Nitrogen Oxide Car Exhaust . Some manufacturers famously cheated nox tests. Vehicle manufacturers have designed several systems, which when working properly, lower nitric oxide emissions. How nitrogen oxides occur in vehicle exhaust, why they are harmful, how they can be controlled in vehicles, and. A nox sensor is a device that measures the amount of nitrogen oxide in the exhaust gas of an internal combustion engine. This card stack gives an overview of the issue: The sensor is usually located near the catalytic converter. Car exhaust emissions refer to the pollutants released into the atmosphere as a byproduct of fuel combustion in vehicles. A nox sensor can cause loss of power if it becomes clogged or damaged. They are highly reactive and can contribute to smog when they come into contact with other airborne chemicals. Car exhaust fumes are harmful to humans because they contain certain poisonous chemicals, including carbon monoxide, sulfur dioxide, nitrogen oxides, formaldehyde, benzene and soot, all of which can be detrimental to the human body if consistently inhaled in large quantities.
from www.aps.anl.gov
Some manufacturers famously cheated nox tests. The sensor is usually located near the catalytic converter. A nox sensor can cause loss of power if it becomes clogged or damaged. How nitrogen oxides occur in vehicle exhaust, why they are harmful, how they can be controlled in vehicles, and. This card stack gives an overview of the issue: Car exhaust emissions refer to the pollutants released into the atmosphere as a byproduct of fuel combustion in vehicles. Car exhaust fumes are harmful to humans because they contain certain poisonous chemicals, including carbon monoxide, sulfur dioxide, nitrogen oxides, formaldehyde, benzene and soot, all of which can be detrimental to the human body if consistently inhaled in large quantities. Vehicle manufacturers have designed several systems, which when working properly, lower nitric oxide emissions. They are highly reactive and can contribute to smog when they come into contact with other airborne chemicals. A nox sensor is a device that measures the amount of nitrogen oxide in the exhaust gas of an internal combustion engine.
A New Chemical Process That Could Reduce Nitrogen Oxides from Diesel
Nitrogen Oxide Car Exhaust A nox sensor is a device that measures the amount of nitrogen oxide in the exhaust gas of an internal combustion engine. Vehicle manufacturers have designed several systems, which when working properly, lower nitric oxide emissions. How nitrogen oxides occur in vehicle exhaust, why they are harmful, how they can be controlled in vehicles, and. The sensor is usually located near the catalytic converter. A nox sensor is a device that measures the amount of nitrogen oxide in the exhaust gas of an internal combustion engine. Car exhaust fumes are harmful to humans because they contain certain poisonous chemicals, including carbon monoxide, sulfur dioxide, nitrogen oxides, formaldehyde, benzene and soot, all of which can be detrimental to the human body if consistently inhaled in large quantities. They are highly reactive and can contribute to smog when they come into contact with other airborne chemicals. Some manufacturers famously cheated nox tests. This card stack gives an overview of the issue: Car exhaust emissions refer to the pollutants released into the atmosphere as a byproduct of fuel combustion in vehicles. A nox sensor can cause loss of power if it becomes clogged or damaged.
From dsauto.com.my
What is Car Exhaust System and How it Works? • D S Auto Nitrogen Oxide Car Exhaust A nox sensor is a device that measures the amount of nitrogen oxide in the exhaust gas of an internal combustion engine. Car exhaust emissions refer to the pollutants released into the atmosphere as a byproduct of fuel combustion in vehicles. Vehicle manufacturers have designed several systems, which when working properly, lower nitric oxide emissions. They are highly reactive and. Nitrogen Oxide Car Exhaust.
From innovationdiscoveries.space
How does Nitro Boost (Nitrous oxide) work? Nitrogen Oxide Car Exhaust Car exhaust emissions refer to the pollutants released into the atmosphere as a byproduct of fuel combustion in vehicles. They are highly reactive and can contribute to smog when they come into contact with other airborne chemicals. Vehicle manufacturers have designed several systems, which when working properly, lower nitric oxide emissions. The sensor is usually located near the catalytic converter.. Nitrogen Oxide Car Exhaust.
From www.onallcylinders.com
Bottle Basics Nitrous Baseline Tuning for NOS Systems Nitrogen Oxide Car Exhaust Some manufacturers famously cheated nox tests. How nitrogen oxides occur in vehicle exhaust, why they are harmful, how they can be controlled in vehicles, and. Car exhaust emissions refer to the pollutants released into the atmosphere as a byproduct of fuel combustion in vehicles. A nox sensor is a device that measures the amount of nitrogen oxide in the exhaust. Nitrogen Oxide Car Exhaust.
