How To Get Zoom For More Than 40 Minutes . learn how long your zoom meeting can last depending on whether you have a free or paid license, and how many hosts and. Also, find out about google meet's free. learn how zoom is changing the meeting duration limit for 1:1 meetings hosted by basic (free) users on paid accounts to 40. Also, find answers to common questions about zoom features and alternatives. This article shows you the steps and.
from www.youtube.com
learn how zoom is changing the meeting duration limit for 1:1 meetings hosted by basic (free) users on paid accounts to 40. Also, find answers to common questions about zoom features and alternatives. This article shows you the steps and. Also, find out about google meet's free. learn how long your zoom meeting can last depending on whether you have a free or paid license, and how many hosts and.
How To Extend Zoom Meeting Time Limit 2023 Increase Zoom Meeting More
How To Get Zoom For More Than 40 Minutes learn how long your zoom meeting can last depending on whether you have a free or paid license, and how many hosts and. Also, find answers to common questions about zoom features and alternatives. learn how long your zoom meeting can last depending on whether you have a free or paid license, and how many hosts and. This article shows you the steps and. Also, find out about google meet's free. learn how zoom is changing the meeting duration limit for 1:1 meetings hosted by basic (free) users on paid accounts to 40.
From www.pinterest.com
Does this thing zoom in any more? Memes Humor, Cat Memes, Funny Memes How To Get Zoom For More Than 40 Minutes Also, find out about google meet's free. This article shows you the steps and. learn how zoom is changing the meeting duration limit for 1:1 meetings hosted by basic (free) users on paid accounts to 40. Also, find answers to common questions about zoom features and alternatives. learn how long your zoom meeting can last depending on whether. How To Get Zoom For More Than 40 Minutes.
From audiolader.weebly.com
Set a timer for 40 minutes audiolader How To Get Zoom For More Than 40 Minutes Also, find answers to common questions about zoom features and alternatives. Also, find out about google meet's free. learn how long your zoom meeting can last depending on whether you have a free or paid license, and how many hosts and. This article shows you the steps and. learn how zoom is changing the meeting duration limit for. How To Get Zoom For More Than 40 Minutes.
From geekflare.com
33 Interesting YouTube Facts That You Might Not Know About How To Get Zoom For More Than 40 Minutes Also, find answers to common questions about zoom features and alternatives. learn how zoom is changing the meeting duration limit for 1:1 meetings hosted by basic (free) users on paid accounts to 40. learn how long your zoom meeting can last depending on whether you have a free or paid license, and how many hosts and. Also, find. How To Get Zoom For More Than 40 Minutes.
From bocanewsnow.com
Zoom Eliminates 40 Minute Limit For Thanksgiving How To Get Zoom For More Than 40 Minutes This article shows you the steps and. learn how long your zoom meeting can last depending on whether you have a free or paid license, and how many hosts and. Also, find out about google meet's free. Also, find answers to common questions about zoom features and alternatives. learn how zoom is changing the meeting duration limit for. How To Get Zoom For More Than 40 Minutes.
From techiteasyworkshop.co.uk
Jitsi The Zoom Alternative Tech it Easy How To Get Zoom For More Than 40 Minutes This article shows you the steps and. Also, find out about google meet's free. learn how zoom is changing the meeting duration limit for 1:1 meetings hosted by basic (free) users on paid accounts to 40. learn how long your zoom meeting can last depending on whether you have a free or paid license, and how many hosts. How To Get Zoom For More Than 40 Minutes.
From wessingapore.weebly.com
Download zoom for windows 10 wessingapore How To Get Zoom For More Than 40 Minutes learn how long your zoom meeting can last depending on whether you have a free or paid license, and how many hosts and. Also, find answers to common questions about zoom features and alternatives. Also, find out about google meet's free. learn how zoom is changing the meeting duration limit for 1:1 meetings hosted by basic (free) users. How To Get Zoom For More Than 40 Minutes.
From www.cntraveller.in
How to rock a Zoom wedding tips from 4 Indian couples for guests and How To Get Zoom For More Than 40 Minutes This article shows you the steps and. Also, find answers to common questions about zoom features and alternatives. Also, find out about google meet's free. learn how long your zoom meeting can last depending on whether you have a free or paid license, and how many hosts and. learn how zoom is changing the meeting duration limit for. How To Get Zoom For More Than 40 Minutes.
From polewizards.weebly.com
Saving zoom app download polewizards How To Get Zoom For More Than 40 Minutes learn how zoom is changing the meeting duration limit for 1:1 meetings hosted by basic (free) users on paid accounts to 40. Also, find out about google meet's free. learn how long your zoom meeting can last depending on whether you have a free or paid license, and how many hosts and. Also, find answers to common questions. How To Get Zoom For More Than 40 Minutes.
