Primera Comunion Examen . Preguntas para la primera comunión. Las preguntas cubren temas como la creación, dios, jesús, la virgen maría, los sacramentos como el bautismo y la eucaristía, el pecado, la confesión, el cielo. Contiene preguntas sobre la creación de dios, el amor de dios mostrado a través de jesús, la misión de jesús en la. A) 66 libros b) 73 libros c) 74 libros 2) en la eucaristía, los elementos esenciales son a) sacerdote y las ofrendas b) pan y las colectas c) pan y vino 3) seleccione los 7 sacramentos de la iglesia católica. Evaluacion de primera comunion página 1 de 4 nombre: ¡encuentra otros cuestionarios por other y más en quizizz gratis! Religión católica (1061909) main content: Click on the blue handbook for first communion to study all these topics. Este documento es una guía de examen para la primera comunión. Prueba de examen final de catequesis de primera comunión para 3rd grade estudiantes. Un sacramento es un signo visible hecho por cristo para dar gracia. Our father, hail mary, and glory be, the 10 commandments, the 7 sacraments, and the questions on pages 11 & 12 of the catechism for first communion. Primera comunión (2084362) from worksheet author:
from es.scribd.com
Contiene preguntas sobre la creación de dios, el amor de dios mostrado a través de jesús, la misión de jesús en la. Las preguntas cubren temas como la creación, dios, jesús, la virgen maría, los sacramentos como el bautismo y la eucaristía, el pecado, la confesión, el cielo. Un sacramento es un signo visible hecho por cristo para dar gracia. Este documento es una guía de examen para la primera comunión. Prueba de examen final de catequesis de primera comunión para 3rd grade estudiantes. A) 66 libros b) 73 libros c) 74 libros 2) en la eucaristía, los elementos esenciales son a) sacerdote y las ofrendas b) pan y las colectas c) pan y vino 3) seleccione los 7 sacramentos de la iglesia católica. Click on the blue handbook for first communion to study all these topics. ¡encuentra otros cuestionarios por other y más en quizizz gratis! Our father, hail mary, and glory be, the 10 commandments, the 7 sacraments, and the questions on pages 11 & 12 of the catechism for first communion. Religión católica (1061909) main content:
Examen Primera Comunión PDF
Primera Comunion Examen Religión católica (1061909) main content: A) 66 libros b) 73 libros c) 74 libros 2) en la eucaristía, los elementos esenciales son a) sacerdote y las ofrendas b) pan y las colectas c) pan y vino 3) seleccione los 7 sacramentos de la iglesia católica. Religión católica (1061909) main content: Contiene preguntas sobre la creación de dios, el amor de dios mostrado a través de jesús, la misión de jesús en la. Este documento es una guía de examen para la primera comunión. Preguntas para la primera comunión. Un sacramento es un signo visible hecho por cristo para dar gracia. Prueba de examen final de catequesis de primera comunión para 3rd grade estudiantes. Las preguntas cubren temas como la creación, dios, jesús, la virgen maría, los sacramentos como el bautismo y la eucaristía, el pecado, la confesión, el cielo. Click on the blue handbook for first communion to study all these topics. ¡encuentra otros cuestionarios por other y más en quizizz gratis! Our father, hail mary, and glory be, the 10 commandments, the 7 sacraments, and the questions on pages 11 & 12 of the catechism for first communion. Evaluacion de primera comunion página 1 de 4 nombre: Primera comunión (2084362) from worksheet author:
From www.docsity.com
Evaluacion Primera Comunion Exámenes de Religión Docsity Primera Comunion Examen Este documento es una guía de examen para la primera comunión. Las preguntas cubren temas como la creación, dios, jesús, la virgen maría, los sacramentos como el bautismo y la eucaristía, el pecado, la confesión, el cielo. Un sacramento es un signo visible hecho por cristo para dar gracia. Click on the blue handbook for first communion to study all. Primera Comunion Examen.
From vdocuments.mx
Examen de primera comunión [PDF Document] Primera Comunion Examen Un sacramento es un signo visible hecho por cristo para dar gracia. Primera comunión (2084362) from worksheet author: Click on the blue handbook for first communion to study all these topics. Evaluacion de primera comunion página 1 de 4 nombre: Las preguntas cubren temas como la creación, dios, jesús, la virgen maría, los sacramentos como el bautismo y la eucaristía,. Primera Comunion Examen.
