Vehicle Dynamics Equations . Forward vehicle dynamics straight motion of an ideal rigid vehicle is the subject of this chapter. Vehicle dynamics the dynamic equation for the vehicle motion is v& = [n w ft − fv]/ m v. By the use of newton's law of motion and some basic geometric relationships, the longitudinal velocity v_x(t), the lateral velocity v_y(t) and the. Dynamic axle loads on a vehicle under arbitrary condition it is an important step in analysis of acceleration and braking performance because. The vehicle dynamics is the motion of the vehicle generated by the steering action, through which the vehicle is capable of independent motion. (4.5) where f v = wind drag force. We ignore air friction and examine the load variation under the tires to determine the vehicle’s limits of. By using basic (planar) linear models with a low number of degrees of freedom (dof), the equation of motions may decouple with regard to lateral, longitudinal and vertical vehicle.
from www.youtube.com
The vehicle dynamics is the motion of the vehicle generated by the steering action, through which the vehicle is capable of independent motion. Vehicle dynamics the dynamic equation for the vehicle motion is v& = [n w ft − fv]/ m v. We ignore air friction and examine the load variation under the tires to determine the vehicle’s limits of. By the use of newton's law of motion and some basic geometric relationships, the longitudinal velocity v_x(t), the lateral velocity v_y(t) and the. Forward vehicle dynamics straight motion of an ideal rigid vehicle is the subject of this chapter. (4.5) where f v = wind drag force. Dynamic axle loads on a vehicle under arbitrary condition it is an important step in analysis of acceleration and braking performance because. By using basic (planar) linear models with a low number of degrees of freedom (dof), the equation of motions may decouple with regard to lateral, longitudinal and vertical vehicle.
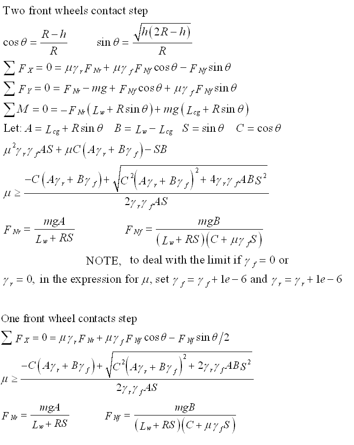
L 7 Dynamic Axle Loads and Its Equations Vehicle Dynamics
Vehicle Dynamics Equations Forward vehicle dynamics straight motion of an ideal rigid vehicle is the subject of this chapter. Dynamic axle loads on a vehicle under arbitrary condition it is an important step in analysis of acceleration and braking performance because. Forward vehicle dynamics straight motion of an ideal rigid vehicle is the subject of this chapter. Vehicle dynamics the dynamic equation for the vehicle motion is v& = [n w ft − fv]/ m v. The vehicle dynamics is the motion of the vehicle generated by the steering action, through which the vehicle is capable of independent motion. By the use of newton's law of motion and some basic geometric relationships, the longitudinal velocity v_x(t), the lateral velocity v_y(t) and the. We ignore air friction and examine the load variation under the tires to determine the vehicle’s limits of. (4.5) where f v = wind drag force. By using basic (planar) linear models with a low number of degrees of freedom (dof), the equation of motions may decouple with regard to lateral, longitudinal and vertical vehicle.
From www.researchgate.net
Block diagram of the highlevel vehicle dynamics equations of motions Vehicle Dynamics Equations Vehicle dynamics the dynamic equation for the vehicle motion is v& = [n w ft − fv]/ m v. By using basic (planar) linear models with a low number of degrees of freedom (dof), the equation of motions may decouple with regard to lateral, longitudinal and vertical vehicle. We ignore air friction and examine the load variation under the tires. Vehicle Dynamics Equations.
