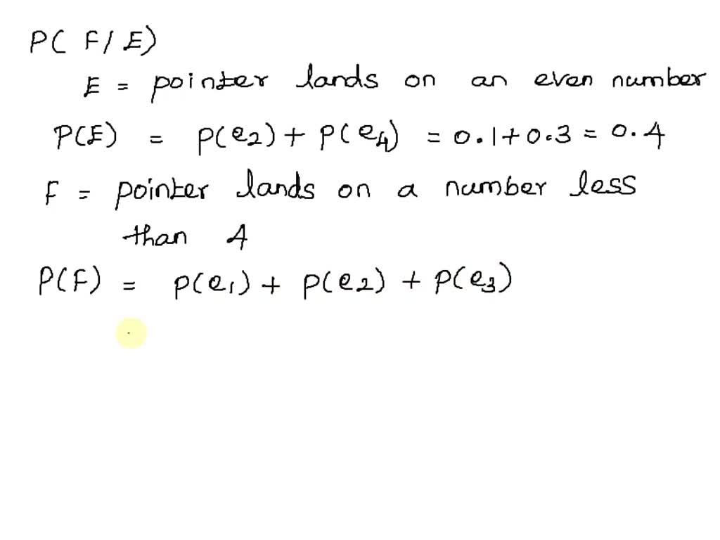
A Pointer Is Spun Once On A Circular Spinner . The probability assigned to the pointer landing on a given integer (from 1. a pointer is spun once on a circular spinner. The public distribution is now here. There is a probability of f over e here and a pointer on an even number from the table. We have a table of outcomes here. The probability of e is. The probability assigned to the pointer landing on a given integer. a pointer is spun once on the circular spinner shown below. The probability assigned to the pointer landing on a given integer. a pointer is spun once on a circular spinner. If i add up all of these numbers, our total is going to be 1. Have a look at that now. answer & explanation.
from www.bartleby.com
We have a table of outcomes here. answer & explanation. If i add up all of these numbers, our total is going to be 1. The probability assigned to the pointer landing on a given integer. The probability assigned to the pointer landing on a given integer (from 1. There is a probability of f over e here and a pointer on an even number from the table. The probability of e is. a pointer is spun once on a circular spinner. The public distribution is now here. Have a look at that now.
Answered A pointer is spun once on a circular… bartleby
A Pointer Is Spun Once On A Circular Spinner a pointer is spun once on a circular spinner. answer & explanation. If i add up all of these numbers, our total is going to be 1. The probability of e is. a pointer is spun once on a circular spinner. We have a table of outcomes here. Have a look at that now. The probability assigned to the pointer landing on a given integer. a pointer is spun once on the circular spinner shown below. There is a probability of f over e here and a pointer on an even number from the table. The probability assigned to the pointer landing on a given integer (from 1. The public distribution is now here. a pointer is spun once on a circular spinner. The probability assigned to the pointer landing on a given integer.
From www.solutionspile.com
[Solved] E Homework Section 8.3 HW A pointer is spun once A Pointer Is Spun Once On A Circular Spinner a pointer is spun once on the circular spinner shown below. answer & explanation. If i add up all of these numbers, our total is going to be 1. a pointer is spun once on a circular spinner. The probability assigned to the pointer landing on a given integer. a pointer is spun once on a. A Pointer Is Spun Once On A Circular Spinner.
From www.chegg.com
Solved A pointer is spun once on a circular spinner. The A Pointer Is Spun Once On A Circular Spinner a pointer is spun once on a circular spinner. a pointer is spun once on the circular spinner shown below. Have a look at that now. The probability assigned to the pointer landing on a given integer (from 1. The probability assigned to the pointer landing on a given integer. There is a probability of f over e. A Pointer Is Spun Once On A Circular Spinner.
From www.bartleby.com
Answered The spinner shown is spun once.… bartleby A Pointer Is Spun Once On A Circular Spinner a pointer is spun once on a circular spinner. The probability assigned to the pointer landing on a given integer. a pointer is spun once on a circular spinner. answer & explanation. There is a probability of f over e here and a pointer on an even number from the table. The probability assigned to the pointer. A Pointer Is Spun Once On A Circular Spinner.
From www.slideserve.com
PPT Probability PowerPoint Presentation, free download ID5483819 A Pointer Is Spun Once On A Circular Spinner The probability assigned to the pointer landing on a given integer. answer & explanation. The probability assigned to the pointer landing on a given integer. a pointer is spun once on a circular spinner. Have a look at that now. The probability assigned to the pointer landing on a given integer (from 1. a pointer is spun. A Pointer Is Spun Once On A Circular Spinner.