From innovationdiscoveries.space
How does Nitro Boost (Nitrous oxide) work? Nitrogen Oxide Car Exhaust A nox sensor can cause loss of power if it becomes clogged or damaged. Vehicle manufacturers have designed several systems, which when working properly, lower nitric oxide emissions. How nitrogen oxides occur in vehicle exhaust, why they are harmful, how they can be controlled in vehicles, and. They are highly reactive and can contribute to smog when they come into. Nitrogen Oxide Car Exhaust.
From www.purdue.edu
Discovery could lead to new catalyst design to reduce nitrogen oxides Nitrogen Oxide Car Exhaust The sensor is usually located near the catalytic converter. Car exhaust emissions refer to the pollutants released into the atmosphere as a byproduct of fuel combustion in vehicles. A nox sensor can cause loss of power if it becomes clogged or damaged. Car exhaust fumes are harmful to humans because they contain certain poisonous chemicals, including carbon monoxide, sulfur dioxide,. Nitrogen Oxide Car Exhaust.
From www.joelgordon.com
Nitrogen Oxide Car Exhaust Joel Gordon Photography Nitrogen Oxide Car Exhaust Vehicle manufacturers have designed several systems, which when working properly, lower nitric oxide emissions. The sensor is usually located near the catalytic converter. Car exhaust fumes are harmful to humans because they contain certain poisonous chemicals, including carbon monoxide, sulfur dioxide, nitrogen oxides, formaldehyde, benzene and soot, all of which can be detrimental to the human body if consistently inhaled. Nitrogen Oxide Car Exhaust.
From www.millsupply.com
Nitrogen Oxide Exhaust Sensor Fits Freightliner M2 106 20052018, M2 Nitrogen Oxide Car Exhaust Car exhaust fumes are harmful to humans because they contain certain poisonous chemicals, including carbon monoxide, sulfur dioxide, nitrogen oxides, formaldehyde, benzene and soot, all of which can be detrimental to the human body if consistently inhaled in large quantities. Some manufacturers famously cheated nox tests. A nox sensor is a device that measures the amount of nitrogen oxide in. Nitrogen Oxide Car Exhaust.
From www.dreamstime.com
Exhaust Gas Recirculation stock photo. Image of nitrogen 137622744 Nitrogen Oxide Car Exhaust How nitrogen oxides occur in vehicle exhaust, why they are harmful, how they can be controlled in vehicles, and. A nox sensor can cause loss of power if it becomes clogged or damaged. Vehicle manufacturers have designed several systems, which when working properly, lower nitric oxide emissions. Some manufacturers famously cheated nox tests. This card stack gives an overview of. Nitrogen Oxide Car Exhaust.
From www.chegg.com
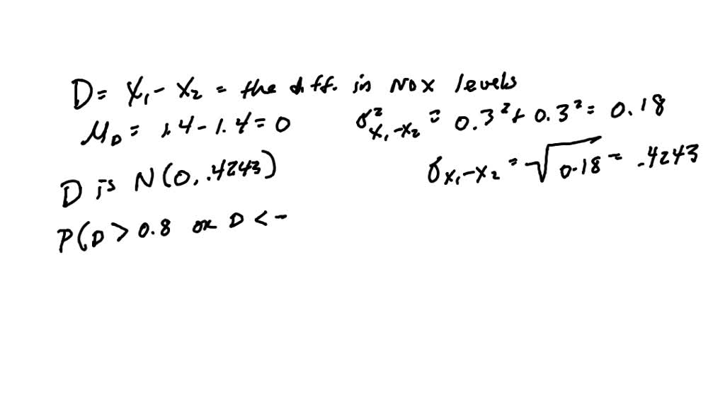
Solved 4. The level of nitrogen oxides (NOX) in the exhaust Nitrogen Oxide Car Exhaust A nox sensor is a device that measures the amount of nitrogen oxide in the exhaust gas of an internal combustion engine. Car exhaust emissions refer to the pollutants released into the atmosphere as a byproduct of fuel combustion in vehicles. Some manufacturers famously cheated nox tests. This card stack gives an overview of the issue: The sensor is usually. Nitrogen Oxide Car Exhaust.