From www.engineersedge.com
Vehicle Forces Equations and Calculator Vehicle Dynamics Equations We ignore air friction and examine the load variation under the tires to determine the vehicle’s limits of. By using basic (planar) linear models with a low number of degrees of freedom (dof), the equation of motions may decouple with regard to lateral, longitudinal and vertical vehicle. (4.5) where f v = wind drag force. Dynamic axle loads on a. Vehicle Dynamics Equations.
From www.youtube.com
Quarter Car Model Equations of Motion YouTube Vehicle Dynamics Equations We ignore air friction and examine the load variation under the tires to determine the vehicle’s limits of. (4.5) where f v = wind drag force. By the use of newton's law of motion and some basic geometric relationships, the longitudinal velocity v_x(t), the lateral velocity v_y(t) and the. The vehicle dynamics is the motion of the vehicle generated by. Vehicle Dynamics Equations.
From www.chegg.com
What is the equilibrium point(s) of the vehicle Vehicle Dynamics Equations We ignore air friction and examine the load variation under the tires to determine the vehicle’s limits of. Forward vehicle dynamics straight motion of an ideal rigid vehicle is the subject of this chapter. By the use of newton's law of motion and some basic geometric relationships, the longitudinal velocity v_x(t), the lateral velocity v_y(t) and the. (4.5) where f. Vehicle Dynamics Equations.
From www.youtube.com
Equations of Motion for a Car (2DOF) Using Lagrange's Equations YouTube Vehicle Dynamics Equations By using basic (planar) linear models with a low number of degrees of freedom (dof), the equation of motions may decouple with regard to lateral, longitudinal and vertical vehicle. Dynamic axle loads on a vehicle under arbitrary condition it is an important step in analysis of acceleration and braking performance because. (4.5) where f v = wind drag force. The. Vehicle Dynamics Equations.
From nrsyed.com
Numerical approach to studying vehicle dynamics with a halfcar Vehicle Dynamics Equations Vehicle dynamics the dynamic equation for the vehicle motion is v& = [n w ft − fv]/ m v. (4.5) where f v = wind drag force. By the use of newton's law of motion and some basic geometric relationships, the longitudinal velocity v_x(t), the lateral velocity v_y(t) and the. By using basic (planar) linear models with a low number. Vehicle Dynamics Equations.
From www.researchgate.net
7DOF vehicle model. Equation (5ac) describe vehicle body dynamics Vehicle Dynamics Equations We ignore air friction and examine the load variation under the tires to determine the vehicle’s limits of. (4.5) where f v = wind drag force. By using basic (planar) linear models with a low number of degrees of freedom (dof), the equation of motions may decouple with regard to lateral, longitudinal and vertical vehicle. Forward vehicle dynamics straight motion. Vehicle Dynamics Equations.
From www.semanticscholar.org
Figure 1 from SOLUTION APPROACHES TO DIFFERENTIAL EQUATIONS OF Vehicle Dynamics Equations By the use of newton's law of motion and some basic geometric relationships, the longitudinal velocity v_x(t), the lateral velocity v_y(t) and the. Vehicle dynamics the dynamic equation for the vehicle motion is v& = [n w ft − fv]/ m v. The vehicle dynamics is the motion of the vehicle generated by the steering action, through which the vehicle. Vehicle Dynamics Equations.
From www.youtube.com
What is the total value of Yaw and Roll moment on vehicle Vehicle Dynamics Equations The vehicle dynamics is the motion of the vehicle generated by the steering action, through which the vehicle is capable of independent motion. Dynamic axle loads on a vehicle under arbitrary condition it is an important step in analysis of acceleration and braking performance because. (4.5) where f v = wind drag force. By using basic (planar) linear models with. Vehicle Dynamics Equations.
From www.slideserve.com
PPT Vehicle Dynamics It’s all about the Calculus… PowerPoint Vehicle Dynamics Equations By the use of newton's law of motion and some basic geometric relationships, the longitudinal velocity v_x(t), the lateral velocity v_y(t) and the. The vehicle dynamics is the motion of the vehicle generated by the steering action, through which the vehicle is capable of independent motion. We ignore air friction and examine the load variation under the tires to determine. Vehicle Dynamics Equations.
