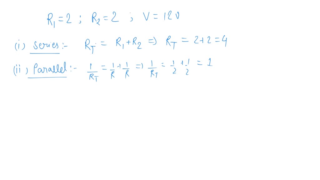
Two Identical Resistors Connected In Series . How many times larger is the current drawn from the. Two resistors connected in series \((r_1, \, r_2)\) are connected to two resistors that are connected in parallel \((r_3, \, r_4)\). Q.88 two identical resistors of resistance r are connected in series with a battery of. The ratio of the equivalent capacitance in two cases is : Three capacitors 3μf,9f and 18μf are connected first in series and then in parallel. If one of the resistors is removed from the. Two identical resistors are connected in series across the terminals of a battery with a voltage v and a current i flows through the circuit. Two identical resistors (each with resistance r) are connected together in series and then this combination is wired in parallel to a 25 ω. But for a simple case, such as two resistors connected in series versus the same resistors connected in parallel (with identical voltage sources in both), the power.
from electricalacademia.com
The ratio of the equivalent capacitance in two cases is : Two resistors connected in series \((r_1, \, r_2)\) are connected to two resistors that are connected in parallel \((r_3, \, r_4)\). But for a simple case, such as two resistors connected in series versus the same resistors connected in parallel (with identical voltage sources in both), the power. Three capacitors 3μf,9f and 18μf are connected first in series and then in parallel. Two identical resistors (each with resistance r) are connected together in series and then this combination is wired in parallel to a 25 ω. If one of the resistors is removed from the. Two identical resistors are connected in series across the terminals of a battery with a voltage v and a current i flows through the circuit. Q.88 two identical resistors of resistance r are connected in series with a battery of. How many times larger is the current drawn from the.
Resistors in Series and Parallel Electrical Academia
Two Identical Resistors Connected In Series Two resistors connected in series \((r_1, \, r_2)\) are connected to two resistors that are connected in parallel \((r_3, \, r_4)\). Q.88 two identical resistors of resistance r are connected in series with a battery of. Two identical resistors are connected in series across the terminals of a battery with a voltage v and a current i flows through the circuit. Two resistors connected in series \((r_1, \, r_2)\) are connected to two resistors that are connected in parallel \((r_3, \, r_4)\). Three capacitors 3μf,9f and 18μf are connected first in series and then in parallel. If one of the resistors is removed from the. How many times larger is the current drawn from the. But for a simple case, such as two resistors connected in series versus the same resistors connected in parallel (with identical voltage sources in both), the power. The ratio of the equivalent capacitance in two cases is : Two identical resistors (each with resistance r) are connected together in series and then this combination is wired in parallel to a 25 ω.
From www.youtube.com
The equivalent resistance of `n` identical resistors connected in parallel si `x`. If the Two Identical Resistors Connected In Series The ratio of the equivalent capacitance in two cases is : Two resistors connected in series \((r_1, \, r_2)\) are connected to two resistors that are connected in parallel \((r_3, \, r_4)\). Two identical resistors (each with resistance r) are connected together in series and then this combination is wired in parallel to a 25 ω. How many times larger. Two Identical Resistors Connected In Series.
From www.grc.nasa.gov
Resistors in Series Two Identical Resistors Connected In Series Two identical resistors (each with resistance r) are connected together in series and then this combination is wired in parallel to a 25 ω. Three capacitors 3μf,9f and 18μf are connected first in series and then in parallel. If one of the resistors is removed from the. But for a simple case, such as two resistors connected in series versus. Two Identical Resistors Connected In Series.
From phys.libretexts.org
10.3 Resistors in Series and Parallel Physics LibreTexts Two Identical Resistors Connected In Series Two identical resistors are connected in series across the terminals of a battery with a voltage v and a current i flows through the circuit. The ratio of the equivalent capacitance in two cases is : Two identical resistors (each with resistance r) are connected together in series and then this combination is wired in parallel to a 25 ω.. Two Identical Resistors Connected In Series.
From learn.sparkfun.com
Series and Parallel Circuits SparkFun Learn Two Identical Resistors Connected In Series The ratio of the equivalent capacitance in two cases is : If one of the resistors is removed from the. Three capacitors 3μf,9f and 18μf are connected first in series and then in parallel. Two identical resistors (each with resistance r) are connected together in series and then this combination is wired in parallel to a 25 ω. Two resistors. Two Identical Resistors Connected In Series.