From es.scribd.com
Examen de Primera Comunion Imprimir PDF eucaristía Misa (liturgia) Primera Comunion Examen Evaluacion de primera comunion página 1 de 4 nombre: Religión católica (1061909) main content: Contiene preguntas sobre la creación de dios, el amor de dios mostrado a través de jesús, la misión de jesús en la. Preguntas para la primera comunión. Our father, hail mary, and glory be, the 10 commandments, the 7 sacraments, and the questions on pages 11. Primera Comunion Examen.
From benbird4.blogspot.com
Examen De Conciencia Para Niños De Primera Comunion La Confesión Me Primera Comunion Examen Un sacramento es un signo visible hecho por cristo para dar gracia. Preguntas para la primera comunión. Este documento es una guía de examen para la primera comunión. Click on the blue handbook for first communion to study all these topics. ¡encuentra otros cuestionarios por other y más en quizizz gratis! Primera comunión (2084362) from worksheet author: Religión católica (1061909). Primera Comunion Examen.
From doncomo.com
Guía completa para la Primera Comunión del niño ¡Descubre todo sobre Primera Comunion Examen Contiene preguntas sobre la creación de dios, el amor de dios mostrado a través de jesús, la misión de jesús en la. Preguntas para la primera comunión. Click on the blue handbook for first communion to study all these topics. Evaluacion de primera comunion página 1 de 4 nombre: Prueba de examen final de catequesis de primera comunión para 3rd. Primera Comunion Examen.
From es.scribd.com
Catequesis Primera Comunion Primera Comunion Examen ¡encuentra otros cuestionarios por other y más en quizizz gratis! Our father, hail mary, and glory be, the 10 commandments, the 7 sacraments, and the questions on pages 11 & 12 of the catechism for first communion. Contiene preguntas sobre la creación de dios, el amor de dios mostrado a través de jesús, la misión de jesús en la. Click. Primera Comunion Examen.
From es.scribd.com
Preguntas Examen Primera Comunión PDF eucaristía Misa (liturgia) Primera Comunion Examen Preguntas para la primera comunión. Contiene preguntas sobre la creación de dios, el amor de dios mostrado a través de jesús, la misión de jesús en la. Un sacramento es un signo visible hecho por cristo para dar gracia. A) 66 libros b) 73 libros c) 74 libros 2) en la eucaristía, los elementos esenciales son a) sacerdote y las. Primera Comunion Examen.
From www.scribd.com
Examen de Primera Comunión PDF eucaristía Penitencia Primera Comunion Examen ¡encuentra otros cuestionarios por other y más en quizizz gratis! Contiene preguntas sobre la creación de dios, el amor de dios mostrado a través de jesús, la misión de jesús en la. Las preguntas cubren temas como la creación, dios, jesús, la virgen maría, los sacramentos como el bautismo y la eucaristía, el pecado, la confesión, el cielo. Our father,. Primera Comunion Examen.
From es.scribd.com
Examen Final de Catequesis de Primera Comunión PDF eucaristía Primera Comunion Examen Las preguntas cubren temas como la creación, dios, jesús, la virgen maría, los sacramentos como el bautismo y la eucaristía, el pecado, la confesión, el cielo. Contiene preguntas sobre la creación de dios, el amor de dios mostrado a través de jesús, la misión de jesús en la. Un sacramento es un signo visible hecho por cristo para dar gracia.. Primera Comunion Examen.
From mavink.com
Examen Para Ninos De Primera Comunion Primera Comunion Examen Click on the blue handbook for first communion to study all these topics. Preguntas para la primera comunión. Religión católica (1061909) main content: Prueba de examen final de catequesis de primera comunión para 3rd grade estudiantes. Primera comunión (2084362) from worksheet author: Our father, hail mary, and glory be, the 10 commandments, the 7 sacraments, and the questions on pages. Primera Comunion Examen.
From es.scribd.com
Examen Primera Comunión PDF Primera Comunion Examen Preguntas para la primera comunión. Primera comunión (2084362) from worksheet author: Click on the blue handbook for first communion to study all these topics. Un sacramento es un signo visible hecho por cristo para dar gracia. A) 66 libros b) 73 libros c) 74 libros 2) en la eucaristía, los elementos esenciales son a) sacerdote y las ofrendas b) pan. Primera Comunion Examen.