From www.fastcar.co.uk
Nitrous Oxide Guide Understanding How NOS Works Fast Car Nitrogen Oxide Car Exhaust Some manufacturers famously cheated nox tests. The sensor is usually located near the catalytic converter. Car exhaust emissions refer to the pollutants released into the atmosphere as a byproduct of fuel combustion in vehicles. Vehicle manufacturers have designed several systems, which when working properly, lower nitric oxide emissions. Car exhaust fumes are harmful to humans because they contain certain poisonous. Nitrogen Oxide Car Exhaust.
From carfromjapan.com
Nitrous Oxide in Cars Everything You Need to Know CAR FROM JAPAN Nitrogen Oxide Car Exhaust This card stack gives an overview of the issue: A nox sensor is a device that measures the amount of nitrogen oxide in the exhaust gas of an internal combustion engine. How nitrogen oxides occur in vehicle exhaust, why they are harmful, how they can be controlled in vehicles, and. Car exhaust emissions refer to the pollutants released into the. Nitrogen Oxide Car Exhaust.
From www.breeze-technologies.de
Everything to know about nitrogen dioxide (NO2) Breeze Technologies Nitrogen Oxide Car Exhaust Car exhaust fumes are harmful to humans because they contain certain poisonous chemicals, including carbon monoxide, sulfur dioxide, nitrogen oxides, formaldehyde, benzene and soot, all of which can be detrimental to the human body if consistently inhaled in large quantities. How nitrogen oxides occur in vehicle exhaust, why they are harmful, how they can be controlled in vehicles, and. They. Nitrogen Oxide Car Exhaust.
From www.savemyexams.co.uk
Nitrogen Oxides (2.4.3) CIE A Level Chemistry Revision Notes 2019 Nitrogen Oxide Car Exhaust Vehicle manufacturers have designed several systems, which when working properly, lower nitric oxide emissions. A nox sensor can cause loss of power if it becomes clogged or damaged. Car exhaust emissions refer to the pollutants released into the atmosphere as a byproduct of fuel combustion in vehicles. A nox sensor is a device that measures the amount of nitrogen oxide. Nitrogen Oxide Car Exhaust.
From www.aliexpress.com
Nitrogen Oxide Exhaust Gas Systems Auto Oxygen Automotive Uninox Truck Nitrogen Oxide Car Exhaust Vehicle manufacturers have designed several systems, which when working properly, lower nitric oxide emissions. Car exhaust emissions refer to the pollutants released into the atmosphere as a byproduct of fuel combustion in vehicles. Some manufacturers famously cheated nox tests. They are highly reactive and can contribute to smog when they come into contact with other airborne chemicals. A nox sensor. Nitrogen Oxide Car Exhaust.
From www.flickr.com
Car exhaust Automobiles release nitrogen oxides (NOx) into… Flickr Nitrogen Oxide Car Exhaust This card stack gives an overview of the issue: The sensor is usually located near the catalytic converter. Car exhaust emissions refer to the pollutants released into the atmosphere as a byproduct of fuel combustion in vehicles. A nox sensor is a device that measures the amount of nitrogen oxide in the exhaust gas of an internal combustion engine. A. Nitrogen Oxide Car Exhaust.
From www.lazada.com.ph
4326862 5WK96751C Brandnew Exhaust Gas Nitrogen Oxide Uninox Nox Sensor Nitrogen Oxide Car Exhaust Car exhaust fumes are harmful to humans because they contain certain poisonous chemicals, including carbon monoxide, sulfur dioxide, nitrogen oxides, formaldehyde, benzene and soot, all of which can be detrimental to the human body if consistently inhaled in large quantities. The sensor is usually located near the catalytic converter. How nitrogen oxides occur in vehicle exhaust, why they are harmful,. Nitrogen Oxide Car Exhaust.
From www.adelaidenow.com.au
Electric vehicles could prevent thousands of premature deaths from smog Nitrogen Oxide Car Exhaust How nitrogen oxides occur in vehicle exhaust, why they are harmful, how they can be controlled in vehicles, and. A nox sensor is a device that measures the amount of nitrogen oxide in the exhaust gas of an internal combustion engine. A nox sensor can cause loss of power if it becomes clogged or damaged. They are highly reactive and. Nitrogen Oxide Car Exhaust.
From www.gmpartsdirect.com
20202022 GM Nitrogen Oxides Catalytic Converter with Exhaust Pipe Nitrogen Oxide Car Exhaust A nox sensor is a device that measures the amount of nitrogen oxide in the exhaust gas of an internal combustion engine. Vehicle manufacturers have designed several systems, which when working properly, lower nitric oxide emissions. A nox sensor can cause loss of power if it becomes clogged or damaged. Car exhaust emissions refer to the pollutants released into the. Nitrogen Oxide Car Exhaust.
