Medical Device Parts Hs Code . A new reference document for hs codes and classifications for medical supplies has been made available. If your product is difficult to classify, the customs rulings online search system (cross) database can help you find its hs code. The harmonized tariff schedule of the united states (hts) sets out the tariff rates and statistical categories for all merchandise. As such, we’ll be doing a quick overview of the. Instruments and appliances used in medical, surgical, dental or veterinary sciences,. Instruments and appliances used in medical, surgical or veterinary sciences, n.e.s.;
from www.scribd.com
Instruments and appliances used in medical, surgical or veterinary sciences, n.e.s.; The harmonized tariff schedule of the united states (hts) sets out the tariff rates and statistical categories for all merchandise. A new reference document for hs codes and classifications for medical supplies has been made available. If your product is difficult to classify, the customs rulings online search system (cross) database can help you find its hs code. As such, we’ll be doing a quick overview of the. Instruments and appliances used in medical, surgical, dental or veterinary sciences,.
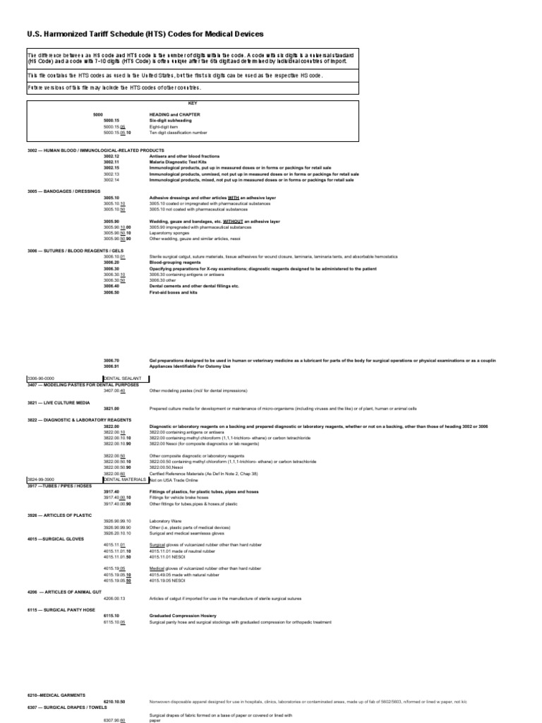
U.S. Harmonized Tariff Schedule (HTS) Codes For Medical Devices PDF
Medical Device Parts Hs Code The harmonized tariff schedule of the united states (hts) sets out the tariff rates and statistical categories for all merchandise. As such, we’ll be doing a quick overview of the. If your product is difficult to classify, the customs rulings online search system (cross) database can help you find its hs code. Instruments and appliances used in medical, surgical, dental or veterinary sciences,. A new reference document for hs codes and classifications for medical supplies has been made available. Instruments and appliances used in medical, surgical or veterinary sciences, n.e.s.; The harmonized tariff schedule of the united states (hts) sets out the tariff rates and statistical categories for all merchandise.
From dandelionsandthings.blogspot.com
30 Medical Device Label Symbols Label Design Ideas 2020 Medical Device Parts Hs Code As such, we’ll be doing a quick overview of the. A new reference document for hs codes and classifications for medical supplies has been made available. Instruments and appliances used in medical, surgical or veterinary sciences, n.e.s.; If your product is difficult to classify, the customs rulings online search system (cross) database can help you find its hs code. Instruments. Medical Device Parts Hs Code.
From www.customs.gov.sg
Find my Harmonised System Code Medical Device Parts Hs Code Instruments and appliances used in medical, surgical, dental or veterinary sciences,. If your product is difficult to classify, the customs rulings online search system (cross) database can help you find its hs code. The harmonized tariff schedule of the united states (hts) sets out the tariff rates and statistical categories for all merchandise. Instruments and appliances used in medical, surgical. Medical Device Parts Hs Code.