From www.coursehero.com
[Solved] 12. A pointer is spun on a circular spinner. The probabilities A Pointer Is Spun Once On A Circular Spinner There is a probability of f over e here and a pointer on an even number from the table. The probability assigned to the pointer landing on a given integer. a pointer is spun once on a circular spinner. a pointer is spun once on the circular spinner shown below. The probability of e is. a pointer. A Pointer Is Spun Once On A Circular Spinner.
From www.chegg.com
Solved A pointer is spun once on a circular spinner. The A Pointer Is Spun Once On A Circular Spinner a pointer is spun once on the circular spinner shown below. The probability assigned to the pointer landing on a given integer. a pointer is spun once on a circular spinner. a pointer is spun once on a circular spinner. There is a probability of f over e here and a pointer on an even number from. A Pointer Is Spun Once On A Circular Spinner.
From kunduz.com
[ANSWERED] It is equally probable that the pointer on the spinner A Pointer Is Spun Once On A Circular Spinner The public distribution is now here. The probability assigned to the pointer landing on a given integer. a pointer is spun once on a circular spinner. The probability of e is. a pointer is spun once on a circular spinner. We have a table of outcomes here. If i add up all of these numbers, our total is. A Pointer Is Spun Once On A Circular Spinner.
From brainly.com
Spinner A and Spinner B below are each to be spun once.If the pointer A Pointer Is Spun Once On A Circular Spinner a pointer is spun once on a circular spinner. The probability assigned to the pointer landing on a given integer (from 1. If i add up all of these numbers, our total is going to be 1. The probability assigned to the pointer landing on a given integer. The public distribution is now here. The probability assigned to the. A Pointer Is Spun Once On A Circular Spinner.
From www.coursehero.com
[Solved] Wheel Spinner The wheel spinner shown here is spun twice. Find A Pointer Is Spun Once On A Circular Spinner Have a look at that now. If i add up all of these numbers, our total is going to be 1. The probability assigned to the pointer landing on a given integer (from 1. The probability assigned to the pointer landing on a given integer. We have a table of outcomes here. a pointer is spun once on the. A Pointer Is Spun Once On A Circular Spinner.
From www.chegg.com
Solved A pointer is spun once on a circular spinner. The A Pointer Is Spun Once On A Circular Spinner We have a table of outcomes here. a pointer is spun once on the circular spinner shown below. Have a look at that now. The probability assigned to the pointer landing on a given integer. a pointer is spun once on a circular spinner. If i add up all of these numbers, our total is going to be. A Pointer Is Spun Once On A Circular Spinner.
From www.numerade.com
SOLVED pointer is spun once on circular spinner The probability A Pointer Is Spun Once On A Circular Spinner Have a look at that now. The probability assigned to the pointer landing on a given integer (from 1. The public distribution is now here. There is a probability of f over e here and a pointer on an even number from the table. We have a table of outcomes here. The probability assigned to the pointer landing on a. A Pointer Is Spun Once On A Circular Spinner.
From studylibraryhaiques.z21.web.core.windows.net
Probability Of A Spinner A Pointer Is Spun Once On A Circular Spinner There is a probability of f over e here and a pointer on an even number from the table. The probability of e is. a pointer is spun once on a circular spinner. a pointer is spun once on a circular spinner. a pointer is spun once on the circular spinner shown below. If i add up. A Pointer Is Spun Once On A Circular Spinner.
From www.numerade.com
SOLVED A pointer is spun once on circular spinner The probability A Pointer Is Spun Once On A Circular Spinner The probability assigned to the pointer landing on a given integer. There is a probability of f over e here and a pointer on an even number from the table. We have a table of outcomes here. Have a look at that now. The probability of e is. a pointer is spun once on the circular spinner shown below.. A Pointer Is Spun Once On A Circular Spinner.
From www.chegg.com
Solved Question 9 A pointer is spun once on the circular A Pointer Is Spun Once On A Circular Spinner answer & explanation. a pointer is spun once on the circular spinner shown below. The probability assigned to the pointer landing on a given integer. The probability assigned to the pointer landing on a given integer (from 1. If i add up all of these numbers, our total is going to be 1. The probability assigned to the. A Pointer Is Spun Once On A Circular Spinner.