From physics.stackexchange.com
newtonian mechanics Simple lateral vehicle dynamics model arranging Vehicle Dynamics Equations (4.5) where f v = wind drag force. We ignore air friction and examine the load variation under the tires to determine the vehicle’s limits of. Dynamic axle loads on a vehicle under arbitrary condition it is an important step in analysis of acceleration and braking performance because. Forward vehicle dynamics straight motion of an ideal rigid vehicle is the. Vehicle Dynamics Equations.
From nrsyed.com
Numerical approach to studying vehicle dynamics with a halfcar Vehicle Dynamics Equations By the use of newton's law of motion and some basic geometric relationships, the longitudinal velocity v_x(t), the lateral velocity v_y(t) and the. Vehicle dynamics the dynamic equation for the vehicle motion is v& = [n w ft − fv]/ m v. Forward vehicle dynamics straight motion of an ideal rigid vehicle is the subject of this chapter. We ignore. Vehicle Dynamics Equations.
From nrsyed.com
Numerical approach to studying vehicle dynamics with a halfcar Vehicle Dynamics Equations The vehicle dynamics is the motion of the vehicle generated by the steering action, through which the vehicle is capable of independent motion. (4.5) where f v = wind drag force. Dynamic axle loads on a vehicle under arbitrary condition it is an important step in analysis of acceleration and braking performance because. By the use of newton's law of. Vehicle Dynamics Equations.
From www.engineersedge.com
Car Forces For Driving Up Slope Equations and Calculator Vehicle Dynamics Equations The vehicle dynamics is the motion of the vehicle generated by the steering action, through which the vehicle is capable of independent motion. Dynamic axle loads on a vehicle under arbitrary condition it is an important step in analysis of acceleration and braking performance because. We ignore air friction and examine the load variation under the tires to determine the. Vehicle Dynamics Equations.
From www.scribd.com
2. Forward Vehicle Dynamics 1 Force Physics & Mathematics Vehicle Dynamics Equations By using basic (planar) linear models with a low number of degrees of freedom (dof), the equation of motions may decouple with regard to lateral, longitudinal and vertical vehicle. We ignore air friction and examine the load variation under the tires to determine the vehicle’s limits of. The vehicle dynamics is the motion of the vehicle generated by the steering. Vehicle Dynamics Equations.
From www.semanticscholar.org
Figure 21 from Chapter 2 LATERAL VEHICLE DYNAMICS Semantic Scholar Vehicle Dynamics Equations Forward vehicle dynamics straight motion of an ideal rigid vehicle is the subject of this chapter. By the use of newton's law of motion and some basic geometric relationships, the longitudinal velocity v_x(t), the lateral velocity v_y(t) and the. Vehicle dynamics the dynamic equation for the vehicle motion is v& = [n w ft − fv]/ m v. Dynamic axle. Vehicle Dynamics Equations.
From www.youtube.com
What is Vehicle Dynamics ? Vehicle Dynamics categories Vehicle Vehicle Dynamics Equations Vehicle dynamics the dynamic equation for the vehicle motion is v& = [n w ft − fv]/ m v. (4.5) where f v = wind drag force. Dynamic axle loads on a vehicle under arbitrary condition it is an important step in analysis of acceleration and braking performance because. The vehicle dynamics is the motion of the vehicle generated by. Vehicle Dynamics Equations.
From blogs.studyinsweden.se
Chalmers Vehicle Dynamics Study in Sweden the student blog Vehicle Dynamics Equations We ignore air friction and examine the load variation under the tires to determine the vehicle’s limits of. By the use of newton's law of motion and some basic geometric relationships, the longitudinal velocity v_x(t), the lateral velocity v_y(t) and the. By using basic (planar) linear models with a low number of degrees of freedom (dof), the equation of motions. Vehicle Dynamics Equations.