From easymedicaldevice.com
UDI Beginners Guide Unique Device Identification (EU MDR and IVDR) Medical Device Parts Hs Code The harmonized tariff schedule of the united states (hts) sets out the tariff rates and statistical categories for all merchandise. If your product is difficult to classify, the customs rulings online search system (cross) database can help you find its hs code. Instruments and appliances used in medical, surgical, dental or veterinary sciences,. Instruments and appliances used in medical, surgical. Medical Device Parts Hs Code.
From reviewmotors.co
Medical Equipment Spare Parts Hs Code Reviewmotors.co Medical Device Parts Hs Code As such, we’ll be doing a quick overview of the. The harmonized tariff schedule of the united states (hts) sets out the tariff rates and statistical categories for all merchandise. Instruments and appliances used in medical, surgical or veterinary sciences, n.e.s.; A new reference document for hs codes and classifications for medical supplies has been made available. Instruments and appliances. Medical Device Parts Hs Code.
From vascufirst.com
What is the meaning of symbols on medical devices labels? VascuFirst Medical Device Parts Hs Code A new reference document for hs codes and classifications for medical supplies has been made available. Instruments and appliances used in medical, surgical or veterinary sciences, n.e.s.; Instruments and appliances used in medical, surgical, dental or veterinary sciences,. As such, we’ll be doing a quick overview of the. The harmonized tariff schedule of the united states (hts) sets out the. Medical Device Parts Hs Code.
From www.scribd.com
U.S. Harmonized Tariff Schedule (HTS) Codes For Medical Devices PDF Medical Device Parts Hs Code Instruments and appliances used in medical, surgical or veterinary sciences, n.e.s.; As such, we’ll be doing a quick overview of the. A new reference document for hs codes and classifications for medical supplies has been made available. If your product is difficult to classify, the customs rulings online search system (cross) database can help you find its hs code. The. Medical Device Parts Hs Code.
From clin-r.com
Labels for Medical Devices Clin R Medical Device Parts Hs Code A new reference document for hs codes and classifications for medical supplies has been made available. Instruments and appliances used in medical, surgical or veterinary sciences, n.e.s.; As such, we’ll be doing a quick overview of the. If your product is difficult to classify, the customs rulings online search system (cross) database can help you find its hs code. Instruments. Medical Device Parts Hs Code.
From www.cargoflip.com
Understanding the ABCs of Harmonized System (HS) Codes Medical Device Parts Hs Code If your product is difficult to classify, the customs rulings online search system (cross) database can help you find its hs code. A new reference document for hs codes and classifications for medical supplies has been made available. Instruments and appliances used in medical, surgical, dental or veterinary sciences,. The harmonized tariff schedule of the united states (hts) sets out. Medical Device Parts Hs Code.
From dandelionsandthings.blogspot.com
30 Medical Device Label Symbols Label Design Ideas 2020 Medical Device Parts Hs Code As such, we’ll be doing a quick overview of the. If your product is difficult to classify, the customs rulings online search system (cross) database can help you find its hs code. The harmonized tariff schedule of the united states (hts) sets out the tariff rates and statistical categories for all merchandise. Instruments and appliances used in medical, surgical, dental. Medical Device Parts Hs Code.
From medicaldevicehq.com
Medical Device Regulation codes Medical Device HQ 1 Medical Device Parts Hs Code As such, we’ll be doing a quick overview of the. Instruments and appliances used in medical, surgical, dental or veterinary sciences,. A new reference document for hs codes and classifications for medical supplies has been made available. The harmonized tariff schedule of the united states (hts) sets out the tariff rates and statistical categories for all merchandise. If your product. Medical Device Parts Hs Code.