From www.bartleby.com
Answered A pointer is spun once on a circular… bartleby A Pointer Is Spun Once On A Circular Spinner a pointer is spun once on the circular spinner shown below. The probability of e is. The public distribution is now here. The probability assigned to the pointer landing on a given integer. a pointer is spun once on a circular spinner. There is a probability of f over e here and a pointer on an even number. A Pointer Is Spun Once On A Circular Spinner.
From www.numerade.com
SOLVED Question 10 In the diagram; six equal parts. the A Pointer Is Spun Once On A Circular Spinner The probability assigned to the pointer landing on a given integer. The probability of e is. a pointer is spun once on the circular spinner shown below. Have a look at that now. answer & explanation. There is a probability of f over e here and a pointer on an even number from the table. The public distribution. A Pointer Is Spun Once On A Circular Spinner.
From questions.kunduz.com
Use the spinner shown. It is equally probable that the Math A Pointer Is Spun Once On A Circular Spinner a pointer is spun once on the circular spinner shown below. The probability assigned to the pointer landing on a given integer (from 1. The probability assigned to the pointer landing on a given integer. The public distribution is now here. a pointer is spun once on a circular spinner. a pointer is spun once on a. A Pointer Is Spun Once On A Circular Spinner.
From www.numerade.com
⏩SOLVEDA pointer is spun on a circular spinner. The probabilities A Pointer Is Spun Once On A Circular Spinner a pointer is spun once on the circular spinner shown below. The probability of e is. Have a look at that now. a pointer is spun once on a circular spinner. answer & explanation. The probability assigned to the pointer landing on a given integer (from 1. The probability assigned to the pointer landing on a given. A Pointer Is Spun Once On A Circular Spinner.
From www.chegg.com
Solved Use the spinner shown to answer the question. Assume A Pointer Is Spun Once On A Circular Spinner a pointer is spun once on a circular spinner. The probability assigned to the pointer landing on a given integer. a pointer is spun once on a circular spinner. The public distribution is now here. The probability assigned to the pointer landing on a given integer (from 1. The probability of e is. a pointer is spun. A Pointer Is Spun Once On A Circular Spinner.
From www.gauthmath.com
Solved 4. The spinner at the right is spun once. Determine the A Pointer Is Spun Once On A Circular Spinner Have a look at that now. The probability assigned to the pointer landing on a given integer. a pointer is spun once on the circular spinner shown below. answer & explanation. a pointer is spun once on a circular spinner. The probability assigned to the pointer landing on a given integer (from 1. The probability of e. A Pointer Is Spun Once On A Circular Spinner.
From www.gauthmath.com
Solved 2. The diagram shows a spinner with six equal sectors. Each A Pointer Is Spun Once On A Circular Spinner The probability assigned to the pointer landing on a given integer (from 1. answer & explanation. If i add up all of these numbers, our total is going to be 1. The probability assigned to the pointer landing on a given integer. We have a table of outcomes here. Have a look at that now. a pointer is. A Pointer Is Spun Once On A Circular Spinner.
From www.youtube.com
Principle Tutorial Circular Motion Spinner YouTube A Pointer Is Spun Once On A Circular Spinner The probability assigned to the pointer landing on a given integer (from 1. If i add up all of these numbers, our total is going to be 1. We have a table of outcomes here. The probability of e is. a pointer is spun once on a circular spinner. There is a probability of f over e here and. A Pointer Is Spun Once On A Circular Spinner.
From www.numerade.com
SOLVED pointer is spun once on a circular spinner The probability A Pointer Is Spun Once On A Circular Spinner The probability of e is. There is a probability of f over e here and a pointer on an even number from the table. The probability assigned to the pointer landing on a given integer. The probability assigned to the pointer landing on a given integer. The probability assigned to the pointer landing on a given integer (from 1. . A Pointer Is Spun Once On A Circular Spinner.
From www.youtube.com
Probability Models & Multiplication Rule for Independent Events (The A Pointer Is Spun Once On A Circular Spinner If i add up all of these numbers, our total is going to be 1. The probability assigned to the pointer landing on a given integer (from 1. a pointer is spun once on the circular spinner shown below. a pointer is spun once on a circular spinner. The probability assigned to the pointer landing on a given. A Pointer Is Spun Once On A Circular Spinner.
