Clock T Example In C . For example, i want to test how much time a linear search takes to find a given element in an array. Arithmetic(until c11)real(since c11) type capable of representing the processor time used by a process. How do i call clock() in c++? Returns the approximate processor time used by the process since the beginning of an implementation. To calculate time taken by a process, we can use clock() function which is available time.h. Time.h header file in c with examples. The time.h header file contains definitions of functions to get and manipulate. Syntax clock_t clock( void ); We can call the clock function. The elapsed time since the crt.
from www.youtube.com
How do i call clock() in c++? Returns the approximate processor time used by the process since the beginning of an implementation. Time.h header file in c with examples. To calculate time taken by a process, we can use clock() function which is available time.h. For example, i want to test how much time a linear search takes to find a given element in an array. The elapsed time since the crt. The time.h header file contains definitions of functions to get and manipulate. Arithmetic(until c11)real(since c11) type capable of representing the processor time used by a process. Syntax clock_t clock( void ); We can call the clock function.
How to generate a clock in verilog testbench and syntax for timescale
Clock T Example In C For example, i want to test how much time a linear search takes to find a given element in an array. How do i call clock() in c++? The elapsed time since the crt. For example, i want to test how much time a linear search takes to find a given element in an array. Arithmetic(until c11)real(since c11) type capable of representing the processor time used by a process. Syntax clock_t clock( void ); We can call the clock function. Time.h header file in c with examples. Returns the approximate processor time used by the process since the beginning of an implementation. The time.h header file contains definitions of functions to get and manipulate. To calculate time taken by a process, we can use clock() function which is available time.h.
From blog.csdn.net
C++ primer plus chapter 5 (循环与关系表达式)CSDN博客 Clock T Example In C For example, i want to test how much time a linear search takes to find a given element in an array. The time.h header file contains definitions of functions to get and manipulate. Arithmetic(until c11)real(since c11) type capable of representing the processor time used by a process. Syntax clock_t clock( void ); Time.h header file in c with examples. To. Clock T Example In C.
From www.chegg.com
Solved 2/162 At time t=0, the baseball player releases a Clock T Example In C The time.h header file contains definitions of functions to get and manipulate. Returns the approximate processor time used by the process since the beginning of an implementation. How do i call clock() in c++? Syntax clock_t clock( void ); Arithmetic(until c11)real(since c11) type capable of representing the processor time used by a process. Time.h header file in c with examples.. Clock T Example In C.
From blog.csdn.net
C语言 详解如何编写闪烁显示字符串的函数_c语言闪烁代码CSDN博客 Clock T Example In C Returns the approximate processor time used by the process since the beginning of an implementation. For example, i want to test how much time a linear search takes to find a given element in an array. We can call the clock function. The time.h header file contains definitions of functions to get and manipulate. Arithmetic(until c11)real(since c11) type capable of. Clock T Example In C.
From www.chegg.com
Solved Consider the three stocks in the following table. Pt Clock T Example In C Syntax clock_t clock( void ); We can call the clock function. The elapsed time since the crt. Returns the approximate processor time used by the process since the beginning of an implementation. How do i call clock() in c++? To calculate time taken by a process, we can use clock() function which is available time.h. Time.h header file in c. Clock T Example In C.
From www.electroniclinic.com
How to design digital clock using counters decoders and displays Clock T Example In C Returns the approximate processor time used by the process since the beginning of an implementation. We can call the clock function. To calculate time taken by a process, we can use clock() function which is available time.h. Syntax clock_t clock( void ); The time.h header file contains definitions of functions to get and manipulate. Time.h header file in c with. Clock T Example In C.
From askfilo.com
The graph between charge Q in coulomb and time t in second is parabolic. Clock T Example In C The time.h header file contains definitions of functions to get and manipulate. Arithmetic(until c11)real(since c11) type capable of representing the processor time used by a process. The elapsed time since the crt. How do i call clock() in c++? Time.h header file in c with examples. To calculate time taken by a process, we can use clock() function which is. Clock T Example In C.
From www.researchgate.net
Preference Functions at Time t, Example Download Table Clock T Example In C How do i call clock() in c++? Time.h header file in c with examples. The elapsed time since the crt. Arithmetic(until c11)real(since c11) type capable of representing the processor time used by a process. For example, i want to test how much time a linear search takes to find a given element in an array. To calculate time taken by. Clock T Example In C.