From adage.com
Rainn Wilson on AT&T Business campaign with 'The Office' actors Ad Age How To Get Zoom For More Than 40 Minutes learn how long your zoom meeting can last depending on whether you have a free or paid license, and how many hosts and. Also, find out about google meet's free. learn how zoom is changing the meeting duration limit for 1:1 meetings hosted by basic (free) users on paid accounts to 40. This article shows you the steps. How To Get Zoom For More Than 40 Minutes.
From karenapp.io
Zoom Personal Use Everything You Need To Get Zoom Running How To Get Zoom For More Than 40 Minutes learn how zoom is changing the meeting duration limit for 1:1 meetings hosted by basic (free) users on paid accounts to 40. Also, find out about google meet's free. This article shows you the steps and. Also, find answers to common questions about zoom features and alternatives. learn how long your zoom meeting can last depending on whether. How To Get Zoom For More Than 40 Minutes.
From www.world-today-news.com
Quincy Jones Rushed to Emergency Room After Reaction to Food Details How To Get Zoom For More Than 40 Minutes learn how zoom is changing the meeting duration limit for 1:1 meetings hosted by basic (free) users on paid accounts to 40. This article shows you the steps and. learn how long your zoom meeting can last depending on whether you have a free or paid license, and how many hosts and. Also, find out about google meet's. How To Get Zoom For More Than 40 Minutes.
From www.youtube.com
How to do Zoom More than 40 Minute Limit YouTube How To Get Zoom For More Than 40 Minutes This article shows you the steps and. learn how zoom is changing the meeting duration limit for 1:1 meetings hosted by basic (free) users on paid accounts to 40. Also, find answers to common questions about zoom features and alternatives. learn how long your zoom meeting can last depending on whether you have a free or paid license,. How To Get Zoom For More Than 40 Minutes.
From www.facebook.com
Crash blocks I77 northbound. BREAKING More than a dozen vehicles in How To Get Zoom For More Than 40 Minutes Also, find out about google meet's free. This article shows you the steps and. learn how zoom is changing the meeting duration limit for 1:1 meetings hosted by basic (free) users on paid accounts to 40. Also, find answers to common questions about zoom features and alternatives. learn how long your zoom meeting can last depending on whether. How To Get Zoom For More Than 40 Minutes.
From appadvertising-reviews.com
An review of the Zoom application video conferencing software. How To Get Zoom For More Than 40 Minutes learn how long your zoom meeting can last depending on whether you have a free or paid license, and how many hosts and. Also, find out about google meet's free. learn how zoom is changing the meeting duration limit for 1:1 meetings hosted by basic (free) users on paid accounts to 40. Also, find answers to common questions. How To Get Zoom For More Than 40 Minutes.
From www.numerade.com
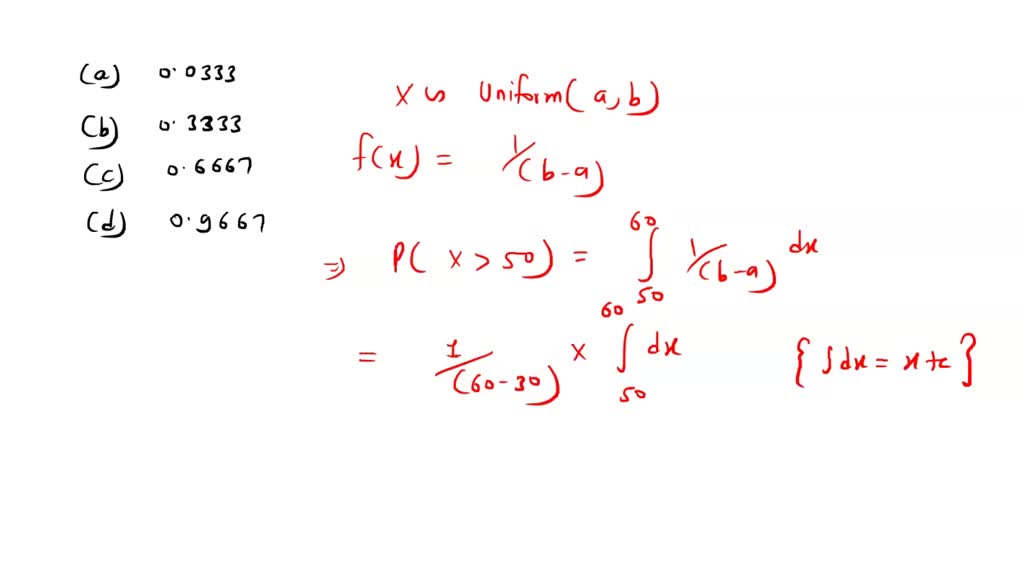
SOLVED 19. The travel time for a college student traveling between her How To Get Zoom For More Than 40 Minutes learn how zoom is changing the meeting duration limit for 1:1 meetings hosted by basic (free) users on paid accounts to 40. Also, find out about google meet's free. learn how long your zoom meeting can last depending on whether you have a free or paid license, and how many hosts and. Also, find answers to common questions. How To Get Zoom For More Than 40 Minutes.
