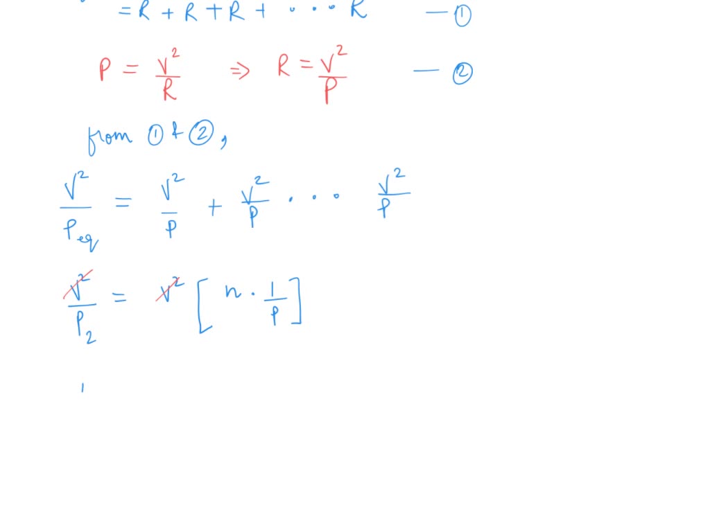
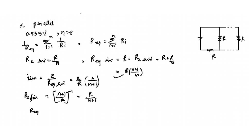
N Identical Resistors Are Connected In Parallel . When n identical resistors are connected in parallel, their effective resistance (y) can be calculated using the formula: Resistors are in parallel when one end of all the resistors are connected by a continuous wire of negligible resistance and the other end of all the resistors are also connected to one another. 1/r_eq = 1/r_1 + 1/r_2 +. The resistance of n n resistors in parallel is used to calculate the resistance of n n identical resistors in parallel. When resistors are connected in parallel, the equivalent resistance is given by the formula: The first mode allows you to calculate the total resistance equivalent to a group of individual resistors in parallel. It is half of the individual resistance. Your solution’s ready to go! For example, you can easily calculate the equivalent resistance when you have two identical resistors in parallel: What is the equivalent resistance of all n resistors? If you need about 500 ω to get. Our expert help has broken down your problem into an.
from learn.sparkfun.com
Our expert help has broken down your problem into an. If you need about 500 ω to get. When resistors are connected in parallel, the equivalent resistance is given by the formula: Your solution’s ready to go! For example, you can easily calculate the equivalent resistance when you have two identical resistors in parallel: It is half of the individual resistance. The first mode allows you to calculate the total resistance equivalent to a group of individual resistors in parallel. What is the equivalent resistance of all n resistors? The resistance of n n resistors in parallel is used to calculate the resistance of n n identical resistors in parallel. 1/r_eq = 1/r_1 + 1/r_2 +.
Series and Parallel Circuits SparkFun Learn
N Identical Resistors Are Connected In Parallel The first mode allows you to calculate the total resistance equivalent to a group of individual resistors in parallel. Your solution’s ready to go! 1/r_eq = 1/r_1 + 1/r_2 +. What is the equivalent resistance of all n resistors? If you need about 500 ω to get. Resistors are in parallel when one end of all the resistors are connected by a continuous wire of negligible resistance and the other end of all the resistors are also connected to one another. It is half of the individual resistance. When n identical resistors are connected in parallel, their effective resistance (y) can be calculated using the formula: The resistance of n n resistors in parallel is used to calculate the resistance of n n identical resistors in parallel. The first mode allows you to calculate the total resistance equivalent to a group of individual resistors in parallel. When resistors are connected in parallel, the equivalent resistance is given by the formula: Our expert help has broken down your problem into an. For example, you can easily calculate the equivalent resistance when you have two identical resistors in parallel:
From philschatz.com
Resistors in Series and Parallel · Physics N Identical Resistors Are Connected In Parallel When n identical resistors are connected in parallel, their effective resistance (y) can be calculated using the formula: It is half of the individual resistance. 1/r_eq = 1/r_1 + 1/r_2 +. Our expert help has broken down your problem into an. When resistors are connected in parallel, the equivalent resistance is given by the formula: For example, you can easily. N Identical Resistors Are Connected In Parallel.