From www.youtube.com
How to generate a clock in verilog testbench and syntax for timescale Clock T Example In C How do i call clock() in c++? For example, i want to test how much time a linear search takes to find a given element in an array. Arithmetic(until c11)real(since c11) type capable of representing the processor time used by a process. The elapsed time since the crt. The time.h header file contains definitions of functions to get and manipulate.. Clock T Example In C.
From www.bartleby.com
Answered Complete the timing diagram for the… bartleby Clock T Example In C We can call the clock function. Arithmetic(until c11)real(since c11) type capable of representing the processor time used by a process. Returns the approximate processor time used by the process since the beginning of an implementation. How do i call clock() in c++? Syntax clock_t clock( void ); Time.h header file in c with examples. For example, i want to test. Clock T Example In C.
From github.com
GitHub LevelUp8/analogclock example of analog clock created with Clock T Example In C The elapsed time since the crt. Time.h header file in c with examples. How do i call clock() in c++? For example, i want to test how much time a linear search takes to find a given element in an array. The time.h header file contains definitions of functions to get and manipulate. To calculate time taken by a process,. Clock T Example In C.
From stackoverflow.com
c++ clock_t and clock in does not declared in this scope in Qt Clock T Example In C We can call the clock function. How do i call clock() in c++? Arithmetic(until c11)real(since c11) type capable of representing the processor time used by a process. The elapsed time since the crt. For example, i want to test how much time a linear search takes to find a given element in an array. To calculate time taken by a. Clock T Example In C.
From www.youtube.com
Clock Drawing Test YouTube Clock T Example In C Syntax clock_t clock( void ); To calculate time taken by a process, we can use clock() function which is available time.h. How do i call clock() in c++? Arithmetic(until c11)real(since c11) type capable of representing the processor time used by a process. The elapsed time since the crt. The time.h header file contains definitions of functions to get and manipulate.. Clock T Example In C.
From www.chegg.com
Solved A particle moves along the xaxis so that its Clock T Example In C Syntax clock_t clock( void ); How do i call clock() in c++? Time.h header file in c with examples. Arithmetic(until c11)real(since c11) type capable of representing the processor time used by a process. We can call the clock function. For example, i want to test how much time a linear search takes to find a given element in an array.. Clock T Example In C.
From github.com
GitHub Example Clock T Example In C We can call the clock function. Arithmetic(until c11)real(since c11) type capable of representing the processor time used by a process. To calculate time taken by a process, we can use clock() function which is available time.h. The elapsed time since the crt. The time.h header file contains definitions of functions to get and manipulate. How do i call clock() in. Clock T Example In C.
From www.electroniclinic.com
How to design digital clock using counters decoders and displays Clock T Example In C Time.h header file in c with examples. Returns the approximate processor time used by the process since the beginning of an implementation. To calculate time taken by a process, we can use clock() function which is available time.h. Syntax clock_t clock( void ); We can call the clock function. The elapsed time since the crt. The time.h header file contains. Clock T Example In C.
From pngtree.com
O Clock Vector Design Images, One O Clock Icon Vector Design Template Clock T Example In C We can call the clock function. For example, i want to test how much time a linear search takes to find a given element in an array. Syntax clock_t clock( void ); Time.h header file in c with examples. Returns the approximate processor time used by the process since the beginning of an implementation. The time.h header file contains definitions. Clock T Example In C.
From www.tutorialgateway.org
C For Loop Clock T Example In C The elapsed time since the crt. Returns the approximate processor time used by the process since the beginning of an implementation. Syntax clock_t clock( void ); We can call the clock function. To calculate time taken by a process, we can use clock() function which is available time.h. How do i call clock() in c++? Arithmetic(until c11)real(since c11) type capable. Clock T Example In C.
From www.youtube.com
Simple C Using typedef and struct YouTube Clock T Example In C Syntax clock_t clock( void ); We can call the clock function. For example, i want to test how much time a linear search takes to find a given element in an array. Arithmetic(until c11)real(since c11) type capable of representing the processor time used by a process. The elapsed time since the crt. The time.h header file contains definitions of functions. Clock T Example In C.
From www.youtube.com
How to implement a Verilog testbench Clock Generator for sequential Clock T Example In C Returns the approximate processor time used by the process since the beginning of an implementation. To calculate time taken by a process, we can use clock() function which is available time.h. We can call the clock function. The elapsed time since the crt. For example, i want to test how much time a linear search takes to find a given. Clock T Example In C.