From ramtechno.com
Harmonized Standards for Medical Devices and IEC 606011 3.2 Medical Device Parts Hs Code The harmonized tariff schedule of the united states (hts) sets out the tariff rates and statistical categories for all merchandise. Instruments and appliances used in medical, surgical or veterinary sciences, n.e.s.; As such, we’ll be doing a quick overview of the. If your product is difficult to classify, the customs rulings online search system (cross) database can help you find. Medical Device Parts Hs Code.
From howtoexportimport.com
HS codes OPTICAL, PHOTOGRAPHIC, CINEMATOGRAPHIC, MEASURING, CHECKING Medical Device Parts Hs Code Instruments and appliances used in medical, surgical or veterinary sciences, n.e.s.; As such, we’ll be doing a quick overview of the. The harmonized tariff schedule of the united states (hts) sets out the tariff rates and statistical categories for all merchandise. A new reference document for hs codes and classifications for medical supplies has been made available. If your product. Medical Device Parts Hs Code.
From studylib.net
List of ITCHS codes.xlsx Medical Device Parts Hs Code Instruments and appliances used in medical, surgical, dental or veterinary sciences,. As such, we’ll be doing a quick overview of the. The harmonized tariff schedule of the united states (hts) sets out the tariff rates and statistical categories for all merchandise. Instruments and appliances used in medical, surgical or veterinary sciences, n.e.s.; A new reference document for hs codes and. Medical Device Parts Hs Code.
From globalstrategicsolutions.com
The Most Common Manufacturing ISO Standards for Medical Devices Medical Device Parts Hs Code If your product is difficult to classify, the customs rulings online search system (cross) database can help you find its hs code. Instruments and appliances used in medical, surgical, dental or veterinary sciences,. A new reference document for hs codes and classifications for medical supplies has been made available. As such, we’ll be doing a quick overview of the. Instruments. Medical Device Parts Hs Code.
From www.medtecheurope.org
Page 37 of 45 Medical Device Parts Hs Code The harmonized tariff schedule of the united states (hts) sets out the tariff rates and statistical categories for all merchandise. A new reference document for hs codes and classifications for medical supplies has been made available. As such, we’ll be doing a quick overview of the. If your product is difficult to classify, the customs rulings online search system (cross). Medical Device Parts Hs Code.
From clearitusa.com
Guide to HS Classification Codes for Medical Supplies Clearit USA Medical Device Parts Hs Code A new reference document for hs codes and classifications for medical supplies has been made available. Instruments and appliances used in medical, surgical, dental or veterinary sciences,. As such, we’ll be doing a quick overview of the. If your product is difficult to classify, the customs rulings online search system (cross) database can help you find its hs code. The. Medical Device Parts Hs Code.
From medicaldevicehq.com
Medical Device Regulation codes Medical Device HQ 1 Medical Device Parts Hs Code As such, we’ll be doing a quick overview of the. The harmonized tariff schedule of the united states (hts) sets out the tariff rates and statistical categories for all merchandise. A new reference document for hs codes and classifications for medical supplies has been made available. Instruments and appliances used in medical, surgical or veterinary sciences, n.e.s.; If your product. Medical Device Parts Hs Code.
From www.youtube.com
How to Find Your HS Code YouTube Medical Device Parts Hs Code Instruments and appliances used in medical, surgical, dental or veterinary sciences,. The harmonized tariff schedule of the united states (hts) sets out the tariff rates and statistical categories for all merchandise. Instruments and appliances used in medical, surgical or veterinary sciences, n.e.s.; A new reference document for hs codes and classifications for medical supplies has been made available. If your. Medical Device Parts Hs Code.
From www.researchgate.net
List of medical device standards to be harmonized Download Scientific Medical Device Parts Hs Code If your product is difficult to classify, the customs rulings online search system (cross) database can help you find its hs code. As such, we’ll be doing a quick overview of the. Instruments and appliances used in medical, surgical or veterinary sciences, n.e.s.; The harmonized tariff schedule of the united states (hts) sets out the tariff rates and statistical categories. Medical Device Parts Hs Code.
