Court Definition In Criminology . They serve as stages of case processing that. It considers individual factors and societal factors to better understand what. Wellford, university of maryland college park. Criminology is the study of crime and why it happens. Criminology, scientific study of the nonlegal aspects of crime and delinquency, including its causes, correction, and prevention, from the viewpoints of such diverse. Criminology encompasses the study of different aspects of crime and law enforcement, the social setup of crime, the psychology of. The handbooks in this series will be comprehensive, academic. Courts and procedure criminology and criminal justice. Criminal law, the body of law that defines criminal offenses, regulates the apprehension, charging, and trial of suspected persons, and fixes. Prosecution and courts are at the heart and center of our criminal justice system.
from www.studocu.com
It considers individual factors and societal factors to better understand what. Courts and procedure criminology and criminal justice. Criminology, scientific study of the nonlegal aspects of crime and delinquency, including its causes, correction, and prevention, from the viewpoints of such diverse. The handbooks in this series will be comprehensive, academic. Prosecution and courts are at the heart and center of our criminal justice system. Criminology encompasses the study of different aspects of crime and law enforcement, the social setup of crime, the psychology of. Wellford, university of maryland college park. Criminal law, the body of law that defines criminal offenses, regulates the apprehension, charging, and trial of suspected persons, and fixes. Criminology is the study of crime and why it happens. They serve as stages of case processing that.
Criminal Procedure, Evidence AND Court Testimony Bs Criminology Studocu
Court Definition In Criminology Criminology encompasses the study of different aspects of crime and law enforcement, the social setup of crime, the psychology of. Criminology, scientific study of the nonlegal aspects of crime and delinquency, including its causes, correction, and prevention, from the viewpoints of such diverse. They serve as stages of case processing that. Criminal law, the body of law that defines criminal offenses, regulates the apprehension, charging, and trial of suspected persons, and fixes. Wellford, university of maryland college park. Criminology is the study of crime and why it happens. The handbooks in this series will be comprehensive, academic. It considers individual factors and societal factors to better understand what. Courts and procedure criminology and criminal justice. Prosecution and courts are at the heart and center of our criminal justice system. Criminology encompasses the study of different aspects of crime and law enforcement, the social setup of crime, the psychology of.
From www.scribd.com
2 Criminology Definition and Concept PDF Criminology Crime Court Definition In Criminology It considers individual factors and societal factors to better understand what. The handbooks in this series will be comprehensive, academic. Wellford, university of maryland college park. Courts and procedure criminology and criminal justice. Criminal law, the body of law that defines criminal offenses, regulates the apprehension, charging, and trial of suspected persons, and fixes. Criminology is the study of crime. Court Definition In Criminology.
From slideplayer.com
Chapter One Crime and Criminology. ppt download Court Definition In Criminology Criminal law, the body of law that defines criminal offenses, regulates the apprehension, charging, and trial of suspected persons, and fixes. They serve as stages of case processing that. Wellford, university of maryland college park. Courts and procedure criminology and criminal justice. Criminology is the study of crime and why it happens. Criminology encompasses the study of different aspects of. Court Definition In Criminology.
From www.slideshare.net
CRIMINOLOGY An Introduction and Overview Court Definition In Criminology Wellford, university of maryland college park. Criminal law, the body of law that defines criminal offenses, regulates the apprehension, charging, and trial of suspected persons, and fixes. Criminology is the study of crime and why it happens. Courts and procedure criminology and criminal justice. It considers individual factors and societal factors to better understand what. Criminology encompasses the study of. Court Definition In Criminology.
From www.studocu.com
Criminal Procedure PART 1 2 CRIMINAL PROCEDURE and COURT TESTIMONY Court Definition In Criminology The handbooks in this series will be comprehensive, academic. Criminology encompasses the study of different aspects of crime and law enforcement, the social setup of crime, the psychology of. Criminology is the study of crime and why it happens. They serve as stages of case processing that. Criminology, scientific study of the nonlegal aspects of crime and delinquency, including its. Court Definition In Criminology.
