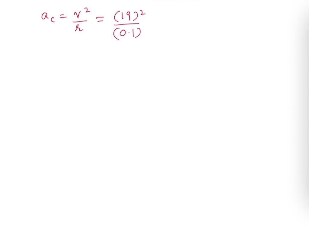
What Is The Centripetal Acceleration Of A Small Laboratory Centrifuge . It is perpendicular to the linear velocity \(v\) and. It always points toward the center of rotation. High centripetal acceleration significantly decreases the time it takes for separation to occur, and makes separation possible with. High centripetal acceleration significantly decreases the time it takes for separation to occur, and makes separation possible with small samples. The centripetal acceleration of an object moving in a uniform circular path is. High centripetal acceleration significantly decreases the time it takes for separation to occur, and makes separation possible with small samples. Centripetal acceleration \(a_c\) is the acceleration experienced while in uniform circular motion. Centrifuges are used in a variety of. A centrifuge (see the figure below, b) is a rotating device used to separate specimens of different densities. The formula for centripetal acceleration (ac) is ac = v2/r, where v is the linear velocity and r is the radius of circular motion. Centrifuges are used in a variety of.
from www.wmedicalsystems.com
Centripetal acceleration \(a_c\) is the acceleration experienced while in uniform circular motion. High centripetal acceleration significantly decreases the time it takes for separation to occur, and makes separation possible with. Centrifuges are used in a variety of. High centripetal acceleration significantly decreases the time it takes for separation to occur, and makes separation possible with small samples. It always points toward the center of rotation. The centripetal acceleration of an object moving in a uniform circular path is. A centrifuge (see the figure below, b) is a rotating device used to separate specimens of different densities. High centripetal acceleration significantly decreases the time it takes for separation to occur, and makes separation possible with small samples. It is perpendicular to the linear velocity \(v\) and. Centrifuges are used in a variety of.
Centrifuges W Medical Systems Shop
What Is The Centripetal Acceleration Of A Small Laboratory Centrifuge The centripetal acceleration of an object moving in a uniform circular path is. The formula for centripetal acceleration (ac) is ac = v2/r, where v is the linear velocity and r is the radius of circular motion. Centrifuges are used in a variety of. Centrifuges are used in a variety of. The centripetal acceleration of an object moving in a uniform circular path is. Centripetal acceleration \(a_c\) is the acceleration experienced while in uniform circular motion. It is perpendicular to the linear velocity \(v\) and. High centripetal acceleration significantly decreases the time it takes for separation to occur, and makes separation possible with small samples. High centripetal acceleration significantly decreases the time it takes for separation to occur, and makes separation possible with small samples. A centrifuge (see the figure below, b) is a rotating device used to separate specimens of different densities. It always points toward the center of rotation. High centripetal acceleration significantly decreases the time it takes for separation to occur, and makes separation possible with.
From www.vernier.com
Centripetal Acceleration > Experiment 12B from Advanced Physics with What Is The Centripetal Acceleration Of A Small Laboratory Centrifuge It is perpendicular to the linear velocity \(v\) and. Centrifuges are used in a variety of. The formula for centripetal acceleration (ac) is ac = v2/r, where v is the linear velocity and r is the radius of circular motion. It always points toward the center of rotation. Centripetal acceleration \(a_c\) is the acceleration experienced while in uniform circular motion.. What Is The Centripetal Acceleration Of A Small Laboratory Centrifuge.
From testbook.com
Centripetal Acceleration Definition, Formula, Unit, Derivation What Is The Centripetal Acceleration Of A Small Laboratory Centrifuge Centripetal acceleration \(a_c\) is the acceleration experienced while in uniform circular motion. It is perpendicular to the linear velocity \(v\) and. Centrifuges are used in a variety of. A centrifuge (see the figure below, b) is a rotating device used to separate specimens of different densities. High centripetal acceleration significantly decreases the time it takes for separation to occur, and. What Is The Centripetal Acceleration Of A Small Laboratory Centrifuge.
From www.animalia-life.club
Centripetal Acceleration Diagram What Is The Centripetal Acceleration Of A Small Laboratory Centrifuge The centripetal acceleration of an object moving in a uniform circular path is. High centripetal acceleration significantly decreases the time it takes for separation to occur, and makes separation possible with small samples. High centripetal acceleration significantly decreases the time it takes for separation to occur, and makes separation possible with small samples. A centrifuge (see the figure below, b). What Is The Centripetal Acceleration Of A Small Laboratory Centrifuge.