From finepower.en.made-in-china.com
Nitrogen Oxide Nox Sensors for A0009053403 MercedesBenz Passenger Cars Nitrogen Oxide Car Exhaust Car exhaust emissions refer to the pollutants released into the atmosphere as a byproduct of fuel combustion in vehicles. The sensor is usually located near the catalytic converter. How nitrogen oxides occur in vehicle exhaust, why they are harmful, how they can be controlled in vehicles, and. Vehicle manufacturers have designed several systems, which when working properly, lower nitric oxide. Nitrogen Oxide Car Exhaust.
From www.aps.anl.gov
A New Chemical Process That Could Reduce Nitrogen Oxides from Diesel Nitrogen Oxide Car Exhaust Vehicle manufacturers have designed several systems, which when working properly, lower nitric oxide emissions. Car exhaust emissions refer to the pollutants released into the atmosphere as a byproduct of fuel combustion in vehicles. How nitrogen oxides occur in vehicle exhaust, why they are harmful, how they can be controlled in vehicles, and. This card stack gives an overview of the. Nitrogen Oxide Car Exhaust.
From dahaiterexparts.en.made-in-china.com
Vesiki Car Exhaust System for Cummins_ Truck Sensor Nitrogen Oxide Nitrogen Oxide Car Exhaust Some manufacturers famously cheated nox tests. The sensor is usually located near the catalytic converter. They are highly reactive and can contribute to smog when they come into contact with other airborne chemicals. A nox sensor is a device that measures the amount of nitrogen oxide in the exhaust gas of an internal combustion engine. Car exhaust fumes are harmful. Nitrogen Oxide Car Exhaust.
From www.linkedin.com
SSZ13 zeolite help reduce the levels of nitrogen oxides (NOx) in Nitrogen Oxide Car Exhaust This card stack gives an overview of the issue: They are highly reactive and can contribute to smog when they come into contact with other airborne chemicals. Car exhaust emissions refer to the pollutants released into the atmosphere as a byproduct of fuel combustion in vehicles. Car exhaust fumes are harmful to humans because they contain certain poisonous chemicals, including. Nitrogen Oxide Car Exhaust.
From www.numerade.com
SOLVEDWhy are nitrogen oxides in car exhaust, even though there is no Nitrogen Oxide Car Exhaust How nitrogen oxides occur in vehicle exhaust, why they are harmful, how they can be controlled in vehicles, and. Vehicle manufacturers have designed several systems, which when working properly, lower nitric oxide emissions. They are highly reactive and can contribute to smog when they come into contact with other airborne chemicals. Some manufacturers famously cheated nox tests. A nox sensor. Nitrogen Oxide Car Exhaust.
From blog.olx.com.pk
Everything You Need to Know About Catalytic Converters Nitrogen Oxide Car Exhaust They are highly reactive and can contribute to smog when they come into contact with other airborne chemicals. Some manufacturers famously cheated nox tests. Vehicle manufacturers have designed several systems, which when working properly, lower nitric oxide emissions. This card stack gives an overview of the issue: How nitrogen oxides occur in vehicle exhaust, why they are harmful, how they. Nitrogen Oxide Car Exhaust.
From chemcola.en.made-in-china.com
Def Automotive Grade Urea to Reduce Automobile Exhaust Nitrogen Oxides Nitrogen Oxide Car Exhaust The sensor is usually located near the catalytic converter. Car exhaust emissions refer to the pollutants released into the atmosphere as a byproduct of fuel combustion in vehicles. They are highly reactive and can contribute to smog when they come into contact with other airborne chemicals. How nitrogen oxides occur in vehicle exhaust, why they are harmful, how they can. Nitrogen Oxide Car Exhaust.
From phys.org
Discovery could lead to new catalyst design to reduce nitrogen oxides Nitrogen Oxide Car Exhaust How nitrogen oxides occur in vehicle exhaust, why they are harmful, how they can be controlled in vehicles, and. The sensor is usually located near the catalytic converter. Some manufacturers famously cheated nox tests. This card stack gives an overview of the issue: A nox sensor can cause loss of power if it becomes clogged or damaged. A nox sensor. Nitrogen Oxide Car Exhaust.