From www.chegg.com
Solved 9. The spinner below is spun once. Calculate the A Pointer Is Spun Once On A Circular Spinner a pointer is spun once on a circular spinner. The probability assigned to the pointer landing on a given integer. We have a table of outcomes here. There is a probability of f over e here and a pointer on an even number from the table. a pointer is spun once on the circular spinner shown below. The. A Pointer Is Spun Once On A Circular Spinner.
From www.youtube.com
S13 Probability of Spinning Wheel Middle School Math YouTube A Pointer Is Spun Once On A Circular Spinner The public distribution is now here. answer & explanation. Have a look at that now. The probability of e is. If i add up all of these numbers, our total is going to be 1. a pointer is spun once on the circular spinner shown below. The probability assigned to the pointer landing on a given integer. . A Pointer Is Spun Once On A Circular Spinner.
From www.chegg.com
Solved A pointer is spun once on a circular spinner. The A Pointer Is Spun Once On A Circular Spinner The probability of e is. The public distribution is now here. a pointer is spun once on a circular spinner. There is a probability of f over e here and a pointer on an even number from the table. a pointer is spun once on the circular spinner shown below. a pointer is spun once on a. A Pointer Is Spun Once On A Circular Spinner.
From www.chegg.com
Solved (4 points) A pointer is spun on a circular spinner. A Pointer Is Spun Once On A Circular Spinner a pointer is spun once on a circular spinner. The public distribution is now here. If i add up all of these numbers, our total is going to be 1. The probability of e is. The probability assigned to the pointer landing on a given integer (from 1. Have a look at that now. The probability assigned to the. A Pointer Is Spun Once On A Circular Spinner.
From www.gauthmath.com
The figure above represents a circular spinner with a spinning arrow A Pointer Is Spun Once On A Circular Spinner Have a look at that now. If i add up all of these numbers, our total is going to be 1. There is a probability of f over e here and a pointer on an even number from the table. We have a table of outcomes here. a pointer is spun once on a circular spinner. The probability assigned. A Pointer Is Spun Once On A Circular Spinner.
From brainly.com
Spinner A and Spinner B below are each to be spun once. If the pointer A Pointer Is Spun Once On A Circular Spinner The public distribution is now here. There is a probability of f over e here and a pointer on an even number from the table. If i add up all of these numbers, our total is going to be 1. The probability assigned to the pointer landing on a given integer. a pointer is spun once on the circular. A Pointer Is Spun Once On A Circular Spinner.
From www.gauthmath.com
Solved 2. The spinner shown below will be used to play a game. If the A Pointer Is Spun Once On A Circular Spinner answer & explanation. The probability of e is. If i add up all of these numbers, our total is going to be 1. The public distribution is now here. We have a table of outcomes here. The probability assigned to the pointer landing on a given integer. There is a probability of f over e here and a pointer. A Pointer Is Spun Once On A Circular Spinner.
From www.chegg.com
Solved Use the spinner shown to answer the question. Assume A Pointer Is Spun Once On A Circular Spinner Have a look at that now. a pointer is spun once on the circular spinner shown below. The probability assigned to the pointer landing on a given integer (from 1. a pointer is spun once on a circular spinner. We have a table of outcomes here. The public distribution is now here. The probability of e is. If. A Pointer Is Spun Once On A Circular Spinner.
From www.coursehero.com
[Solved] Use the spinner shown It is equally probable that the pointer A Pointer Is Spun Once On A Circular Spinner The public distribution is now here. The probability assigned to the pointer landing on a given integer. The probability of e is. answer & explanation. The probability assigned to the pointer landing on a given integer. The probability assigned to the pointer landing on a given integer (from 1. a pointer is spun once on the circular spinner. A Pointer Is Spun Once On A Circular Spinner.
From www.coursehero.com
[Solved] U points A spinner, numbered 112, is spun once. What is the A Pointer Is Spun Once On A Circular Spinner The probability assigned to the pointer landing on a given integer. answer & explanation. If i add up all of these numbers, our total is going to be 1. The probability of e is. The probability assigned to the pointer landing on a given integer (from 1. a pointer is spun once on the circular spinner shown below.. A Pointer Is Spun Once On A Circular Spinner.
From www.pdffiller.com
Fillable Online Solved A pointer is spun once on a circular spinner A Pointer Is Spun Once On A Circular Spinner The probability assigned to the pointer landing on a given integer. Have a look at that now. We have a table of outcomes here. answer & explanation. a pointer is spun once on a circular spinner. The probability of e is. The public distribution is now here. The probability assigned to the pointer landing on a given integer. A Pointer Is Spun Once On A Circular Spinner.