From www.toppr.com
In the circuit shown, n identical resistors R are connected in parallel N Identical Resistors Are Connected In Parallel If you need about 500 ω to get. It is half of the individual resistance. Our expert help has broken down your problem into an. What is the equivalent resistance of all n resistors? When resistors are connected in parallel, the equivalent resistance is given by the formula: The resistance of n n resistors in parallel is used to calculate. N Identical Resistors Are Connected In Parallel.
From www.toppr.com
In the circuit shown, n identical resistors R are connected in parallel N Identical Resistors Are Connected In Parallel When resistors are connected in parallel, the equivalent resistance is given by the formula: When n identical resistors are connected in parallel, their effective resistance (y) can be calculated using the formula: Our expert help has broken down your problem into an. It is half of the individual resistance. 1/r_eq = 1/r_1 + 1/r_2 +. If you need about 500. N Identical Resistors Are Connected In Parallel.
From www.teachoo.com
Resistance in Parallel Diagram, Formula and Numericals Teachoo N Identical Resistors Are Connected In Parallel When n identical resistors are connected in parallel, their effective resistance (y) can be calculated using the formula: 1/r_eq = 1/r_1 + 1/r_2 +. It is half of the individual resistance. When resistors are connected in parallel, the equivalent resistance is given by the formula: What is the equivalent resistance of all n resistors? For example, you can easily calculate. N Identical Resistors Are Connected In Parallel.
From askfilo.com
If ' n ' number of identical resistors are connected parallel combination.. N Identical Resistors Are Connected In Parallel When resistors are connected in parallel, the equivalent resistance is given by the formula: If you need about 500 ω to get. What is the equivalent resistance of all n resistors? The resistance of n n resistors in parallel is used to calculate the resistance of n n identical resistors in parallel. Your solution’s ready to go! Resistors are in. N Identical Resistors Are Connected In Parallel.
From www.youtube.com
Calculating resistance in parallel YouTube N Identical Resistors Are Connected In Parallel Our expert help has broken down your problem into an. Resistors are in parallel when one end of all the resistors are connected by a continuous wire of negligible resistance and the other end of all the resistors are also connected to one another. The first mode allows you to calculate the total resistance equivalent to a group of individual. N Identical Resistors Are Connected In Parallel.
From sosteneslekule.blogspot.com
Resistance in Parallel Networks LEKULE BLOG N Identical Resistors Are Connected In Parallel It is half of the individual resistance. If you need about 500 ω to get. When resistors are connected in parallel, the equivalent resistance is given by the formula: 1/r_eq = 1/r_1 + 1/r_2 +. Resistors are in parallel when one end of all the resistors are connected by a continuous wire of negligible resistance and the other end of. N Identical Resistors Are Connected In Parallel.
From www.youtube.com
Determination of the equivalent resistance of two resistors connected N Identical Resistors Are Connected In Parallel When n identical resistors are connected in parallel, their effective resistance (y) can be calculated using the formula: When resistors are connected in parallel, the equivalent resistance is given by the formula: The first mode allows you to calculate the total resistance equivalent to a group of individual resistors in parallel. 1/r_eq = 1/r_1 + 1/r_2 +. What is the. N Identical Resistors Are Connected In Parallel.
From www.youtube.com
The equivalent resistance of `n` identical resistors connected in N Identical Resistors Are Connected In Parallel 1/r_eq = 1/r_1 + 1/r_2 +. Your solution’s ready to go! The resistance of n n resistors in parallel is used to calculate the resistance of n n identical resistors in parallel. For example, you can easily calculate the equivalent resistance when you have two identical resistors in parallel: If you need about 500 ω to get. Resistors are in. N Identical Resistors Are Connected In Parallel.