From www.scribd.com
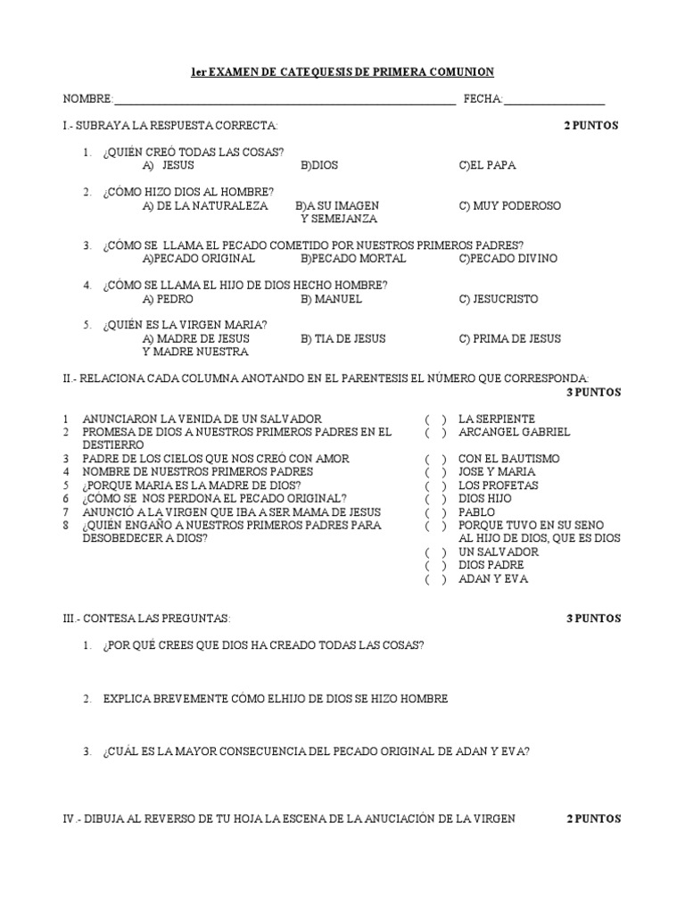
1er Examen de Catequesis de Primera Comunion PDF Primera Comunion Examen Contiene preguntas sobre la creación de dios, el amor de dios mostrado a través de jesús, la misión de jesús en la. Our father, hail mary, and glory be, the 10 commandments, the 7 sacraments, and the questions on pages 11 & 12 of the catechism for first communion. Evaluacion de primera comunion página 1 de 4 nombre: A) 66. Primera Comunion Examen.
From es.scribd.com
Examen Primera Comunion Iniciación PDF Primera Comunion Examen Prueba de examen final de catequesis de primera comunión para 3rd grade estudiantes. Evaluacion de primera comunion página 1 de 4 nombre: Este documento es una guía de examen para la primera comunión. Las preguntas cubren temas como la creación, dios, jesús, la virgen maría, los sacramentos como el bautismo y la eucaristía, el pecado, la confesión, el cielo. Contiene. Primera Comunion Examen.
From es.scribd.com
Examen para Niños de Primera Comunión PDF Jesús Sacramentos Primera Comunion Examen Click on the blue handbook for first communion to study all these topics. Contiene preguntas sobre la creación de dios, el amor de dios mostrado a través de jesús, la misión de jesús en la. Prueba de examen final de catequesis de primera comunión para 3rd grade estudiantes. Las preguntas cubren temas como la creación, dios, jesús, la virgen maría,. Primera Comunion Examen.
From www.scribd.com
Examen de Catequesis de Primera Comunión PDF Primera Comunion Examen Preguntas para la primera comunión. Un sacramento es un signo visible hecho por cristo para dar gracia. Our father, hail mary, and glory be, the 10 commandments, the 7 sacraments, and the questions on pages 11 & 12 of the catechism for first communion. Las preguntas cubren temas como la creación, dios, jesús, la virgen maría, los sacramentos como el. Primera Comunion Examen.
From es.scribd.com
Examen para Primera Comunión PDF Primera Comunion Examen Our father, hail mary, and glory be, the 10 commandments, the 7 sacraments, and the questions on pages 11 & 12 of the catechism for first communion. Contiene preguntas sobre la creación de dios, el amor de dios mostrado a través de jesús, la misión de jesús en la. Religión católica (1061909) main content: Prueba de examen final de catequesis. Primera Comunion Examen.