From www.chegg.com
Solved 14. A combination of two identical resistors Two Identical Resistors Connected In Series If one of the resistors is removed from the. Two identical resistors are connected in series across the terminals of a battery with a voltage v and a current i flows through the circuit. How many times larger is the current drawn from the. The ratio of the equivalent capacitance in two cases is : Q.88 two identical resistors of. Two Identical Resistors Connected In Series.
From herewithme4ever.blogspot.com
Two Identical Resistors In Parallel Two Identical Resistors Connected In Series Two identical resistors (each with resistance r) are connected together in series and then this combination is wired in parallel to a 25 ω. If one of the resistors is removed from the. Two resistors connected in series \((r_1, \, r_2)\) are connected to two resistors that are connected in parallel \((r_3, \, r_4)\). But for a simple case, such. Two Identical Resistors Connected In Series.
From philschatz.com
Resistors in Series and Parallel · Physics Two Identical Resistors Connected In Series If one of the resistors is removed from the. Two resistors connected in series \((r_1, \, r_2)\) are connected to two resistors that are connected in parallel \((r_3, \, r_4)\). Q.88 two identical resistors of resistance r are connected in series with a battery of. The ratio of the equivalent capacitance in two cases is : Three capacitors 3μf,9f and. Two Identical Resistors Connected In Series.
From electricalacademia.com
Resistors in Series and Parallel Electrical Academia Two Identical Resistors Connected In Series Three capacitors 3μf,9f and 18μf are connected first in series and then in parallel. Two resistors connected in series \((r_1, \, r_2)\) are connected to two resistors that are connected in parallel \((r_3, \, r_4)\). How many times larger is the current drawn from the. Two identical resistors (each with resistance r) are connected together in series and then this. Two Identical Resistors Connected In Series.
From www.teachoo.com
Resistance in Parallel Diagram, Formula and Numericals Teachoo Two Identical Resistors Connected In Series Two resistors connected in series \((r_1, \, r_2)\) are connected to two resistors that are connected in parallel \((r_3, \, r_4)\). How many times larger is the current drawn from the. Q.88 two identical resistors of resistance r are connected in series with a battery of. But for a simple case, such as two resistors connected in series versus the. Two Identical Resistors Connected In Series.
From www.chegg.com
Solved Two resistors connected in series have an equivalent Two Identical Resistors Connected In Series The ratio of the equivalent capacitance in two cases is : Two identical resistors are connected in series across the terminals of a battery with a voltage v and a current i flows through the circuit. Three capacitors 3μf,9f and 18μf are connected first in series and then in parallel. If one of the resistors is removed from the. But. Two Identical Resistors Connected In Series.
From www.webassign.net
Lab 4 DC Circuits and Ohm's Law Two Identical Resistors Connected In Series Three capacitors 3μf,9f and 18μf are connected first in series and then in parallel. Two identical resistors are connected in series across the terminals of a battery with a voltage v and a current i flows through the circuit. Q.88 two identical resistors of resistance r are connected in series with a battery of. How many times larger is the. Two Identical Resistors Connected In Series.
From www.youtube.com
Two identical resistors are first connected in series and then in parallel. Find the ratio Two Identical Resistors Connected In Series If one of the resistors is removed from the. Two identical resistors are connected in series across the terminals of a battery with a voltage v and a current i flows through the circuit. How many times larger is the current drawn from the. The ratio of the equivalent capacitance in two cases is : Two resistors connected in series. Two Identical Resistors Connected In Series.
From herewithme4ever.blogspot.com
Two Identical Resistors In Parallel Two Identical Resistors Connected In Series Two identical resistors are connected in series across the terminals of a battery with a voltage v and a current i flows through the circuit. How many times larger is the current drawn from the. The ratio of the equivalent capacitance in two cases is : If one of the resistors is removed from the. Two resistors connected in series. Two Identical Resistors Connected In Series.
From courses.lumenlearning.com
Resistors in Series and Parallel Boundless Physics Two Identical Resistors Connected In Series The ratio of the equivalent capacitance in two cases is : How many times larger is the current drawn from the. Q.88 two identical resistors of resistance r are connected in series with a battery of. Three capacitors 3μf,9f and 18μf are connected first in series and then in parallel. But for a simple case, such as two resistors connected. Two Identical Resistors Connected In Series.
From www.toppr.com
In the circuit shown, n identical resistors R are connected in parallel (n>1) and the Two Identical Resistors Connected In Series Q.88 two identical resistors of resistance r are connected in series with a battery of. Two identical resistors (each with resistance r) are connected together in series and then this combination is wired in parallel to a 25 ω. But for a simple case, such as two resistors connected in series versus the same resistors connected in parallel (with identical. Two Identical Resistors Connected In Series.