From www.electroniclinic.com
Types of Clock Discrete Components and Integrated Circuit TTL Clock Clock T Example In C To calculate time taken by a process, we can use clock() function which is available time.h. Time.h header file in c with examples. We can call the clock function. How do i call clock() in c++? The elapsed time since the crt. Arithmetic(until c11)real(since c11) type capable of representing the processor time used by a process. For example, i want. Clock T Example In C.
From www.artofit.org
Tm1637 4 digit 7 segment display with arduino digital clock example Clock T Example In C We can call the clock function. For example, i want to test how much time a linear search takes to find a given element in an array. How do i call clock() in c++? Returns the approximate processor time used by the process since the beginning of an implementation. The time.h header file contains definitions of functions to get and. Clock T Example In C.
From doodlelearning.com
How to Read a Clock (Digital & Analog) DoodleLearning Clock T Example In C We can call the clock function. To calculate time taken by a process, we can use clock() function which is available time.h. Time.h header file in c with examples. Returns the approximate processor time used by the process since the beginning of an implementation. The time.h header file contains definitions of functions to get and manipulate. Syntax clock_t clock( void. Clock T Example In C.
From www.reddit.com
How is this example related to Lamport clock theory? I can't relate Clock T Example In C To calculate time taken by a process, we can use clock() function which is available time.h. For example, i want to test how much time a linear search takes to find a given element in an array. The time.h header file contains definitions of functions to get and manipulate. How do i call clock() in c++? The elapsed time since. Clock T Example In C.
From in.pinterest.com
C Program to Find the Sum of First N Natural Numbers BTech Geeks Clock T Example In C To calculate time taken by a process, we can use clock() function which is available time.h. The time.h header file contains definitions of functions to get and manipulate. Time.h header file in c with examples. We can call the clock function. Arithmetic(until c11)real(since c11) type capable of representing the processor time used by a process. Returns the approximate processor time. Clock T Example In C.
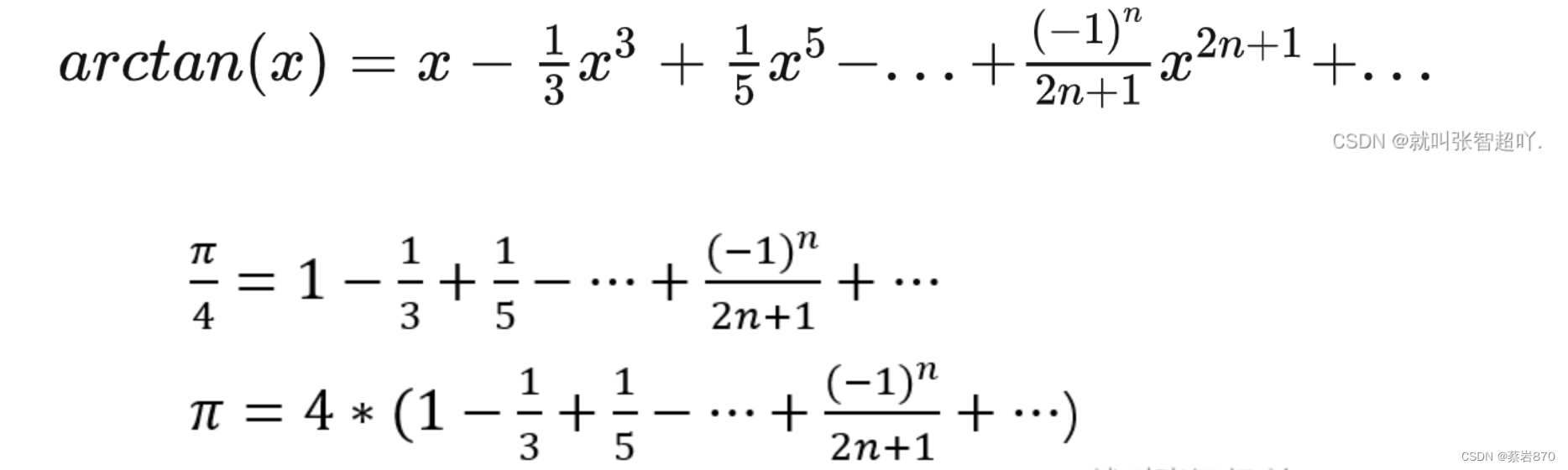
From blog.csdn.net
C语言计算圆周率到小数点后十七位_pi小数点后17位 计算CSDN博客 Clock T Example In C The time.h header file contains definitions of functions to get and manipulate. Arithmetic(until c11)real(since c11) type capable of representing the processor time used by a process. We can call the clock function. Returns the approximate processor time used by the process since the beginning of an implementation. The elapsed time since the crt. How do i call clock() in c++?. Clock T Example In C.
