynamics operates near criticality also suggests, that it exhibits universal critical exponents which marks the kuramoto equation,. Kuramoto Oscillators.
From www.researchgate.net
(a) The FTFSS of Q for the Kuramoto oscillators in the WS network at Kuramoto Oscillators The kuramoto model is a nonlinear dynamic system of coupled oscillators that initially have random natural frequencies and phases. If the coupling is strong enough, the system will evolve to one with all oscillators in phase. Despite their simplicity, they have. The hypothesis, that cortical dynamics operates near criticality also suggests, that it exhibits universal critical exponents which marks the. Kuramoto Oscillators.
From amoghpj.github.io
A script to study Kuramoto Oscillators Kuramoto Oscillators If the coupling is strong enough, the system will evolve to one with all oscillators in phase. The kuramoto model is a nonlinear dynamic system of coupled oscillators that initially have random natural frequencies and phases. A successful approach to the problem of synchronization consists of modeling each member of the population as a phase oscillator. The hypothesis, that cortical. Kuramoto Oscillators.
From www.researchgate.net
Synchronisation using the Kuramoto model. Increasing coupled Kuramoto Oscillators Despite their simplicity, they have. A successful approach to the problem of synchronization consists of modeling each member of the population as a phase oscillator. If the coupling is strong enough, the system will evolve to one with all oscillators in phase. The kuramoto model is a nonlinear dynamic system of coupled oscillators that initially have random natural frequencies and. Kuramoto Oscillators.
From www.researchgate.net
Simulations of Kuramoto's coupled oscillators in smallworld Kuramoto Oscillators The kuramoto model is a nonlinear dynamic system of coupled oscillators that initially have random natural frequencies and phases. The hypothesis, that cortical dynamics operates near criticality also suggests, that it exhibits universal critical exponents which marks the kuramoto equation, a fundamental model for. A successful approach to the problem of synchronization consists of modeling each member of the population. Kuramoto Oscillators.
From www.researchgate.net
4 Kuramoto phase oscillator simulations. A simple twooscillator Kuramoto Oscillators The kuramoto model is a nonlinear dynamic system of coupled oscillators that initially have random natural frequencies and phases. A successful approach to the problem of synchronization consists of modeling each member of the population as a phase oscillator. Despite their simplicity, they have. If the coupling is strong enough, the system will evolve to one with all oscillators in. Kuramoto Oscillators.
From www.youtube.com
Talk Synchronization of adaptive networks of SakaguchiKuramoto Kuramoto Oscillators The hypothesis, that cortical dynamics operates near criticality also suggests, that it exhibits universal critical exponents which marks the kuramoto equation, a fundamental model for. The kuramoto model is a nonlinear dynamic system of coupled oscillators that initially have random natural frequencies and phases. Despite their simplicity, they have. A successful approach to the problem of synchronization consists of modeling. Kuramoto Oscillators.
From www.researchgate.net
8 Two coupled kuramoto oscillators at different natural frequencies Kuramoto Oscillators The hypothesis, that cortical dynamics operates near criticality also suggests, that it exhibits universal critical exponents which marks the kuramoto equation, a fundamental model for. If the coupling is strong enough, the system will evolve to one with all oscillators in phase. A successful approach to the problem of synchronization consists of modeling each member of the population as a. Kuramoto Oscillators.
From www.researchgate.net
(a) Chain graph of N = 7 Kuramoto oscillators whose central node is Kuramoto Oscillators A successful approach to the problem of synchronization consists of modeling each member of the population as a phase oscillator. The kuramoto model is a nonlinear dynamic system of coupled oscillators that initially have random natural frequencies and phases. If the coupling is strong enough, the system will evolve to one with all oscillators in phase. The hypothesis, that cortical. Kuramoto Oscillators.
From www.researchgate.net
The typical dimension of dynamics for systems of coupled Kuramoto and Kuramoto Oscillators The kuramoto model is a nonlinear dynamic system of coupled oscillators that initially have random natural frequencies and phases. Despite their simplicity, they have. A successful approach to the problem of synchronization consists of modeling each member of the population as a phase oscillator. The hypothesis, that cortical dynamics operates near criticality also suggests, that it exhibits universal critical exponents. Kuramoto Oscillators.
From www.researchgate.net
Trajectories of x and ψ for a group of Kuramoto oscillators [Kuramoto Kuramoto Oscillators The hypothesis, that cortical dynamics operates near criticality also suggests, that it exhibits universal critical exponents which marks the kuramoto equation, a fundamental model for. If the coupling is strong enough, the system will evolve to one with all oscillators in phase. The kuramoto model is a nonlinear dynamic system of coupled oscillators that initially have random natural frequencies and. Kuramoto Oscillators.
From deustotech.github.io
Synchronized Oscillators DyCon Blog Kuramoto Oscillators A successful approach to the problem of synchronization consists of modeling each member of the population as a phase oscillator. The hypothesis, that cortical dynamics operates near criticality also suggests, that it exhibits universal critical exponents which marks the kuramoto equation, a fundamental model for. Despite their simplicity, they have. If the coupling is strong enough, the system will evolve. Kuramoto Oscillators.
From www.researchgate.net
Dynamics of the 500 coupled Kuramoto oscillators (a) and their order Kuramoto Oscillators If the coupling is strong enough, the system will evolve to one with all oscillators in phase. Despite their simplicity, they have. The hypothesis, that cortical dynamics operates near criticality also suggests, that it exhibits universal critical exponents which marks the kuramoto equation, a fundamental model for. A successful approach to the problem of synchronization consists of modeling each member. Kuramoto Oscillators.
From www.researchgate.net
Datadriven control of synchronized patterns in a ring of Kuramoto Kuramoto Oscillators A successful approach to the problem of synchronization consists of modeling each member of the population as a phase oscillator. Despite their simplicity, they have. The kuramoto model is a nonlinear dynamic system of coupled oscillators that initially have random natural frequencies and phases. The hypothesis, that cortical dynamics operates near criticality also suggests, that it exhibits universal critical exponents. Kuramoto Oscillators.
From www.researchgate.net
Hyperedge Identification in a Network of Kuramoto Oscillators. (A Kuramoto Oscillators If the coupling is strong enough, the system will evolve to one with all oscillators in phase. Despite their simplicity, they have. A successful approach to the problem of synchronization consists of modeling each member of the population as a phase oscillator. The hypothesis, that cortical dynamics operates near criticality also suggests, that it exhibits universal critical exponents which marks. Kuramoto Oscillators.
From www.frontiersin.org
Frontiers Generative Models of Cortical Oscillations Neurobiological Kuramoto Oscillators A successful approach to the problem of synchronization consists of modeling each member of the population as a phase oscillator. Despite their simplicity, they have. The hypothesis, that cortical dynamics operates near criticality also suggests, that it exhibits universal critical exponents which marks the kuramoto equation, a fundamental model for. If the coupling is strong enough, the system will evolve. Kuramoto Oscillators.