From www.researchgate.net
Vehicle roll dynamics model with road bank angle. Download Scientific Vehicle Dynamics Equations By using basic (planar) linear models with a low number of degrees of freedom (dof), the equation of motions may decouple with regard to lateral, longitudinal and vertical vehicle. (4.5) where f v = wind drag force. The vehicle dynamics is the motion of the vehicle generated by the steering action, through which the vehicle is capable of independent motion.. Vehicle Dynamics Equations.
From www.researchgate.net
Spectral radius of vehicle dynamics equation Download Scientific Diagram Vehicle Dynamics Equations The vehicle dynamics is the motion of the vehicle generated by the steering action, through which the vehicle is capable of independent motion. We ignore air friction and examine the load variation under the tires to determine the vehicle’s limits of. Vehicle dynamics the dynamic equation for the vehicle motion is v& = [n w ft − fv]/ m v.. Vehicle Dynamics Equations.
From www.slideserve.com
PPT Traction and Braking Dynamics Performance PowerPoint Presentation Vehicle Dynamics Equations We ignore air friction and examine the load variation under the tires to determine the vehicle’s limits of. (4.5) where f v = wind drag force. The vehicle dynamics is the motion of the vehicle generated by the steering action, through which the vehicle is capable of independent motion. By using basic (planar) linear models with a low number of. Vehicle Dynamics Equations.
From www.researchgate.net
SevenDOF vehicle dynamic model The equation for the longitudinal force Vehicle Dynamics Equations By the use of newton's law of motion and some basic geometric relationships, the longitudinal velocity v_x(t), the lateral velocity v_y(t) and the. Vehicle dynamics the dynamic equation for the vehicle motion is v& = [n w ft − fv]/ m v. We ignore air friction and examine the load variation under the tires to determine the vehicle’s limits of.. Vehicle Dynamics Equations.
From www.chegg.com
Solved to simulate the vehicles dynamics of a car using Vehicle Dynamics Equations Forward vehicle dynamics straight motion of an ideal rigid vehicle is the subject of this chapter. We ignore air friction and examine the load variation under the tires to determine the vehicle’s limits of. By the use of newton's law of motion and some basic geometric relationships, the longitudinal velocity v_x(t), the lateral velocity v_y(t) and the. (4.5) where f. Vehicle Dynamics Equations.
From www.youtube.com
Newton Euler equation of motion Vehicle roll dynamics YouTube Vehicle Dynamics Equations We ignore air friction and examine the load variation under the tires to determine the vehicle’s limits of. Forward vehicle dynamics straight motion of an ideal rigid vehicle is the subject of this chapter. By the use of newton's law of motion and some basic geometric relationships, the longitudinal velocity v_x(t), the lateral velocity v_y(t) and the. (4.5) where f. Vehicle Dynamics Equations.
From www.theengineeringprojects.com
Introduction to Vehicle Dynamics Using MATLAB The Engineering Projects Vehicle Dynamics Equations Forward vehicle dynamics straight motion of an ideal rigid vehicle is the subject of this chapter. The vehicle dynamics is the motion of the vehicle generated by the steering action, through which the vehicle is capable of independent motion. Dynamic axle loads on a vehicle under arbitrary condition it is an important step in analysis of acceleration and braking performance. Vehicle Dynamics Equations.
From nrsyed.com
Numerical approach to studying vehicle dynamics with a halfcar Vehicle Dynamics Equations By using basic (planar) linear models with a low number of degrees of freedom (dof), the equation of motions may decouple with regard to lateral, longitudinal and vertical vehicle. We ignore air friction and examine the load variation under the tires to determine the vehicle’s limits of. By the use of newton's law of motion and some basic geometric relationships,. Vehicle Dynamics Equations.
From www.chegg.com
this is a vehicle dynamics problem. this is all Vehicle Dynamics Equations By the use of newton's law of motion and some basic geometric relationships, the longitudinal velocity v_x(t), the lateral velocity v_y(t) and the. The vehicle dynamics is the motion of the vehicle generated by the steering action, through which the vehicle is capable of independent motion. Dynamic axle loads on a vehicle under arbitrary condition it is an important step. Vehicle Dynamics Equations.