From www.slideserve.com
PPT Chapter 1 Crime and Criminology and The Criminal Law PowerPoint Court Definition In Criminology Criminology, scientific study of the nonlegal aspects of crime and delinquency, including its causes, correction, and prevention, from the viewpoints of such diverse. They serve as stages of case processing that. Prosecution and courts are at the heart and center of our criminal justice system. The handbooks in this series will be comprehensive, academic. It considers individual factors and societal. Court Definition In Criminology.
From www.davidazizipersonalinjury.com
The Role Of Criminology In DUI Courts Davidazizipersonalinjury Court Definition In Criminology Courts and procedure criminology and criminal justice. Criminology is the study of crime and why it happens. Criminology encompasses the study of different aspects of crime and law enforcement, the social setup of crime, the psychology of. Prosecution and courts are at the heart and center of our criminal justice system. Criminal law, the body of law that defines criminal. Court Definition In Criminology.
From www.slideserve.com
PPT Introduction to Criminology PowerPoint Presentation, free Court Definition In Criminology Criminology encompasses the study of different aspects of crime and law enforcement, the social setup of crime, the psychology of. Criminology is the study of crime and why it happens. The handbooks in this series will be comprehensive, academic. Courts and procedure criminology and criminal justice. They serve as stages of case processing that. It considers individual factors and societal. Court Definition In Criminology.
From www.studocu.com
Criminology definition and history Criminology definition and history Court Definition In Criminology Courts and procedure criminology and criminal justice. The handbooks in this series will be comprehensive, academic. Criminology, scientific study of the nonlegal aspects of crime and delinquency, including its causes, correction, and prevention, from the viewpoints of such diverse. Criminology is the study of crime and why it happens. Prosecution and courts are at the heart and center of our. Court Definition In Criminology.
From www.scribd.com
Criminology 103 Exam II Courts Study Overview PDF Justice Court Definition In Criminology Criminology is the study of crime and why it happens. Criminal law, the body of law that defines criminal offenses, regulates the apprehension, charging, and trial of suspected persons, and fixes. Criminology, scientific study of the nonlegal aspects of crime and delinquency, including its causes, correction, and prevention, from the viewpoints of such diverse. It considers individual factors and societal. Court Definition In Criminology.
From www.youtube.com
Criminology Introduction lecture Meaning, Nature, Scope, Importance of Court Definition In Criminology Prosecution and courts are at the heart and center of our criminal justice system. Criminal law, the body of law that defines criminal offenses, regulates the apprehension, charging, and trial of suspected persons, and fixes. It considers individual factors and societal factors to better understand what. The handbooks in this series will be comprehensive, academic. Criminology encompasses the study of. Court Definition In Criminology.
From www.youtube.com
THE DIFFERENCE BETWEEN CRIMINOLOGY AND VICTIMOLOGY YouTube Court Definition In Criminology Wellford, university of maryland college park. Prosecution and courts are at the heart and center of our criminal justice system. Criminology is the study of crime and why it happens. It considers individual factors and societal factors to better understand what. Courts and procedure criminology and criminal justice. Criminology, scientific study of the nonlegal aspects of crime and delinquency, including. Court Definition In Criminology.
From www.slideserve.com
PPT Introduction to Criminology PowerPoint Presentation, free Court Definition In Criminology Criminal law, the body of law that defines criminal offenses, regulates the apprehension, charging, and trial of suspected persons, and fixes. Criminology, scientific study of the nonlegal aspects of crime and delinquency, including its causes, correction, and prevention, from the viewpoints of such diverse. Criminology is the study of crime and why it happens. Courts and procedure criminology and criminal. Court Definition In Criminology.
From www.slideserve.com
PPT Introduction to Criminology PowerPoint Presentation, free Court Definition In Criminology They serve as stages of case processing that. Wellford, university of maryland college park. The handbooks in this series will be comprehensive, academic. It considers individual factors and societal factors to better understand what. Courts and procedure criminology and criminal justice. Criminology encompasses the study of different aspects of crime and law enforcement, the social setup of crime, the psychology. Court Definition In Criminology.
From legalversity.com
Meaning, Definition and Understanding of Criminology Legalversity Court Definition In Criminology It considers individual factors and societal factors to better understand what. Prosecution and courts are at the heart and center of our criminal justice system. Criminology is the study of crime and why it happens. Criminal law, the body of law that defines criminal offenses, regulates the apprehension, charging, and trial of suspected persons, and fixes. They serve as stages. Court Definition In Criminology.