From askfilo.com
Three identical resistors are connected in parallel as showm in the figur.. N Identical Resistors Are Connected In Parallel Resistors are in parallel when one end of all the resistors are connected by a continuous wire of negligible resistance and the other end of all the resistors are also connected to one another. The resistance of n n resistors in parallel is used to calculate the resistance of n n identical resistors in parallel. It is half of the. N Identical Resistors Are Connected In Parallel.
From www.wiringview.co
How Do You Determine The Equivalent Resistance Of A Parallel Circuit N Identical Resistors Are Connected In Parallel When n identical resistors are connected in parallel, their effective resistance (y) can be calculated using the formula: The first mode allows you to calculate the total resistance equivalent to a group of individual resistors in parallel. Resistors are in parallel when one end of all the resistors are connected by a continuous wire of negligible resistance and the other. N Identical Resistors Are Connected In Parallel.
From electricalacademia.com
Series Parallel Circuit Series Parallel Circuit Examples Electrical N Identical Resistors Are Connected In Parallel 1/r_eq = 1/r_1 + 1/r_2 +. Resistors are in parallel when one end of all the resistors are connected by a continuous wire of negligible resistance and the other end of all the resistors are also connected to one another. If you need about 500 ω to get. For example, you can easily calculate the equivalent resistance when you have. N Identical Resistors Are Connected In Parallel.
From courses.lumenlearning.com
Resistors in Series and Parallel Boundless Physics N Identical Resistors Are Connected In Parallel The resistance of n n resistors in parallel is used to calculate the resistance of n n identical resistors in parallel. If you need about 500 ω to get. For example, you can easily calculate the equivalent resistance when you have two identical resistors in parallel: Our expert help has broken down your problem into an. When resistors are connected. N Identical Resistors Are Connected In Parallel.
From aleehyanah.blogspot.com
A Group Of Resistors Connected In Parallel Have The Same N Identical Resistors Are Connected In Parallel When n identical resistors are connected in parallel, their effective resistance (y) can be calculated using the formula: When resistors are connected in parallel, the equivalent resistance is given by the formula: It is half of the individual resistance. For example, you can easily calculate the equivalent resistance when you have two identical resistors in parallel: The resistance of n. N Identical Resistors Are Connected In Parallel.
From www.toppr.com
In the circuit shown, n identical resistors R are connected in parallel N Identical Resistors Are Connected In Parallel For example, you can easily calculate the equivalent resistance when you have two identical resistors in parallel: It is half of the individual resistance. When n identical resistors are connected in parallel, their effective resistance (y) can be calculated using the formula: 1/r_eq = 1/r_1 + 1/r_2 +. When resistors are connected in parallel, the equivalent resistance is given by. N Identical Resistors Are Connected In Parallel.
From electricalacademia.com
Parallel Circuit Definition Parallel Circuit Examples Electrical N Identical Resistors Are Connected In Parallel When resistors are connected in parallel, the equivalent resistance is given by the formula: The first mode allows you to calculate the total resistance equivalent to a group of individual resistors in parallel. When n identical resistors are connected in parallel, their effective resistance (y) can be calculated using the formula: Resistors are in parallel when one end of all. N Identical Resistors Are Connected In Parallel.
From electricalacademia.com
Resistors in Series and Parallel Resistor Combinations Examples N Identical Resistors Are Connected In Parallel It is half of the individual resistance. When n identical resistors are connected in parallel, their effective resistance (y) can be calculated using the formula: When resistors are connected in parallel, the equivalent resistance is given by the formula: For example, you can easily calculate the equivalent resistance when you have two identical resistors in parallel: Our expert help has. N Identical Resistors Are Connected In Parallel.
From www.youtube.com
Two identical resistors are first connected in series and then in N Identical Resistors Are Connected In Parallel If you need about 500 ω to get. The first mode allows you to calculate the total resistance equivalent to a group of individual resistors in parallel. 1/r_eq = 1/r_1 + 1/r_2 +. Resistors are in parallel when one end of all the resistors are connected by a continuous wire of negligible resistance and the other end of all the. N Identical Resistors Are Connected In Parallel.
