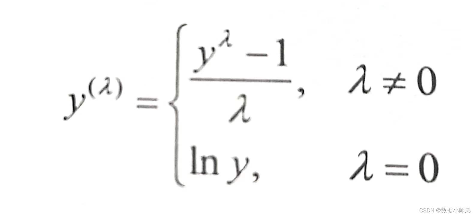
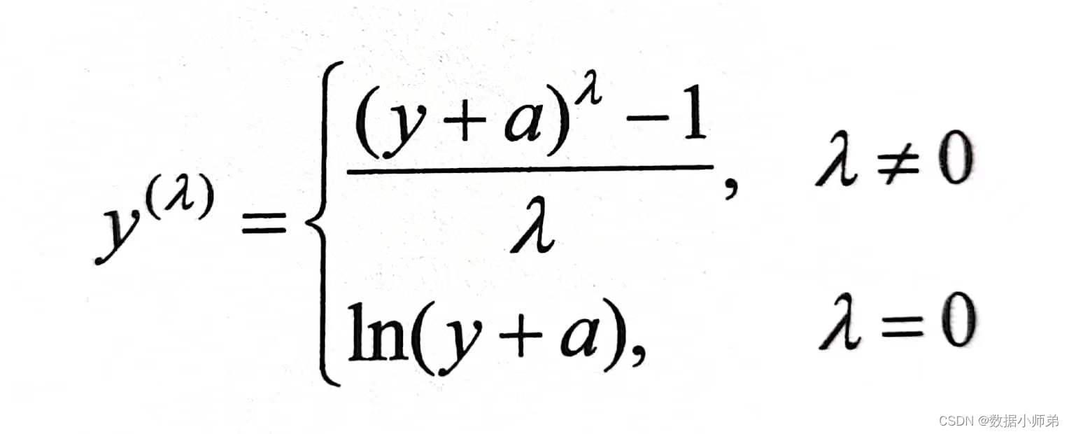
Python Box Cox Negative Values . How can we convert our intuitive thinking into a mathematical transformation function? And returns an object, such as an instance of scipy.optimize.optimizeresult,. It is capable of handling positive and negative values, also.
from statisticsglobe.com
And returns an object, such as an instance of scipy.optimize.optimizeresult,. How can we convert our intuitive thinking into a mathematical transformation function? It is capable of handling positive and negative values, also.
What Means a Negative List Index in Python? (Indexing Example)
Python Box Cox Negative Values And returns an object, such as an instance of scipy.optimize.optimizeresult,. It is capable of handling positive and negative values, also. How can we convert our intuitive thinking into a mathematical transformation function? And returns an object, such as an instance of scipy.optimize.optimizeresult,.
From statisticsglobe.com
What Means a Negative List Index in Python? (Indexing Example) Python Box Cox Negative Values And returns an object, such as an instance of scipy.optimize.optimizeresult,. How can we convert our intuitive thinking into a mathematical transformation function? It is capable of handling positive and negative values, also. Python Box Cox Negative Values.
From www.vrogue.co
Python Box Cox Transformation vrogue.co Python Box Cox Negative Values It is capable of handling positive and negative values, also. And returns an object, such as an instance of scipy.optimize.optimizeresult,. How can we convert our intuitive thinking into a mathematical transformation function? Python Box Cox Negative Values.
From verytoolz.com
Python BoxCox 变换 码农参考 Python Box Cox Negative Values It is capable of handling positive and negative values, also. How can we convert our intuitive thinking into a mathematical transformation function? And returns an object, such as an instance of scipy.optimize.optimizeresult,. Python Box Cox Negative Values.
From blog.csdn.net
python boxcox变换 记录_boxcox chartsCSDN博客 Python Box Cox Negative Values And returns an object, such as an instance of scipy.optimize.optimizeresult,. It is capable of handling positive and negative values, also. How can we convert our intuitive thinking into a mathematical transformation function? Python Box Cox Negative Values.
From blog.csdn.net
基于Python回归模型的BOXCOX变换和强影响点分析_boxcox怎么看图判断CSDN博客 Python Box Cox Negative Values It is capable of handling positive and negative values, also. And returns an object, such as an instance of scipy.optimize.optimizeresult,. How can we convert our intuitive thinking into a mathematical transformation function? Python Box Cox Negative Values.
From www.kmdatascience.com
Box Cox Transformations in Python Python Box Cox Negative Values And returns an object, such as an instance of scipy.optimize.optimizeresult,. How can we convert our intuitive thinking into a mathematical transformation function? It is capable of handling positive and negative values, also. Python Box Cox Negative Values.