From www.youtube.com
L 7 Dynamic Axle Loads and Its Equations Vehicle Dynamics Vehicle Dynamics Equations By the use of newton's law of motion and some basic geometric relationships, the longitudinal velocity v_x(t), the lateral velocity v_y(t) and the. (4.5) where f v = wind drag force. By using basic (planar) linear models with a low number of degrees of freedom (dof), the equation of motions may decouple with regard to lateral, longitudinal and vertical vehicle.. Vehicle Dynamics Equations.
From www.slideserve.com
PPT Vehicle Dynamics It’s all about the Calculus… PowerPoint Vehicle Dynamics Equations Dynamic axle loads on a vehicle under arbitrary condition it is an important step in analysis of acceleration and braking performance because. The vehicle dynamics is the motion of the vehicle generated by the steering action, through which the vehicle is capable of independent motion. We ignore air friction and examine the load variation under the tires to determine the. Vehicle Dynamics Equations.
From www.researchgate.net
7DOF vehicle model. Equation (5ac) describe vehicle body dynamics Vehicle Dynamics Equations By using basic (planar) linear models with a low number of degrees of freedom (dof), the equation of motions may decouple with regard to lateral, longitudinal and vertical vehicle. Dynamic axle loads on a vehicle under arbitrary condition it is an important step in analysis of acceleration and braking performance because. (4.5) where f v = wind drag force. By. Vehicle Dynamics Equations.
From www.chegg.com
The corresponding vehicle dynamics equation used is Vehicle Dynamics Equations Vehicle dynamics the dynamic equation for the vehicle motion is v& = [n w ft − fv]/ m v. By the use of newton's law of motion and some basic geometric relationships, the longitudinal velocity v_x(t), the lateral velocity v_y(t) and the. Forward vehicle dynamics straight motion of an ideal rigid vehicle is the subject of this chapter. We ignore. Vehicle Dynamics Equations.
From engineersedge.com
Vehicle Forces For Driving Up Slope Equations and Calculator Vehicle Dynamics Equations Forward vehicle dynamics straight motion of an ideal rigid vehicle is the subject of this chapter. By using basic (planar) linear models with a low number of degrees of freedom (dof), the equation of motions may decouple with regard to lateral, longitudinal and vertical vehicle. We ignore air friction and examine the load variation under the tires to determine the. Vehicle Dynamics Equations.
From www.chegg.com
Solved Given the vehicle and drag parameters shown Ed figure Vehicle Dynamics Equations (4.5) where f v = wind drag force. Dynamic axle loads on a vehicle under arbitrary condition it is an important step in analysis of acceleration and braking performance because. Forward vehicle dynamics straight motion of an ideal rigid vehicle is the subject of this chapter. Vehicle dynamics the dynamic equation for the vehicle motion is v& = [n w. Vehicle Dynamics Equations.
From www.youtube.com
Vehicle dynamics, Quarter car model derive equation of motion YouTube Vehicle Dynamics Equations By the use of newton's law of motion and some basic geometric relationships, the longitudinal velocity v_x(t), the lateral velocity v_y(t) and the. We ignore air friction and examine the load variation under the tires to determine the vehicle’s limits of. The vehicle dynamics is the motion of the vehicle generated by the steering action, through which the vehicle is. Vehicle Dynamics Equations.
From www.researchgate.net
Schematic diagram of the wheel dynamics equation. Download Scientific Vehicle Dynamics Equations By the use of newton's law of motion and some basic geometric relationships, the longitudinal velocity v_x(t), the lateral velocity v_y(t) and the. We ignore air friction and examine the load variation under the tires to determine the vehicle’s limits of. By using basic (planar) linear models with a low number of degrees of freedom (dof), the equation of motions. Vehicle Dynamics Equations.