From byjus.com
A set of n equal resistors of value R each are connected in series to a N Identical Resistors Are Connected In Parallel Our expert help has broken down your problem into an. It is half of the individual resistance. If you need about 500 ω to get. Your solution’s ready to go! What is the equivalent resistance of all n resistors? The first mode allows you to calculate the total resistance equivalent to a group of individual resistors in parallel. 1/r_eq =. N Identical Resistors Are Connected In Parallel.
From www.coursehero.com
[Solved] A 12Ω resistor is connected in parallel with a series N Identical Resistors Are Connected In Parallel If you need about 500 ω to get. For example, you can easily calculate the equivalent resistance when you have two identical resistors in parallel: 1/r_eq = 1/r_1 + 1/r_2 +. It is half of the individual resistance. Your solution’s ready to go! The resistance of n n resistors in parallel is used to calculate the resistance of n n. N Identical Resistors Are Connected In Parallel.
From owlcation.com
Resistors in Series and Parallel Formula Derivation Owlcation N Identical Resistors Are Connected In Parallel The resistance of n n resistors in parallel is used to calculate the resistance of n n identical resistors in parallel. What is the equivalent resistance of all n resistors? When n identical resistors are connected in parallel, their effective resistance (y) can be calculated using the formula: If you need about 500 ω to get. It is half of. N Identical Resistors Are Connected In Parallel.
From www.numerade.com
SOLVED When a voltage V is applied to n identical resistor connected N Identical Resistors Are Connected In Parallel The resistance of n n resistors in parallel is used to calculate the resistance of n n identical resistors in parallel. When n identical resistors are connected in parallel, their effective resistance (y) can be calculated using the formula: 1/r_eq = 1/r_1 + 1/r_2 +. It is half of the individual resistance. If you need about 500 ω to get.. N Identical Resistors Are Connected In Parallel.
From owlcation.com
Resistors in Series and Parallel Formula Derivation Owlcation N Identical Resistors Are Connected In Parallel What is the equivalent resistance of all n resistors? The first mode allows you to calculate the total resistance equivalent to a group of individual resistors in parallel. If you need about 500 ω to get. When n identical resistors are connected in parallel, their effective resistance (y) can be calculated using the formula: When resistors are connected in parallel,. N Identical Resistors Are Connected In Parallel.
From learn.sparkfun.com
Series and Parallel Circuits SparkFun Learn N Identical Resistors Are Connected In Parallel Resistors are in parallel when one end of all the resistors are connected by a continuous wire of negligible resistance and the other end of all the resistors are also connected to one another. It is half of the individual resistance. When resistors are connected in parallel, the equivalent resistance is given by the formula: Your solution’s ready to go!. N Identical Resistors Are Connected In Parallel.
From www.organised-sound.com
How Do You Find The Resistance Of A Parallel Circuit With N Identical N Identical Resistors Are Connected In Parallel Your solution’s ready to go! When resistors are connected in parallel, the equivalent resistance is given by the formula: The resistance of n n resistors in parallel is used to calculate the resistance of n n identical resistors in parallel. What is the equivalent resistance of all n resistors? Our expert help has broken down your problem into an. 1/r_eq. N Identical Resistors Are Connected In Parallel.
From www.electricalengineering.xyz
Resistors in Parallel [Formula with Solved Examples] N Identical Resistors Are Connected In Parallel The first mode allows you to calculate the total resistance equivalent to a group of individual resistors in parallel. Resistors are in parallel when one end of all the resistors are connected by a continuous wire of negligible resistance and the other end of all the resistors are also connected to one another. The resistance of n n resistors in. N Identical Resistors Are Connected In Parallel.