From www.coursehero.com
[Solved] . A manufacturing firm produces two machine parts using lathes How To Get Zoom For More Than 40 Minutes This article shows you the steps and. Also, find answers to common questions about zoom features and alternatives. Also, find out about google meet's free. learn how zoom is changing the meeting duration limit for 1:1 meetings hosted by basic (free) users on paid accounts to 40. learn how long your zoom meeting can last depending on whether. How To Get Zoom For More Than 40 Minutes.
From www.youtube.com
How to use Zoom more than 40 minutes each time YouTube How To Get Zoom For More Than 40 Minutes learn how zoom is changing the meeting duration limit for 1:1 meetings hosted by basic (free) users on paid accounts to 40. This article shows you the steps and. Also, find answers to common questions about zoom features and alternatives. Also, find out about google meet's free. learn how long your zoom meeting can last depending on whether. How To Get Zoom For More Than 40 Minutes.
From www.numerade.com
According to a manager, it takes an average weekday commute of 39 How To Get Zoom For More Than 40 Minutes Also, find out about google meet's free. This article shows you the steps and. learn how zoom is changing the meeting duration limit for 1:1 meetings hosted by basic (free) users on paid accounts to 40. Also, find answers to common questions about zoom features and alternatives. learn how long your zoom meeting can last depending on whether. How To Get Zoom For More Than 40 Minutes.
From greper.weebly.com
Set up zoom greper How To Get Zoom For More Than 40 Minutes Also, find out about google meet's free. learn how long your zoom meeting can last depending on whether you have a free or paid license, and how many hosts and. learn how zoom is changing the meeting duration limit for 1:1 meetings hosted by basic (free) users on paid accounts to 40. Also, find answers to common questions. How To Get Zoom For More Than 40 Minutes.
From www.youtube.com
The Difference Between Digital Zoom & Optical Zoom YouTube How To Get Zoom For More Than 40 Minutes learn how long your zoom meeting can last depending on whether you have a free or paid license, and how many hosts and. Also, find out about google meet's free. This article shows you the steps and. Also, find answers to common questions about zoom features and alternatives. learn how zoom is changing the meeting duration limit for. How To Get Zoom For More Than 40 Minutes.
From www.chegg.com
Solved he travel time for a college student traveling How To Get Zoom For More Than 40 Minutes This article shows you the steps and. Also, find out about google meet's free. Also, find answers to common questions about zoom features and alternatives. learn how zoom is changing the meeting duration limit for 1:1 meetings hosted by basic (free) users on paid accounts to 40. learn how long your zoom meeting can last depending on whether. How To Get Zoom For More Than 40 Minutes.
From www.purevpn.com
Best Free VoIP Services in Security & Privacy PureVPN Blog How To Get Zoom For More Than 40 Minutes Also, find out about google meet's free. Also, find answers to common questions about zoom features and alternatives. learn how long your zoom meeting can last depending on whether you have a free or paid license, and how many hosts and. This article shows you the steps and. learn how zoom is changing the meeting duration limit for. How To Get Zoom For More Than 40 Minutes.
From www.youtube.com
More than 40 minutes? Is it possible with Zoom? Yes YouTube How To Get Zoom For More Than 40 Minutes Also, find out about google meet's free. learn how zoom is changing the meeting duration limit for 1:1 meetings hosted by basic (free) users on paid accounts to 40. Also, find answers to common questions about zoom features and alternatives. learn how long your zoom meeting can last depending on whether you have a free or paid license,. How To Get Zoom For More Than 40 Minutes.
From www.youtube.com
How To Extend Zoom Meeting Time Limit 2023 Increase Zoom Meeting More How To Get Zoom For More Than 40 Minutes Also, find answers to common questions about zoom features and alternatives. learn how long your zoom meeting can last depending on whether you have a free or paid license, and how many hosts and. Also, find out about google meet's free. learn how zoom is changing the meeting duration limit for 1:1 meetings hosted by basic (free) users. How To Get Zoom For More Than 40 Minutes.
From schreibtischstuhletestberichte.blogspot.com
teleprompter app for mac zoom Coy Earle How To Get Zoom For More Than 40 Minutes learn how long your zoom meeting can last depending on whether you have a free or paid license, and how many hosts and. This article shows you the steps and. Also, find out about google meet's free. learn how zoom is changing the meeting duration limit for 1:1 meetings hosted by basic (free) users on paid accounts to. How To Get Zoom For More Than 40 Minutes.