From www.numerade.com
two identical resistor are first are first connected in Series and then parallel to the source Two Identical Resistors Connected In Series Two resistors connected in series \((r_1, \, r_2)\) are connected to two resistors that are connected in parallel \((r_3, \, r_4)\). Two identical resistors (each with resistance r) are connected together in series and then this combination is wired in parallel to a 25 ω. How many times larger is the current drawn from the. Q.88 two identical resistors of. Two Identical Resistors Connected In Series.
From www.youtube.com
Four resistors are connected to a battery as shown in the figure. (a) Determine the potential Two Identical Resistors Connected In Series Q.88 two identical resistors of resistance r are connected in series with a battery of. How many times larger is the current drawn from the. Two resistors connected in series \((r_1, \, r_2)\) are connected to two resistors that are connected in parallel \((r_3, \, r_4)\). Two identical resistors (each with resistance r) are connected together in series and then. Two Identical Resistors Connected In Series.
From www.toppr.com
Resistors in Series and Parallel(15)Two resistors connected in series have an equivalent Two Identical Resistors Connected In Series Three capacitors 3μf,9f and 18μf are connected first in series and then in parallel. If one of the resistors is removed from the. Q.88 two identical resistors of resistance r are connected in series with a battery of. Two identical resistors are connected in series across the terminals of a battery with a voltage v and a current i flows. Two Identical Resistors Connected In Series.
From www.teachoo.com
Resistance in Series Explanation, Formula and Numericals Teachoo Two Identical Resistors Connected In Series How many times larger is the current drawn from the. Two identical resistors (each with resistance r) are connected together in series and then this combination is wired in parallel to a 25 ω. Q.88 two identical resistors of resistance r are connected in series with a battery of. Two resistors connected in series \((r_1, \, r_2)\) are connected to. Two Identical Resistors Connected In Series.
From www.doubtnut.com
Two 2Omega resistances are connected in parallel in the circuit X and Two Identical Resistors Connected In Series Two identical resistors are connected in series across the terminals of a battery with a voltage v and a current i flows through the circuit. Three capacitors 3μf,9f and 18μf are connected first in series and then in parallel. Two identical resistors (each with resistance r) are connected together in series and then this combination is wired in parallel to. Two Identical Resistors Connected In Series.
From www.numerade.com
SOLVED Six identical resistors, each with resistance R, are connected to an emf ℰ. (a) In terms Two Identical Resistors Connected In Series Three capacitors 3μf,9f and 18μf are connected first in series and then in parallel. The ratio of the equivalent capacitance in two cases is : Two identical resistors (each with resistance r) are connected together in series and then this combination is wired in parallel to a 25 ω. Two identical resistors are connected in series across the terminals of. Two Identical Resistors Connected In Series.
From www.chegg.com
Solved 14. A combination of two identical resistors Two Identical Resistors Connected In Series Two identical resistors are connected in series across the terminals of a battery with a voltage v and a current i flows through the circuit. Two resistors connected in series \((r_1, \, r_2)\) are connected to two resistors that are connected in parallel \((r_3, \, r_4)\). Q.88 two identical resistors of resistance r are connected in series with a battery. Two Identical Resistors Connected In Series.
From www.numerade.com
SOLVED "Two identical resistors, each of resistance 2 ohms, are connected in turn i) In series Two Identical Resistors Connected In Series Two identical resistors are connected in series across the terminals of a battery with a voltage v and a current i flows through the circuit. The ratio of the equivalent capacitance in two cases is : How many times larger is the current drawn from the. Q.88 two identical resistors of resistance r are connected in series with a battery. Two Identical Resistors Connected In Series.
From brainly.in
Two identical resistors connected in series takes a total power of 800W having a total circuit Two Identical Resistors Connected In Series Two resistors connected in series \((r_1, \, r_2)\) are connected to two resistors that are connected in parallel \((r_3, \, r_4)\). If one of the resistors is removed from the. The ratio of the equivalent capacitance in two cases is : How many times larger is the current drawn from the. Two identical resistors are connected in series across the. Two Identical Resistors Connected In Series.
From owlcation.com
Resistors in Series and Parallel Formula Derivation Owlcation Two Identical Resistors Connected In Series Two resistors connected in series \((r_1, \, r_2)\) are connected to two resistors that are connected in parallel \((r_3, \, r_4)\). But for a simple case, such as two resistors connected in series versus the same resistors connected in parallel (with identical voltage sources in both), the power. Two identical resistors are connected in series across the terminals of a. Two Identical Resistors Connected In Series.