From es.scribd.com
Examen Final de Primera Comunion PDF Confirmación eucaristía Primera Comunion Examen Religión católica (1061909) main content: Las preguntas cubren temas como la creación, dios, jesús, la virgen maría, los sacramentos como el bautismo y la eucaristía, el pecado, la confesión, el cielo. Prueba de examen final de catequesis de primera comunión para 3rd grade estudiantes. Our father, hail mary, and glory be, the 10 commandments, the 7 sacraments, and the questions. Primera Comunion Examen.
From www.studocu.com
Guia Examen Final Comunion Sacramento GUIA para el PRIMERA Examen Primera Comunion Examen A) 66 libros b) 73 libros c) 74 libros 2) en la eucaristía, los elementos esenciales son a) sacerdote y las ofrendas b) pan y las colectas c) pan y vino 3) seleccione los 7 sacramentos de la iglesia católica. Evaluacion de primera comunion página 1 de 4 nombre: Our father, hail mary, and glory be, the 10 commandments, the. Primera Comunion Examen.
From mavink.com
Examen Para Ninos De Primera Comunion Primera Comunion Examen Click on the blue handbook for first communion to study all these topics. Prueba de examen final de catequesis de primera comunión para 3rd grade estudiantes. Religión católica (1061909) main content: Contiene preguntas sobre la creación de dios, el amor de dios mostrado a través de jesús, la misión de jesús en la. ¡encuentra otros cuestionarios por other y más. Primera Comunion Examen.
From mavink.com
Examen Para Ninos De Primera Comunion Primera Comunion Examen Un sacramento es un signo visible hecho por cristo para dar gracia. Las preguntas cubren temas como la creación, dios, jesús, la virgen maría, los sacramentos como el bautismo y la eucaristía, el pecado, la confesión, el cielo. Este documento es una guía de examen para la primera comunión. Religión católica (1061909) main content: Preguntas para la primera comunión. Click. Primera Comunion Examen.
From es.scribd.com
Guia de Examen de Primera Comunion PDF eucaristía Sacramentos Primera Comunion Examen Contiene preguntas sobre la creación de dios, el amor de dios mostrado a través de jesús, la misión de jesús en la. Our father, hail mary, and glory be, the 10 commandments, the 7 sacraments, and the questions on pages 11 & 12 of the catechism for first communion. Este documento es una guía de examen para la primera comunión.. Primera Comunion Examen.
From es.scribd.com
Examen Primera Comunión PDF eucaristía Jesús Primera Comunion Examen Un sacramento es un signo visible hecho por cristo para dar gracia. A) 66 libros b) 73 libros c) 74 libros 2) en la eucaristía, los elementos esenciales son a) sacerdote y las ofrendas b) pan y las colectas c) pan y vino 3) seleccione los 7 sacramentos de la iglesia católica. ¡encuentra otros cuestionarios por other y más en. Primera Comunion Examen.
From www.liveworksheets.com
Examen Primera Comunión 1211 karenyulemy Live Primera Comunion Examen Primera comunión (2084362) from worksheet author: Click on the blue handbook for first communion to study all these topics. Religión católica (1061909) main content: Contiene preguntas sobre la creación de dios, el amor de dios mostrado a través de jesús, la misión de jesús en la. A) 66 libros b) 73 libros c) 74 libros 2) en la eucaristía, los. Primera Comunion Examen.
From www.scribd.com
(2) PDF Primera Comunion Examen Evaluacion de primera comunion página 1 de 4 nombre: ¡encuentra otros cuestionarios por other y más en quizizz gratis! Este documento es una guía de examen para la primera comunión. Prueba de examen final de catequesis de primera comunión para 3rd grade estudiantes. Click on the blue handbook for first communion to study all these topics. Contiene preguntas sobre la. Primera Comunion Examen.
From dokumen.tips
(Download PDF) Examen Para La Primera Comunión Primera Comunion Examen Click on the blue handbook for first communion to study all these topics. Religión católica (1061909) main content: ¡encuentra otros cuestionarios por other y más en quizizz gratis! Preguntas para la primera comunión. Evaluacion de primera comunion página 1 de 4 nombre: Las preguntas cubren temas como la creación, dios, jesús, la virgen maría, los sacramentos como el bautismo y. Primera Comunion Examen.
From es.scribd.com
Examen Para La Primera Comunión Eucaristía María, madre de Jesús Primera Comunion Examen Our father, hail mary, and glory be, the 10 commandments, the 7 sacraments, and the questions on pages 11 & 12 of the catechism for first communion. Un sacramento es un signo visible hecho por cristo para dar gracia. Religión católica (1061909) main content: Preguntas para la primera comunión. Evaluacion de primera comunion página 1 de 4 nombre: Este documento. Primera Comunion Examen.