From iq.opengenus.org
Negative Index in Python Python Box Cox Negative Values And returns an object, such as an instance of scipy.optimize.optimizeresult,. How can we convert our intuitive thinking into a mathematical transformation function? It is capable of handling positive and negative values, also. Python Box Cox Negative Values.
From worker.norushcharge.com
How to Perform a BoxCox Transformation in R (With Examples) Python Box Cox Negative Values How can we convert our intuitive thinking into a mathematical transformation function? And returns an object, such as an instance of scipy.optimize.optimizeresult,. It is capable of handling positive and negative values, also. Python Box Cox Negative Values.
From stacktuts.com
How to generate negative random value in python? StackTuts Python Box Cox Negative Values It is capable of handling positive and negative values, also. And returns an object, such as an instance of scipy.optimize.optimizeresult,. How can we convert our intuitive thinking into a mathematical transformation function? Python Box Cox Negative Values.
From www.youtube.com
Python Normality Box Cox 1 YouTube Python Box Cox Negative Values How can we convert our intuitive thinking into a mathematical transformation function? And returns an object, such as an instance of scipy.optimize.optimizeresult,. It is capable of handling positive and negative values, also. Python Box Cox Negative Values.
From stacktuts.com
How to apply boxcox transformation in python? StackTuts Python Box Cox Negative Values It is capable of handling positive and negative values, also. How can we convert our intuitive thinking into a mathematical transformation function? And returns an object, such as an instance of scipy.optimize.optimizeresult,. Python Box Cox Negative Values.
From www.statology.org
How to Perform a BoxCox Transformation in Python Python Box Cox Negative Values It is capable of handling positive and negative values, also. How can we convert our intuitive thinking into a mathematical transformation function? And returns an object, such as an instance of scipy.optimize.optimizeresult,. Python Box Cox Negative Values.
From www.scribd.com
Python BoxCox Transformation PDF Normal Python Box Cox Negative Values And returns an object, such as an instance of scipy.optimize.optimizeresult,. It is capable of handling positive and negative values, also. How can we convert our intuitive thinking into a mathematical transformation function? Python Box Cox Negative Values.
From blog.enterprisedna.co
5 Way How to Reverse a Range in Python A StepByStep Guide Master Python Box Cox Negative Values How can we convert our intuitive thinking into a mathematical transformation function? It is capable of handling positive and negative values, also. And returns an object, such as an instance of scipy.optimize.optimizeresult,. Python Box Cox Negative Values.
From www.vrogue.co
Python Box Cox Transformation vrogue.co Python Box Cox Negative Values It is capable of handling positive and negative values, also. How can we convert our intuitive thinking into a mathematical transformation function? And returns an object, such as an instance of scipy.optimize.optimizeresult,. Python Box Cox Negative Values.
From www.vrogue.co
Python Box Cox Transformation vrogue.co Python Box Cox Negative Values It is capable of handling positive and negative values, also. How can we convert our intuitive thinking into a mathematical transformation function? And returns an object, such as an instance of scipy.optimize.optimizeresult,. Python Box Cox Negative Values.
From 9to5answer.com
[Solved] How to apply BoxCox transformation in Python? 9to5Answer Python Box Cox Negative Values It is capable of handling positive and negative values, also. And returns an object, such as an instance of scipy.optimize.optimizeresult,. How can we convert our intuitive thinking into a mathematical transformation function? Python Box Cox Negative Values.
From www.kmdatascience.com
Box Cox Transformations in Python Python Box Cox Negative Values It is capable of handling positive and negative values, also. How can we convert our intuitive thinking into a mathematical transformation function? And returns an object, such as an instance of scipy.optimize.optimizeresult,. Python Box Cox Negative Values.
From www.scribd.com
How To Perform A BoxCox Transformation in Python Statology PDF Python Box Cox Negative Values And returns an object, such as an instance of scipy.optimize.optimizeresult,. How can we convert our intuitive thinking into a mathematical transformation function? It is capable of handling positive and negative values, also. Python Box Cox Negative Values.
From www.itsolutionstuff.com
How to Get Only Negative Values in Python List? Python Box Cox Negative Values How can we convert our intuitive thinking into a mathematical transformation function? And returns an object, such as an instance of scipy.optimize.optimizeresult,. It is capable of handling positive and negative values, also. Python Box Cox Negative Values.
From blog.csdn.net
基于Python回归模型的BOXCOX变换和强影响点分析_boxcox怎么看图判断CSDN博客 Python Box Cox Negative Values And returns an object, such as an instance of scipy.optimize.optimizeresult,. It is capable of handling positive and negative values, also. How can we convert our intuitive thinking into a mathematical transformation function? Python Box Cox Negative Values.