From electricalacademia.com
Resistors in Series and Parallel Resistor Combinations Examples Two Identical Resistors Connected In Series Two resistors connected in series \((r_1, \, r_2)\) are connected to two resistors that are connected in parallel \((r_3, \, r_4)\). Two identical resistors are connected in series across the terminals of a battery with a voltage v and a current i flows through the circuit. If one of the resistors is removed from the. Two identical resistors (each with. Two Identical Resistors Connected In Series.
From learn.sparkfun.com
Resistors SparkFun Learn Two Identical Resistors Connected In Series Two identical resistors are connected in series across the terminals of a battery with a voltage v and a current i flows through the circuit. How many times larger is the current drawn from the. Three capacitors 3μf,9f and 18μf are connected first in series and then in parallel. The ratio of the equivalent capacitance in two cases is :. Two Identical Resistors Connected In Series.
From www.numerade.com
When two unknown resistors are connected in series with a battery, the battery delivers 225 W Two Identical Resistors Connected In Series Three capacitors 3μf,9f and 18μf are connected first in series and then in parallel. How many times larger is the current drawn from the. Q.88 two identical resistors of resistance r are connected in series with a battery of. The ratio of the equivalent capacitance in two cases is : But for a simple case, such as two resistors connected. Two Identical Resistors Connected In Series.
From www.compadre.org
Example Resistors in series Nexus Wiki Two Identical Resistors Connected In Series Two identical resistors are connected in series across the terminals of a battery with a voltage v and a current i flows through the circuit. Q.88 two identical resistors of resistance r are connected in series with a battery of. But for a simple case, such as two resistors connected in series versus the same resistors connected in parallel (with. Two Identical Resistors Connected In Series.
From www.toppr.com
Two identical resistors each of resistance 10Ω are connected in turn (i) in series and (ii)in Two Identical Resistors Connected In Series How many times larger is the current drawn from the. The ratio of the equivalent capacitance in two cases is : Three capacitors 3μf,9f and 18μf are connected first in series and then in parallel. Two identical resistors (each with resistance r) are connected together in series and then this combination is wired in parallel to a 25 ω. Q.88. Two Identical Resistors Connected In Series.
From www.toppr.com
Three equal resistors connected in series across a source of emf together dissipate 10 watt. If Two Identical Resistors Connected In Series Two identical resistors (each with resistance r) are connected together in series and then this combination is wired in parallel to a 25 ω. Q.88 two identical resistors of resistance r are connected in series with a battery of. If one of the resistors is removed from the. The ratio of the equivalent capacitance in two cases is : But. Two Identical Resistors Connected In Series.
From www.chegg.com
Solved 14. A combination of two identical resistors Two Identical Resistors Connected In Series How many times larger is the current drawn from the. Two identical resistors (each with resistance r) are connected together in series and then this combination is wired in parallel to a 25 ω. If one of the resistors is removed from the. Two resistors connected in series \((r_1, \, r_2)\) are connected to two resistors that are connected in. Two Identical Resistors Connected In Series.
From brainly.in
The combined resistance of two identical resistors, connected in series is 8ohm. Their combined Two Identical Resistors Connected In Series Three capacitors 3μf,9f and 18μf are connected first in series and then in parallel. Two resistors connected in series \((r_1, \, r_2)\) are connected to two resistors that are connected in parallel \((r_3, \, r_4)\). Two identical resistors are connected in series across the terminals of a battery with a voltage v and a current i flows through the circuit.. Two Identical Resistors Connected In Series.
From www.toppr.com
In the circuit shown, n identical resistors R are connected in parallel (n>1) and the Two Identical Resistors Connected In Series Two identical resistors (each with resistance r) are connected together in series and then this combination is wired in parallel to a 25 ω. How many times larger is the current drawn from the. Three capacitors 3μf,9f and 18μf are connected first in series and then in parallel. Two identical resistors are connected in series across the terminals of a. Two Identical Resistors Connected In Series.
From aleehyanah.blogspot.com
A Group Of Resistors Connected In Parallel Have The Same Two Identical Resistors Connected In Series But for a simple case, such as two resistors connected in series versus the same resistors connected in parallel (with identical voltage sources in both), the power. How many times larger is the current drawn from the. Two identical resistors (each with resistance r) are connected together in series and then this combination is wired in parallel to a 25. Two Identical Resistors Connected In Series.