From www.buzzsprout.com
How to Record a Podcast on Zoom [Best Settings for 2022] How To Get Zoom For More Than 40 Minutes Also, find out about google meet's free. learn how zoom is changing the meeting duration limit for 1:1 meetings hosted by basic (free) users on paid accounts to 40. Also, find answers to common questions about zoom features and alternatives. This article shows you the steps and. learn how long your zoom meeting can last depending on whether. How To Get Zoom For More Than 40 Minutes.
From forums.sabnzbd.org
Slow verifying and unpacking speeds after moving server and setting up How To Get Zoom For More Than 40 Minutes learn how long your zoom meeting can last depending on whether you have a free or paid license, and how many hosts and. Also, find out about google meet's free. Also, find answers to common questions about zoom features and alternatives. This article shows you the steps and. learn how zoom is changing the meeting duration limit for. How To Get Zoom For More Than 40 Minutes.
From www.cookingwithnart.com
Homemade Sriracha Sauce Cooking with Nart How To Get Zoom For More Than 40 Minutes learn how long your zoom meeting can last depending on whether you have a free or paid license, and how many hosts and. This article shows you the steps and. Also, find answers to common questions about zoom features and alternatives. learn how zoom is changing the meeting duration limit for 1:1 meetings hosted by basic (free) users. How To Get Zoom For More Than 40 Minutes.
From www.youtube.com
How To Extend Zoom Meeting Time Limit 2023 Increase Zoom Meeting More How To Get Zoom For More Than 40 Minutes Also, find answers to common questions about zoom features and alternatives. Also, find out about google meet's free. learn how long your zoom meeting can last depending on whether you have a free or paid license, and how many hosts and. learn how zoom is changing the meeting duration limit for 1:1 meetings hosted by basic (free) users. How To Get Zoom For More Than 40 Minutes.
From nandbox.com
Create an App Like WhatsApp In Less Than 40 Minutes! How To Get Zoom For More Than 40 Minutes Also, find answers to common questions about zoom features and alternatives. Also, find out about google meet's free. learn how long your zoom meeting can last depending on whether you have a free or paid license, and how many hosts and. This article shows you the steps and. learn how zoom is changing the meeting duration limit for. How To Get Zoom For More Than 40 Minutes.
From www.newsbytesapp.com
TechBytes How to get the most out of Zoom How To Get Zoom For More Than 40 Minutes This article shows you the steps and. Also, find out about google meet's free. learn how zoom is changing the meeting duration limit for 1:1 meetings hosted by basic (free) users on paid accounts to 40. learn how long your zoom meeting can last depending on whether you have a free or paid license, and how many hosts. How To Get Zoom For More Than 40 Minutes.
From www.youtube.com
Quick Course Module 6 in less than 40 minutes Teaching English Online How To Get Zoom For More Than 40 Minutes This article shows you the steps and. Also, find answers to common questions about zoom features and alternatives. learn how zoom is changing the meeting duration limit for 1:1 meetings hosted by basic (free) users on paid accounts to 40. Also, find out about google meet's free. learn how long your zoom meeting can last depending on whether. How To Get Zoom For More Than 40 Minutes.
From www.youtube.com
How to organize a ZOOM meeting more than 40 minutes/විනාඩි 40 වැඩියන් How To Get Zoom For More Than 40 Minutes Also, find answers to common questions about zoom features and alternatives. learn how zoom is changing the meeting duration limit for 1:1 meetings hosted by basic (free) users on paid accounts to 40. learn how long your zoom meeting can last depending on whether you have a free or paid license, and how many hosts and. Also, find. How To Get Zoom For More Than 40 Minutes.
From www.vecteezy.com
Two minutes icon on white background. 2 minutes timer sign. 2min time How To Get Zoom For More Than 40 Minutes learn how zoom is changing the meeting duration limit for 1:1 meetings hosted by basic (free) users on paid accounts to 40. Also, find answers to common questions about zoom features and alternatives. learn how long your zoom meeting can last depending on whether you have a free or paid license, and how many hosts and. Also, find. How To Get Zoom For More Than 40 Minutes.
From ktar.com
Before Preston Lord's death, Queen Creek police left the area How To Get Zoom For More Than 40 Minutes learn how long your zoom meeting can last depending on whether you have a free or paid license, and how many hosts and. Also, find out about google meet's free. learn how zoom is changing the meeting duration limit for 1:1 meetings hosted by basic (free) users on paid accounts to 40. Also, find answers to common questions. How To Get Zoom For More Than 40 Minutes.