From studylib.net
Centripetal Acceleration What Is The Centripetal Acceleration Of A Small Laboratory Centrifuge Centripetal acceleration \(a_c\) is the acceleration experienced while in uniform circular motion. A centrifuge (see the figure below, b) is a rotating device used to separate specimens of different densities. It is perpendicular to the linear velocity \(v\) and. High centripetal acceleration significantly decreases the time it takes for separation to occur, and makes separation possible with small samples. It. What Is The Centripetal Acceleration Of A Small Laboratory Centrifuge.
From slideplayer.com
College Physics, 7th Edition ppt download What Is The Centripetal Acceleration Of A Small Laboratory Centrifuge Centripetal acceleration \(a_c\) is the acceleration experienced while in uniform circular motion. It always points toward the center of rotation. The formula for centripetal acceleration (ac) is ac = v2/r, where v is the linear velocity and r is the radius of circular motion. The centripetal acceleration of an object moving in a uniform circular path is. High centripetal acceleration. What Is The Centripetal Acceleration Of A Small Laboratory Centrifuge.
From fin3tutor.blogspot.com
How To Calculate Centripetal Acceleration From Angular Velocity What Is The Centripetal Acceleration Of A Small Laboratory Centrifuge High centripetal acceleration significantly decreases the time it takes for separation to occur, and makes separation possible with. A centrifuge (see the figure below, b) is a rotating device used to separate specimens of different densities. High centripetal acceleration significantly decreases the time it takes for separation to occur, and makes separation possible with small samples. Centrifuges are used in. What Is The Centripetal Acceleration Of A Small Laboratory Centrifuge.
From microbenotes.com
8 Types of Centrifugation with Principles and Uses What Is The Centripetal Acceleration Of A Small Laboratory Centrifuge Centripetal acceleration \(a_c\) is the acceleration experienced while in uniform circular motion. Centrifuges are used in a variety of. It always points toward the center of rotation. It is perpendicular to the linear velocity \(v\) and. High centripetal acceleration significantly decreases the time it takes for separation to occur, and makes separation possible with. A centrifuge (see the figure below,. What Is The Centripetal Acceleration Of A Small Laboratory Centrifuge.
From www.differencebetween.com
Difference Between Centripetal and Centrifugal Acceleration Compare What Is The Centripetal Acceleration Of A Small Laboratory Centrifuge A centrifuge (see the figure below, b) is a rotating device used to separate specimens of different densities. Centripetal acceleration \(a_c\) is the acceleration experienced while in uniform circular motion. It always points toward the center of rotation. High centripetal acceleration significantly decreases the time it takes for separation to occur, and makes separation possible with. High centripetal acceleration significantly. What Is The Centripetal Acceleration Of A Small Laboratory Centrifuge.
From www.geeksforgeeks.org
Centripetal and Centrifugal Force Differences and Examples What Is The Centripetal Acceleration Of A Small Laboratory Centrifuge Centrifuges are used in a variety of. It always points toward the center of rotation. High centripetal acceleration significantly decreases the time it takes for separation to occur, and makes separation possible with small samples. High centripetal acceleration significantly decreases the time it takes for separation to occur, and makes separation possible with small samples. Centrifuges are used in a. What Is The Centripetal Acceleration Of A Small Laboratory Centrifuge.
From www.youtube.com
Centripetal Acceleration lab calculations YouTube What Is The Centripetal Acceleration Of A Small Laboratory Centrifuge High centripetal acceleration significantly decreases the time it takes for separation to occur, and makes separation possible with small samples. Centrifuges are used in a variety of. High centripetal acceleration significantly decreases the time it takes for separation to occur, and makes separation possible with. Centrifuges are used in a variety of. Centripetal acceleration \(a_c\) is the acceleration experienced while. What Is The Centripetal Acceleration Of A Small Laboratory Centrifuge.
From academichelp.net
What is Centripetal Acceleration Circular Motions in Physics What Is The Centripetal Acceleration Of A Small Laboratory Centrifuge Centrifuges are used in a variety of. High centripetal acceleration significantly decreases the time it takes for separation to occur, and makes separation possible with small samples. Centripetal acceleration \(a_c\) is the acceleration experienced while in uniform circular motion. The centripetal acceleration of an object moving in a uniform circular path is. Centrifuges are used in a variety of. It. What Is The Centripetal Acceleration Of A Small Laboratory Centrifuge.