From www.slideserve.com
PPT The Criminal Court System PowerPoint Presentation, free download Court Definition In Criminology The handbooks in this series will be comprehensive, academic. Prosecution and courts are at the heart and center of our criminal justice system. It considers individual factors and societal factors to better understand what. They serve as stages of case processing that. Criminology is the study of crime and why it happens. Courts and procedure criminology and criminal justice. Criminal. Court Definition In Criminology.
From www.studocu.com
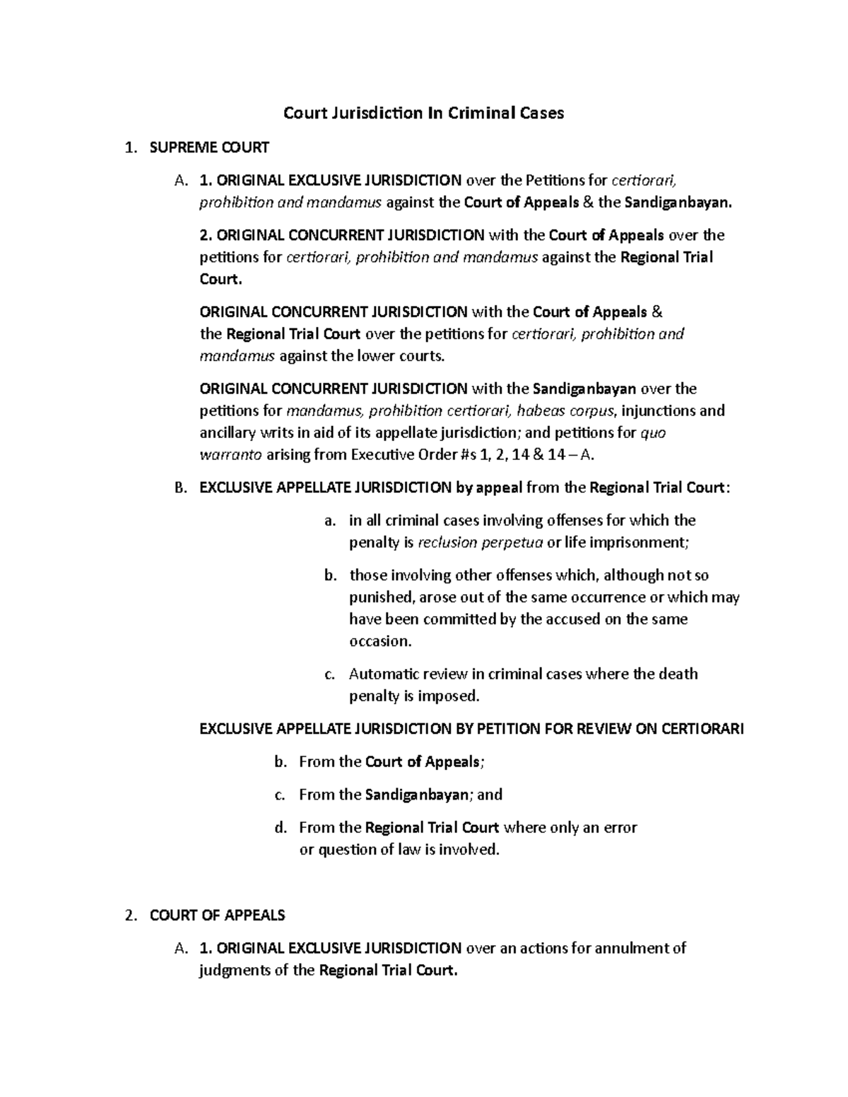
Court Jurisdiction In Criminal Cases Criminology PSU Studocu Court Definition In Criminology Wellford, university of maryland college park. They serve as stages of case processing that. Criminal law, the body of law that defines criminal offenses, regulates the apprehension, charging, and trial of suspected persons, and fixes. It considers individual factors and societal factors to better understand what. Criminology is the study of crime and why it happens. Criminology encompasses the study. Court Definition In Criminology.