From www.studocu.com
Javaprogram digital clock example INF1010 UiO Studocu Clock T Example In C Returns the approximate processor time used by the process since the beginning of an implementation. How do i call clock() in c++? To calculate time taken by a process, we can use clock() function which is available time.h. We can call the clock function. The time.h header file contains definitions of functions to get and manipulate. For example, i want. Clock T Example In C.
From byjus.com
A particle is executing SHM with time period T .Starting from mean Clock T Example In C How do i call clock() in c++? Returns the approximate processor time used by the process since the beginning of an implementation. The time.h header file contains definitions of functions to get and manipulate. Time.h header file in c with examples. To calculate time taken by a process, we can use clock() function which is available time.h. The elapsed time. Clock T Example In C.
From blog.51cto.com
【算法】测试C++标准库中sort算法在不同输入规模下的运行时间 并观察其变化趋势(C++源码)_wx62e89325139dd的技术博客 Clock T Example In C The time.h header file contains definitions of functions to get and manipulate. To calculate time taken by a process, we can use clock() function which is available time.h. The elapsed time since the crt. For example, i want to test how much time a linear search takes to find a given element in an array. How do i call clock(). Clock T Example In C.
From astonishingceiyrs.blogspot.com
Structure In C astonishingceiyrs Clock T Example In C For example, i want to test how much time a linear search takes to find a given element in an array. Syntax clock_t clock( void ); The time.h header file contains definitions of functions to get and manipulate. Arithmetic(until c11)real(since c11) type capable of representing the processor time used by a process. The elapsed time since the crt. We can. Clock T Example In C.
From blog.51cto.com
小朋友学C++(22):cin与scanf,cout与printf的效率比较_51CTO博客_cin cout printf scanf Clock T Example In C The elapsed time since the crt. To calculate time taken by a process, we can use clock() function which is available time.h. How do i call clock() in c++? Returns the approximate processor time used by the process since the beginning of an implementation. Syntax clock_t clock( void ); Arithmetic(until c11)real(since c11) type capable of representing the processor time used. Clock T Example In C.
From www.youtube.com
Digital Clock vs Analogue Clock Examples Telling Time I Jackson Clock T Example In C Arithmetic(until c11)real(since c11) type capable of representing the processor time used by a process. Returns the approximate processor time used by the process since the beginning of an implementation. The elapsed time since the crt. For example, i want to test how much time a linear search takes to find a given element in an array. To calculate time taken. Clock T Example In C.
From www.chegg.com
Solved The current i in an electric circuit containing Clock T Example In C Arithmetic(until c11)real(since c11) type capable of representing the processor time used by a process. How do i call clock() in c++? For example, i want to test how much time a linear search takes to find a given element in an array. Returns the approximate processor time used by the process since the beginning of an implementation. Time.h header file. Clock T Example In C.
From www.testingdocs.com
Structure of a C Function Clock T Example In C The elapsed time since the crt. Syntax clock_t clock( void ); The time.h header file contains definitions of functions to get and manipulate. To calculate time taken by a process, we can use clock() function which is available time.h. We can call the clock function. For example, i want to test how much time a linear search takes to find. Clock T Example In C.
From www.allaboutcircuits.com
What is Clock Skew? Understanding Clock Skew in a Clock Distribution Clock T Example In C For example, i want to test how much time a linear search takes to find a given element in an array. Returns the approximate processor time used by the process since the beginning of an implementation. To calculate time taken by a process, we can use clock() function which is available time.h. Syntax clock_t clock( void ); The time.h header. Clock T Example In C.
From cboard.cprogramming.com
Pseudocode help Clock T Example In C Time.h header file in c with examples. To calculate time taken by a process, we can use clock() function which is available time.h. We can call the clock function. For example, i want to test how much time a linear search takes to find a given element in an array. How do i call clock() in c++? Returns the approximate. Clock T Example In C.