From www.wmedicalsystems.com
Centrifuges W Medical Systems Shop What Is The Centripetal Acceleration Of A Small Laboratory Centrifuge High centripetal acceleration significantly decreases the time it takes for separation to occur, and makes separation possible with small samples. It is perpendicular to the linear velocity \(v\) and. High centripetal acceleration significantly decreases the time it takes for separation to occur, and makes separation possible with. Centrifuges are used in a variety of. The centripetal acceleration of an object. What Is The Centripetal Acceleration Of A Small Laboratory Centrifuge.
From www.scienceabc.com
What Are Centripetal Acceleration And Centrifugal Force? » ScienceABC What Is The Centripetal Acceleration Of A Small Laboratory Centrifuge High centripetal acceleration significantly decreases the time it takes for separation to occur, and makes separation possible with small samples. Centripetal acceleration \(a_c\) is the acceleration experienced while in uniform circular motion. The centripetal acceleration of an object moving in a uniform circular path is. A centrifuge (see the figure below, b) is a rotating device used to separate specimens. What Is The Centripetal Acceleration Of A Small Laboratory Centrifuge.
From labneedssolution.co.ug
The Ultimate Guide to Centrifuges Laboratory Needs Solutions Ltd What Is The Centripetal Acceleration Of A Small Laboratory Centrifuge High centripetal acceleration significantly decreases the time it takes for separation to occur, and makes separation possible with small samples. The centripetal acceleration of an object moving in a uniform circular path is. Centrifuges are used in a variety of. The formula for centripetal acceleration (ac) is ac = v2/r, where v is the linear velocity and r is the. What Is The Centripetal Acceleration Of A Small Laboratory Centrifuge.
From www.animalia-life.club
Centripetal Acceleration Diagram What Is The Centripetal Acceleration Of A Small Laboratory Centrifuge Centrifuges are used in a variety of. The formula for centripetal acceleration (ac) is ac = v2/r, where v is the linear velocity and r is the radius of circular motion. It is perpendicular to the linear velocity \(v\) and. High centripetal acceleration significantly decreases the time it takes for separation to occur, and makes separation possible with small samples.. What Is The Centripetal Acceleration Of A Small Laboratory Centrifuge.
From www.sciencephoto.com
Centripetal force, illustration Stock Image C042/4396 Science What Is The Centripetal Acceleration Of A Small Laboratory Centrifuge The formula for centripetal acceleration (ac) is ac = v2/r, where v is the linear velocity and r is the radius of circular motion. High centripetal acceleration significantly decreases the time it takes for separation to occur, and makes separation possible with small samples. It always points toward the center of rotation. Centrifuges are used in a variety of. Centrifuges. What Is The Centripetal Acceleration Of A Small Laboratory Centrifuge.
From www.slideserve.com
PPT CP Physics Chapter 7 PowerPoint Presentation, free download ID What Is The Centripetal Acceleration Of A Small Laboratory Centrifuge High centripetal acceleration significantly decreases the time it takes for separation to occur, and makes separation possible with. Centripetal acceleration \(a_c\) is the acceleration experienced while in uniform circular motion. It is perpendicular to the linear velocity \(v\) and. It always points toward the center of rotation. Centrifuges are used in a variety of. High centripetal acceleration significantly decreases the. What Is The Centripetal Acceleration Of A Small Laboratory Centrifuge.
From www.numerade.com
SOLVED A laboratory centrifuge, like the one shown in the figure What Is The Centripetal Acceleration Of A Small Laboratory Centrifuge The centripetal acceleration of an object moving in a uniform circular path is. High centripetal acceleration significantly decreases the time it takes for separation to occur, and makes separation possible with. It always points toward the center of rotation. Centrifuges are used in a variety of. Centripetal acceleration \(a_c\) is the acceleration experienced while in uniform circular motion. It is. What Is The Centripetal Acceleration Of A Small Laboratory Centrifuge.
From www.slideserve.com
PPT Centripetal Acceleration and Centripetal Force PowerPoint What Is The Centripetal Acceleration Of A Small Laboratory Centrifuge Centrifuges are used in a variety of. The formula for centripetal acceleration (ac) is ac = v2/r, where v is the linear velocity and r is the radius of circular motion. High centripetal acceleration significantly decreases the time it takes for separation to occur, and makes separation possible with. Centrifuges are used in a variety of. It is perpendicular to. What Is The Centripetal Acceleration Of A Small Laboratory Centrifuge.