From electricalacademia.com
Parallel Circuit Definition Parallel Circuit Examples Electrical N Identical Resistors Are Connected In Parallel The first mode allows you to calculate the total resistance equivalent to a group of individual resistors in parallel. The resistance of n n resistors in parallel is used to calculate the resistance of n n identical resistors in parallel. If you need about 500 ω to get. For example, you can easily calculate the equivalent resistance when you have. N Identical Resistors Are Connected In Parallel.
From www.numerade.com
SOLVEDAn array of n parallel resistors is connected in series to a N Identical Resistors Are Connected In Parallel If you need about 500 ω to get. When resistors are connected in parallel, the equivalent resistance is given by the formula: It is half of the individual resistance. Resistors are in parallel when one end of all the resistors are connected by a continuous wire of negligible resistance and the other end of all the resistors are also connected. N Identical Resistors Are Connected In Parallel.
From www.physicsbootcamp.org
Resistors in Parallel N Identical Resistors Are Connected In Parallel When n identical resistors are connected in parallel, their effective resistance (y) can be calculated using the formula: Our expert help has broken down your problem into an. Resistors are in parallel when one end of all the resistors are connected by a continuous wire of negligible resistance and the other end of all the resistors are also connected to. N Identical Resistors Are Connected In Parallel.
From www.youtube.com
An array of n parallel resistors is connected in series to a resistor N Identical Resistors Are Connected In Parallel If you need about 500 ω to get. The resistance of n n resistors in parallel is used to calculate the resistance of n n identical resistors in parallel. When n identical resistors are connected in parallel, their effective resistance (y) can be calculated using the formula: What is the equivalent resistance of all n resistors? Your solution’s ready to. N Identical Resistors Are Connected In Parallel.
From www.toppr.com
16. n identical resistors each of resistance 20 22 are connected in N Identical Resistors Are Connected In Parallel Our expert help has broken down your problem into an. It is half of the individual resistance. For example, you can easily calculate the equivalent resistance when you have two identical resistors in parallel: The resistance of n n resistors in parallel is used to calculate the resistance of n n identical resistors in parallel. 1/r_eq = 1/r_1 + 1/r_2. N Identical Resistors Are Connected In Parallel.
From www.grc.nasa.gov
Resistors in Parallel N Identical Resistors Are Connected In Parallel When resistors are connected in parallel, the equivalent resistance is given by the formula: Resistors are in parallel when one end of all the resistors are connected by a continuous wire of negligible resistance and the other end of all the resistors are also connected to one another. The first mode allows you to calculate the total resistance equivalent to. N Identical Resistors Are Connected In Parallel.
From theengineeringmindset.com
resistorsparallel The Engineering Mindset N Identical Resistors Are Connected In Parallel The first mode allows you to calculate the total resistance equivalent to a group of individual resistors in parallel. 1/r_eq = 1/r_1 + 1/r_2 +. For example, you can easily calculate the equivalent resistance when you have two identical resistors in parallel: What is the equivalent resistance of all n resistors? Your solution’s ready to go! When n identical resistors. N Identical Resistors Are Connected In Parallel.
From www.numerade.com
SOLVEDA set of n identical resistors, each of resistance R Ω, when N Identical Resistors Are Connected In Parallel When resistors are connected in parallel, the equivalent resistance is given by the formula: Your solution’s ready to go! Our expert help has broken down your problem into an. What is the equivalent resistance of all n resistors? The first mode allows you to calculate the total resistance equivalent to a group of individual resistors in parallel. It is half. N Identical Resistors Are Connected In Parallel.
From www.toppr.com
In the circuit shown, n identical resistors R are connected in parallel N Identical Resistors Are Connected In Parallel The resistance of n n resistors in parallel is used to calculate the resistance of n n identical resistors in parallel. 1/r_eq = 1/r_1 + 1/r_2 +. What is the equivalent resistance of all n resistors? It is half of the individual resistance. When resistors are connected in parallel, the equivalent resistance is given by the formula: For example, you. N Identical Resistors Are Connected In Parallel.