From gojado.blogspot.com
BoxCox transformation gojado Python Box Cox Negative Values How can we convert our intuitive thinking into a mathematical transformation function? And returns an object, such as an instance of scipy.optimize.optimizeresult,. It is capable of handling positive and negative values, also. Python Box Cox Negative Values.
From www.youtube.com
SERIE TEMPORELLE et PYTHON 3 transformation de Box Cox YouTube Python Box Cox Negative Values And returns an object, such as an instance of scipy.optimize.optimizeresult,. How can we convert our intuitive thinking into a mathematical transformation function? It is capable of handling positive and negative values, also. Python Box Cox Negative Values.
From www.askpython.com
Negative Indexing in Python List How to Use "1" Parameter AskPython Python Box Cox Negative Values How can we convert our intuitive thinking into a mathematical transformation function? It is capable of handling positive and negative values, also. And returns an object, such as an instance of scipy.optimize.optimizeresult,. Python Box Cox Negative Values.
From ogre51.medium.com
Transforming Data for Statistical Analysis The Power of BoxCox Python Box Cox Negative Values It is capable of handling positive and negative values, also. And returns an object, such as an instance of scipy.optimize.optimizeresult,. How can we convert our intuitive thinking into a mathematical transformation function? Python Box Cox Negative Values.
From blog.finxter.com
Python range() Function — A Helpful Illustrated Guide Be on the Right Python Box Cox Negative Values How can we convert our intuitive thinking into a mathematical transformation function? And returns an object, such as an instance of scipy.optimize.optimizeresult,. It is capable of handling positive and negative values, also. Python Box Cox Negative Values.
From www.vrogue.co
How To Perform A Box Cox Transformation In Python Statology Vrogue Python Box Cox Negative Values And returns an object, such as an instance of scipy.optimize.optimizeresult,. It is capable of handling positive and negative values, also. How can we convert our intuitive thinking into a mathematical transformation function? Python Box Cox Negative Values.
From www.zhihu.com
如何用 python 做 cox 分析和 lasso 回归? 知乎 Python Box Cox Negative Values It is capable of handling positive and negative values, also. And returns an object, such as an instance of scipy.optimize.optimizeresult,. How can we convert our intuitive thinking into a mathematical transformation function? Python Box Cox Negative Values.
From github.com
BoxCoxTransformationPythonExample/box_cox.py at master Python Box Cox Negative Values And returns an object, such as an instance of scipy.optimize.optimizeresult,. How can we convert our intuitive thinking into a mathematical transformation function? It is capable of handling positive and negative values, also. Python Box Cox Negative Values.
From www.youtube.com
Fundamentals of PythonLesson 2Using a negative indexEnglish YouTube Python Box Cox Negative Values It is capable of handling positive and negative values, also. And returns an object, such as an instance of scipy.optimize.optimizeresult,. How can we convert our intuitive thinking into a mathematical transformation function? Python Box Cox Negative Values.
From verytoolz.com
Python BoxCox 变换 码农参考 Python Box Cox Negative Values How can we convert our intuitive thinking into a mathematical transformation function? It is capable of handling positive and negative values, also. And returns an object, such as an instance of scipy.optimize.optimizeresult,. Python Box Cox Negative Values.
From www.youtube.com
PYTHON Reverse BoxCox transformation YouTube Python Box Cox Negative Values It is capable of handling positive and negative values, also. And returns an object, such as an instance of scipy.optimize.optimizeresult,. How can we convert our intuitive thinking into a mathematical transformation function? Python Box Cox Negative Values.
From blog.csdn.net
数据预处理—5.boxcox变换及python实现_boxcox变换pythonCSDN博客 Python Box Cox Negative Values And returns an object, such as an instance of scipy.optimize.optimizeresult,. It is capable of handling positive and negative values, also. How can we convert our intuitive thinking into a mathematical transformation function? Python Box Cox Negative Values.
From www.statology.org
How to Perform a BoxCox Transformation in Python Python Box Cox Negative Values And returns an object, such as an instance of scipy.optimize.optimizeresult,. How can we convert our intuitive thinking into a mathematical transformation function? It is capable of handling positive and negative values, also. Python Box Cox Negative Values.
From www.tpsearchtool.com
How To Perform A Box Cox Transformation In Python Statology Images Python Box Cox Negative Values It is capable of handling positive and negative values, also. How can we convert our intuitive thinking into a mathematical transformation function? And returns an object, such as an instance of scipy.optimize.optimizeresult,. Python Box Cox Negative Values.