From microbenotes.com
Centrifuge Principle, Parts, Types, Uses, Examples What Is The Centripetal Acceleration Of A Small Laboratory Centrifuge High centripetal acceleration significantly decreases the time it takes for separation to occur, and makes separation possible with small samples. Centrifuges are used in a variety of. It is perpendicular to the linear velocity \(v\) and. High centripetal acceleration significantly decreases the time it takes for separation to occur, and makes separation possible with small samples. Centrifuges are used in. What Is The Centripetal Acceleration Of A Small Laboratory Centrifuge.
From www.sliderbase.com
All about waves Presentation Physics What Is The Centripetal Acceleration Of A Small Laboratory Centrifuge High centripetal acceleration significantly decreases the time it takes for separation to occur, and makes separation possible with small samples. It is perpendicular to the linear velocity \(v\) and. Centripetal acceleration \(a_c\) is the acceleration experienced while in uniform circular motion. High centripetal acceleration significantly decreases the time it takes for separation to occur, and makes separation possible with small. What Is The Centripetal Acceleration Of A Small Laboratory Centrifuge.
From byjus.com
Define centripetal acceleration? What Is The Centripetal Acceleration Of A Small Laboratory Centrifuge High centripetal acceleration significantly decreases the time it takes for separation to occur, and makes separation possible with small samples. It always points toward the center of rotation. High centripetal acceleration significantly decreases the time it takes for separation to occur, and makes separation possible with. The formula for centripetal acceleration (ac) is ac = v2/r, where v is the. What Is The Centripetal Acceleration Of A Small Laboratory Centrifuge.
From www.iqsdirectory.com
Centrifuges Types, Classifications, Applications, and Benefits What Is The Centripetal Acceleration Of A Small Laboratory Centrifuge It always points toward the center of rotation. The formula for centripetal acceleration (ac) is ac = v2/r, where v is the linear velocity and r is the radius of circular motion. High centripetal acceleration significantly decreases the time it takes for separation to occur, and makes separation possible with. Centrifuges are used in a variety of. The centripetal acceleration. What Is The Centripetal Acceleration Of A Small Laboratory Centrifuge.
From www.iqsdirectory.com
Centrifuges Types, Classifications, Applications, and Benefits What Is The Centripetal Acceleration Of A Small Laboratory Centrifuge The formula for centripetal acceleration (ac) is ac = v2/r, where v is the linear velocity and r is the radius of circular motion. High centripetal acceleration significantly decreases the time it takes for separation to occur, and makes separation possible with small samples. A centrifuge (see the figure below, b) is a rotating device used to separate specimens of. What Is The Centripetal Acceleration Of A Small Laboratory Centrifuge.
From studylib.net
Lab Centripetal Acceleration What Is The Centripetal Acceleration Of A Small Laboratory Centrifuge It always points toward the center of rotation. It is perpendicular to the linear velocity \(v\) and. Centrifuges are used in a variety of. High centripetal acceleration significantly decreases the time it takes for separation to occur, and makes separation possible with small samples. The centripetal acceleration of an object moving in a uniform circular path is. A centrifuge (see. What Is The Centripetal Acceleration Of A Small Laboratory Centrifuge.
From studylib.net
Centripetal Force Lab What Is The Centripetal Acceleration Of A Small Laboratory Centrifuge High centripetal acceleration significantly decreases the time it takes for separation to occur, and makes separation possible with small samples. Centrifuges are used in a variety of. High centripetal acceleration significantly decreases the time it takes for separation to occur, and makes separation possible with. It always points toward the center of rotation. It is perpendicular to the linear velocity. What Is The Centripetal Acceleration Of A Small Laboratory Centrifuge.
From studylib.net
PHYSICS 12 Centripetal Acceleration/Centripetal Force What Is The Centripetal Acceleration Of A Small Laboratory Centrifuge High centripetal acceleration significantly decreases the time it takes for separation to occur, and makes separation possible with small samples. It always points toward the center of rotation. The formula for centripetal acceleration (ac) is ac = v2/r, where v is the linear velocity and r is the radius of circular motion. High centripetal acceleration significantly decreases the time it. What Is The Centripetal Acceleration Of A Small Laboratory Centrifuge.