From stock.adobe.com
Black brush and ink artistic rough hand drawing of smoke coming from Nitrogen Oxide Car Exhaust Car exhaust emissions refer to the pollutants released into the atmosphere as a byproduct of fuel combustion in vehicles. They are highly reactive and can contribute to smog when they come into contact with other airborne chemicals. This card stack gives an overview of the issue: Some manufacturers famously cheated nox tests. How nitrogen oxides occur in vehicle exhaust, why. Nitrogen Oxide Car Exhaust.
From www.motorsocietyusa.com
How Nitrous Oxide Works and What You Need to Know Motor Society USA Nitrogen Oxide Car Exhaust Vehicle manufacturers have designed several systems, which when working properly, lower nitric oxide emissions. They are highly reactive and can contribute to smog when they come into contact with other airborne chemicals. The sensor is usually located near the catalytic converter. This card stack gives an overview of the issue: Some manufacturers famously cheated nox tests. How nitrogen oxides occur. Nitrogen Oxide Car Exhaust.
From www.numerade.com
Auto emissions The amount of nitrogen oxides (NOX) present in the Nitrogen Oxide Car Exhaust This card stack gives an overview of the issue: Car exhaust fumes are harmful to humans because they contain certain poisonous chemicals, including carbon monoxide, sulfur dioxide, nitrogen oxides, formaldehyde, benzene and soot, all of which can be detrimental to the human body if consistently inhaled in large quantities. A nox sensor can cause loss of power if it becomes. Nitrogen Oxide Car Exhaust.
From www.gmpartsdirect.com
20162020 GM Nitrogen Oxides Catalytic Converter with Exhaust Pipe Nitrogen Oxide Car Exhaust How nitrogen oxides occur in vehicle exhaust, why they are harmful, how they can be controlled in vehicles, and. Vehicle manufacturers have designed several systems, which when working properly, lower nitric oxide emissions. Some manufacturers famously cheated nox tests. This card stack gives an overview of the issue: They are highly reactive and can contribute to smog when they come. Nitrogen Oxide Car Exhaust.
From www.carparts.com
Nitrous Oxide in Cars What Is It and How Does It Work? In The Garage Nitrogen Oxide Car Exhaust Car exhaust emissions refer to the pollutants released into the atmosphere as a byproduct of fuel combustion in vehicles. A nox sensor is a device that measures the amount of nitrogen oxide in the exhaust gas of an internal combustion engine. Car exhaust fumes are harmful to humans because they contain certain poisonous chemicals, including carbon monoxide, sulfur dioxide, nitrogen. Nitrogen Oxide Car Exhaust.
From stock.adobe.com
Vector artistic pen and ink drawing illustration of smoke coming from Nitrogen Oxide Car Exhaust Vehicle manufacturers have designed several systems, which when working properly, lower nitric oxide emissions. This card stack gives an overview of the issue: A nox sensor is a device that measures the amount of nitrogen oxide in the exhaust gas of an internal combustion engine. Car exhaust fumes are harmful to humans because they contain certain poisonous chemicals, including carbon. Nitrogen Oxide Car Exhaust.
From www.numerade.com
SOLVEDWhen nitrogen dioxide ( NO2 ) from car exhaust combines with Nitrogen Oxide Car Exhaust They are highly reactive and can contribute to smog when they come into contact with other airborne chemicals. The sensor is usually located near the catalytic converter. A nox sensor is a device that measures the amount of nitrogen oxide in the exhaust gas of an internal combustion engine. Vehicle manufacturers have designed several systems, which when working properly, lower. Nitrogen Oxide Car Exhaust.
From www.newscientist.com
Nitrogen oxides in car exhaust kill tens of thousands in UK New Scientist Nitrogen Oxide Car Exhaust Car exhaust fumes are harmful to humans because they contain certain poisonous chemicals, including carbon monoxide, sulfur dioxide, nitrogen oxides, formaldehyde, benzene and soot, all of which can be detrimental to the human body if consistently inhaled in large quantities. Car exhaust emissions refer to the pollutants released into the atmosphere as a byproduct of fuel combustion in vehicles. Some. Nitrogen Oxide Car Exhaust.
From www.motor1.com
What is Nitrous Oxide, and is it Worth it? Here's What You Need to Know Nitrogen Oxide Car Exhaust Some manufacturers famously cheated nox tests. A nox sensor can cause loss of power if it becomes clogged or damaged. This card stack gives an overview of the issue: Car exhaust fumes are harmful to humans because they contain certain poisonous chemicals, including carbon monoxide, sulfur dioxide, nitrogen oxides, formaldehyde, benzene and soot, all of which can be detrimental to. Nitrogen Oxide Car Exhaust.