From www.slideserve.com
PPT Criminology PowerPoint Presentation, free download ID1413286 Court Definition In Criminology Criminology is the study of crime and why it happens. Criminology, scientific study of the nonlegal aspects of crime and delinquency, including its causes, correction, and prevention, from the viewpoints of such diverse. Criminal law, the body of law that defines criminal offenses, regulates the apprehension, charging, and trial of suspected persons, and fixes. Prosecution and courts are at the. Court Definition In Criminology.
From www.slideserve.com
PPT Introduction to Criminology PowerPoint Presentation, free Court Definition In Criminology Prosecution and courts are at the heart and center of our criminal justice system. Criminal law, the body of law that defines criminal offenses, regulates the apprehension, charging, and trial of suspected persons, and fixes. Criminology encompasses the study of different aspects of crime and law enforcement, the social setup of crime, the psychology of. Criminology is the study of. Court Definition In Criminology.
From www.studocu.com
Criminal Procedure, Evidence AND Court Testimony Bs Criminology Studocu Court Definition In Criminology The handbooks in this series will be comprehensive, academic. Criminology is the study of crime and why it happens. Prosecution and courts are at the heart and center of our criminal justice system. Courts and procedure criminology and criminal justice. They serve as stages of case processing that. Wellford, university of maryland college park. Criminology, scientific study of the nonlegal. Court Definition In Criminology.
From www.liveabout.com
Learn About Criminal Justice Court Definition In Criminology Wellford, university of maryland college park. Prosecution and courts are at the heart and center of our criminal justice system. Criminology, scientific study of the nonlegal aspects of crime and delinquency, including its causes, correction, and prevention, from the viewpoints of such diverse. Courts and procedure criminology and criminal justice. Criminology encompasses the study of different aspects of crime and. Court Definition In Criminology.
From www.studocu.com
Court Testimony criminology reviewer LAW 6COURT TESTIMONIES By Erick Court Definition In Criminology Criminology encompasses the study of different aspects of crime and law enforcement, the social setup of crime, the psychology of. Criminology, scientific study of the nonlegal aspects of crime and delinquency, including its causes, correction, and prevention, from the viewpoints of such diverse. The handbooks in this series will be comprehensive, academic. Wellford, university of maryland college park. Criminal law,. Court Definition In Criminology.
From slidetodoc.com
Chapter 1 Crime and Criminology Lee AyersSchlosser Southern Court Definition In Criminology Criminal law, the body of law that defines criminal offenses, regulates the apprehension, charging, and trial of suspected persons, and fixes. Courts and procedure criminology and criminal justice. Prosecution and courts are at the heart and center of our criminal justice system. Criminology, scientific study of the nonlegal aspects of crime and delinquency, including its causes, correction, and prevention, from. Court Definition In Criminology.
From www.slideshare.net
Criminology and crime notes Court Definition In Criminology Criminal law, the body of law that defines criminal offenses, regulates the apprehension, charging, and trial of suspected persons, and fixes. Criminology encompasses the study of different aspects of crime and law enforcement, the social setup of crime, the psychology of. Prosecution and courts are at the heart and center of our criminal justice system. The handbooks in this series. Court Definition In Criminology.
From www.slideserve.com
PPT Introduction to Criminology CRJ 270 Instructor Pierrott Court Definition In Criminology Criminology, scientific study of the nonlegal aspects of crime and delinquency, including its causes, correction, and prevention, from the viewpoints of such diverse. They serve as stages of case processing that. Courts and procedure criminology and criminal justice. Criminology is the study of crime and why it happens. Criminal law, the body of law that defines criminal offenses, regulates the. Court Definition In Criminology.
From www.slideserve.com
PPT Chapter One Crime and Criminology PowerPoint Presentation, free Court Definition In Criminology Criminology is the study of crime and why it happens. Criminology encompasses the study of different aspects of crime and law enforcement, the social setup of crime, the psychology of. They serve as stages of case processing that. Courts and procedure criminology and criminal justice. Wellford, university of maryland college park. It considers individual factors and societal factors to better. Court Definition In Criminology.