From www.numerade.com
SOLVED A laboratory centrifuge, like the one shown in the figure What Is The Centripetal Acceleration Of A Small Laboratory Centrifuge High centripetal acceleration significantly decreases the time it takes for separation to occur, and makes separation possible with. It is perpendicular to the linear velocity \(v\) and. A centrifuge (see the figure below, b) is a rotating device used to separate specimens of different densities. Centrifuges are used in a variety of. The formula for centripetal acceleration (ac) is ac. What Is The Centripetal Acceleration Of A Small Laboratory Centrifuge.
From www.numerade.com
SOLVED What is the centripetal acceleration of a small Laboratory What Is The Centripetal Acceleration Of A Small Laboratory Centrifuge A centrifuge (see the figure below, b) is a rotating device used to separate specimens of different densities. Centrifuges are used in a variety of. It is perpendicular to the linear velocity \(v\) and. Centripetal acceleration \(a_c\) is the acceleration experienced while in uniform circular motion. Centrifuges are used in a variety of. High centripetal acceleration significantly decreases the time. What Is The Centripetal Acceleration Of A Small Laboratory Centrifuge.
From www.youtube.com
Physics What Is a Centripetal Force? YouTube What Is The Centripetal Acceleration Of A Small Laboratory Centrifuge Centrifuges are used in a variety of. A centrifuge (see the figure below, b) is a rotating device used to separate specimens of different densities. High centripetal acceleration significantly decreases the time it takes for separation to occur, and makes separation possible with. The formula for centripetal acceleration (ac) is ac = v2/r, where v is the linear velocity and. What Is The Centripetal Acceleration Of A Small Laboratory Centrifuge.
From iteducationlearning.com
What is the centripetal acceleration formula What Is The Centripetal Acceleration Of A Small Laboratory Centrifuge The formula for centripetal acceleration (ac) is ac = v2/r, where v is the linear velocity and r is the radius of circular motion. High centripetal acceleration significantly decreases the time it takes for separation to occur, and makes separation possible with small samples. It always points toward the center of rotation. Centrifuges are used in a variety of. High. What Is The Centripetal Acceleration Of A Small Laboratory Centrifuge.
From estore.biohaus.my
[Benchmark Scientific] LC8 Series Laboratory Centrifuges General What Is The Centripetal Acceleration Of A Small Laboratory Centrifuge Centrifuges are used in a variety of. High centripetal acceleration significantly decreases the time it takes for separation to occur, and makes separation possible with. Centrifuges are used in a variety of. The centripetal acceleration of an object moving in a uniform circular path is. High centripetal acceleration significantly decreases the time it takes for separation to occur, and makes. What Is The Centripetal Acceleration Of A Small Laboratory Centrifuge.
From www.vernier.com
Centripetal Acceleration > Experiment 12A from Advanced Physics with What Is The Centripetal Acceleration Of A Small Laboratory Centrifuge It is perpendicular to the linear velocity \(v\) and. High centripetal acceleration significantly decreases the time it takes for separation to occur, and makes separation possible with small samples. It always points toward the center of rotation. Centrifuges are used in a variety of. Centripetal acceleration \(a_c\) is the acceleration experienced while in uniform circular motion. High centripetal acceleration significantly. What Is The Centripetal Acceleration Of A Small Laboratory Centrifuge.
From thechemicalcenter.com
Centrifuge General Purpose Laboratory. The Chemical Center What Is The Centripetal Acceleration Of A Small Laboratory Centrifuge High centripetal acceleration significantly decreases the time it takes for separation to occur, and makes separation possible with. It always points toward the center of rotation. A centrifuge (see the figure below, b) is a rotating device used to separate specimens of different densities. Centrifuges are used in a variety of. High centripetal acceleration significantly decreases the time it takes. What Is The Centripetal Acceleration Of A Small Laboratory Centrifuge.
From www.laboratory-equipment.com
Centrifuges and Centrifuge Accessories Laboratory Equipment What Is The Centripetal Acceleration Of A Small Laboratory Centrifuge Centrifuges are used in a variety of. The formula for centripetal acceleration (ac) is ac = v2/r, where v is the linear velocity and r is the radius of circular motion. It is perpendicular to the linear velocity \(v\) and. The centripetal acceleration of an object moving in a uniform circular path is. High centripetal acceleration significantly decreases the time. What Is The Centripetal Acceleration Of A Small Laboratory Centrifuge.