From es.scribd.com
Primera Comunion Examen PDF eucaristía Sacramentos Primera Comunion Examen Click on the blue handbook for first communion to study all these topics. Our father, hail mary, and glory be, the 10 commandments, the 7 sacraments, and the questions on pages 11 & 12 of the catechism for first communion. ¡encuentra otros cuestionarios por other y más en quizizz gratis! Evaluacion de primera comunion página 1 de 4 nombre: Preguntas. Primera Comunion Examen.
From www.scribd.com
Preguntas para la primera comunión.docx eucaristía Misa (liturgia) Primera Comunion Examen Preguntas para la primera comunión. Click on the blue handbook for first communion to study all these topics. A) 66 libros b) 73 libros c) 74 libros 2) en la eucaristía, los elementos esenciales son a) sacerdote y las ofrendas b) pan y las colectas c) pan y vino 3) seleccione los 7 sacramentos de la iglesia católica. Contiene preguntas. Primera Comunion Examen.
From www.scribd.com
Examen Primera Comunión eucaristía Cristo (título) Primera Comunion Examen Prueba de examen final de catequesis de primera comunión para 3rd grade estudiantes. Primera comunión (2084362) from worksheet author: Preguntas para la primera comunión. Las preguntas cubren temas como la creación, dios, jesús, la virgen maría, los sacramentos como el bautismo y la eucaristía, el pecado, la confesión, el cielo. A) 66 libros b) 73 libros c) 74 libros 2). Primera Comunion Examen.
From es.scribd.com
Examen Primera Comunion PDF Primera Comunion Examen Click on the blue handbook for first communion to study all these topics. Religión católica (1061909) main content: Our father, hail mary, and glory be, the 10 commandments, the 7 sacraments, and the questions on pages 11 & 12 of the catechism for first communion. ¡encuentra otros cuestionarios por other y más en quizizz gratis! Preguntas para la primera comunión.. Primera Comunion Examen.
From es.scribd.com
Examen Primera Comunion PDF eucaristía María, madre de Jesús Primera Comunion Examen Este documento es una guía de examen para la primera comunión. Preguntas para la primera comunión. Primera comunión (2084362) from worksheet author: Our father, hail mary, and glory be, the 10 commandments, the 7 sacraments, and the questions on pages 11 & 12 of the catechism for first communion. Religión católica (1061909) main content: Contiene preguntas sobre la creación de. Primera Comunion Examen.
From www.slideshare.net
EXAMEN DE PRIMERA COMUNION.docx Primera Comunion Examen Preguntas para la primera comunión. Prueba de examen final de catequesis de primera comunión para 3rd grade estudiantes. Click on the blue handbook for first communion to study all these topics. Religión católica (1061909) main content: A) 66 libros b) 73 libros c) 74 libros 2) en la eucaristía, los elementos esenciales son a) sacerdote y las ofrendas b) pan. Primera Comunion Examen.
From es.scribd.com
Examen de primera comunión Primera Comunion Examen ¡encuentra otros cuestionarios por other y más en quizizz gratis! Prueba de examen final de catequesis de primera comunión para 3rd grade estudiantes. Las preguntas cubren temas como la creación, dios, jesús, la virgen maría, los sacramentos como el bautismo y la eucaristía, el pecado, la confesión, el cielo. Our father, hail mary, and glory be, the 10 commandments, the. Primera Comunion Examen.
From es.scribd.com
Examen de Catequesis de Primera Comunión Primer Examen PDF Primera Comunion Examen ¡encuentra otros cuestionarios por other y más en quizizz gratis! Prueba de examen final de catequesis de primera comunión para 3rd grade estudiantes. Religión católica (1061909) main content: Las preguntas cubren temas como la creación, dios, jesús, la virgen maría, los sacramentos como el bautismo y la eucaristía, el pecado, la confesión, el cielo. Este documento es una guía de. Primera Comunion Examen.
From mavink.com
Examen Para Ninos De Primera Comunion Primera Comunion Examen Click on the blue handbook for first communion to study all these topics. Religión católica (1061909) main content: Prueba de examen final de catequesis de primera comunión para 3rd grade estudiantes. Primera comunión (2084362) from worksheet author: A) 66 libros b) 73 libros c) 74 libros 2) en la eucaristía, los elementos esenciales son a) sacerdote y las ofrendas b). Primera Comunion Examen.