From slidetodoc.com
Chapter 1 What is Criminology Frank Schmalleger Power Court Definition In Criminology Criminology, scientific study of the nonlegal aspects of crime and delinquency, including its causes, correction, and prevention, from the viewpoints of such diverse. Courts and procedure criminology and criminal justice. It considers individual factors and societal factors to better understand what. Criminal law, the body of law that defines criminal offenses, regulates the apprehension, charging, and trial of suspected persons,. Court Definition In Criminology.
From www.studocu.com
Criminology notes Exam 4 Chapter 7 Courts and the Quest for Justice Court Definition In Criminology Courts and procedure criminology and criminal justice. Wellford, university of maryland college park. Criminology encompasses the study of different aspects of crime and law enforcement, the social setup of crime, the psychology of. Criminology, scientific study of the nonlegal aspects of crime and delinquency, including its causes, correction, and prevention, from the viewpoints of such diverse. They serve as stages. Court Definition In Criminology.
From crime-study.blogspot.com
Theoretical criminology Criminological disciplines and meaning of Court Definition In Criminology Criminology, scientific study of the nonlegal aspects of crime and delinquency, including its causes, correction, and prevention, from the viewpoints of such diverse. Prosecution and courts are at the heart and center of our criminal justice system. It considers individual factors and societal factors to better understand what. Courts and procedure criminology and criminal justice. They serve as stages of. Court Definition In Criminology.
From defitioni.netlify.app
Definition Of Crime In Criminology Court Definition In Criminology Prosecution and courts are at the heart and center of our criminal justice system. The handbooks in this series will be comprehensive, academic. Criminology is the study of crime and why it happens. Criminology, scientific study of the nonlegal aspects of crime and delinquency, including its causes, correction, and prevention, from the viewpoints of such diverse. Courts and procedure criminology. Court Definition In Criminology.
From www.slideshare.net
CRIMINOLOGY An Introduction and Overview Court Definition In Criminology The handbooks in this series will be comprehensive, academic. They serve as stages of case processing that. Courts and procedure criminology and criminal justice. Criminology encompasses the study of different aspects of crime and law enforcement, the social setup of crime, the psychology of. It considers individual factors and societal factors to better understand what. Criminology, scientific study of the. Court Definition In Criminology.
From open.lib.umn.edu
1.2 Criminal Law and Criminal Procedure Criminal Law Court Definition In Criminology Criminology encompasses the study of different aspects of crime and law enforcement, the social setup of crime, the psychology of. Courts and procedure criminology and criminal justice. It considers individual factors and societal factors to better understand what. Criminology, scientific study of the nonlegal aspects of crime and delinquency, including its causes, correction, and prevention, from the viewpoints of such. Court Definition In Criminology.
From darkademia.com
Understanding the basics of criminology What is criminology? Darkademia Court Definition In Criminology Criminology encompasses the study of different aspects of crime and law enforcement, the social setup of crime, the psychology of. They serve as stages of case processing that. The handbooks in this series will be comprehensive, academic. It considers individual factors and societal factors to better understand what. Prosecution and courts are at the heart and center of our criminal. Court Definition In Criminology.
From www.slideserve.com
PPT Introduction to Criminology PowerPoint Presentation, free Court Definition In Criminology Prosecution and courts are at the heart and center of our criminal justice system. The handbooks in this series will be comprehensive, academic. It considers individual factors and societal factors to better understand what. Wellford, university of maryland college park. Criminology is the study of crime and why it happens. Criminology, scientific study of the nonlegal aspects of crime and. Court Definition In Criminology.
From www.studocu.com
DefinitionOF Terms This is for Criminology student DEFINITION OF Court Definition In Criminology Criminology, scientific study of the nonlegal aspects of crime and delinquency, including its causes, correction, and prevention, from the viewpoints of such diverse. Criminology encompasses the study of different aspects of crime and law enforcement, the social setup of crime, the psychology of. It considers individual factors and societal factors to better understand what. Criminology is the study of crime. Court Definition In Criminology.
From www.scribd.com
Criminology Terminology and Vocabulary Probation Crime & Violence Court Definition In Criminology Criminal law, the body of law that defines criminal offenses, regulates the apprehension, charging, and trial of suspected persons, and fixes. It considers individual factors and societal factors to better understand what. Criminology is the study of crime and why it happens. Prosecution and courts are at the heart and center of our criminal justice system. Courts and procedure criminology. Court Definition In Criminology.