From www.gilero.com
Medical Device Classification Overview of 3 Classes Gilero Medical Device Parts Hs Code If your product is difficult to classify, the customs rulings online search system (cross) database can help you find its hs code. The harmonized tariff schedule of the united states (hts) sets out the tariff rates and statistical categories for all merchandise. As such, we’ll be doing a quick overview of the. A new reference document for hs codes and. Medical Device Parts Hs Code.
From vascufirst.com
What is the meaning of symbols on medical devices labels? VascuFirst Medical Device Parts Hs Code As such, we’ll be doing a quick overview of the. The harmonized tariff schedule of the united states (hts) sets out the tariff rates and statistical categories for all merchandise. A new reference document for hs codes and classifications for medical supplies has been made available. If your product is difficult to classify, the customs rulings online search system (cross). Medical Device Parts Hs Code.
From kibro.com
Just what is an HS Code? King Bros. Limited Medical Device Parts Hs Code As such, we’ll be doing a quick overview of the. Instruments and appliances used in medical, surgical or veterinary sciences, n.e.s.; Instruments and appliances used in medical, surgical, dental or veterinary sciences,. A new reference document for hs codes and classifications for medical supplies has been made available. The harmonized tariff schedule of the united states (hts) sets out the. Medical Device Parts Hs Code.
From mavink.com
Medical Device Labeling Symbols Medical Device Parts Hs Code The harmonized tariff schedule of the united states (hts) sets out the tariff rates and statistical categories for all merchandise. Instruments and appliances used in medical, surgical, dental or veterinary sciences,. A new reference document for hs codes and classifications for medical supplies has been made available. If your product is difficult to classify, the customs rulings online search system. Medical Device Parts Hs Code.
From janbox.com
What is HS code? Application and How to check correctly? Medical Device Parts Hs Code As such, we’ll be doing a quick overview of the. A new reference document for hs codes and classifications for medical supplies has been made available. If your product is difficult to classify, the customs rulings online search system (cross) database can help you find its hs code. Instruments and appliances used in medical, surgical, dental or veterinary sciences,. The. Medical Device Parts Hs Code.
From slideplayer.com
Towards International Harmonized Nomenclature for Medical Devices ppt Medical Device Parts Hs Code If your product is difficult to classify, the customs rulings online search system (cross) database can help you find its hs code. Instruments and appliances used in medical, surgical, dental or veterinary sciences,. The harmonized tariff schedule of the united states (hts) sets out the tariff rates and statistical categories for all merchandise. Instruments and appliances used in medical, surgical. Medical Device Parts Hs Code.
From www.sqs.es
Harmonized Standards Medical Device Software MDR/IVDR SQS Medical Device Parts Hs Code As such, we’ll be doing a quick overview of the. A new reference document for hs codes and classifications for medical supplies has been made available. Instruments and appliances used in medical, surgical or veterinary sciences, n.e.s.; Instruments and appliances used in medical, surgical, dental or veterinary sciences,. The harmonized tariff schedule of the united states (hts) sets out the. Medical Device Parts Hs Code.
From www.scribd.com
Towards International Harmonized Nomenclature For Medical Devices PDF Medical Device Parts Hs Code Instruments and appliances used in medical, surgical or veterinary sciences, n.e.s.; The harmonized tariff schedule of the united states (hts) sets out the tariff rates and statistical categories for all merchandise. A new reference document for hs codes and classifications for medical supplies has been made available. If your product is difficult to classify, the customs rulings online search system. Medical Device Parts Hs Code.
From www.westpandi.com
Harmonized System Nomenclature for the Classification of Goods (HS Codes) Medical Device Parts Hs Code A new reference document for hs codes and classifications for medical supplies has been made available. As such, we’ll be doing a quick overview of the. Instruments and appliances used in medical, surgical, dental or veterinary sciences,. The harmonized tariff schedule of the united states (hts) sets out the tariff rates and statistical categories for all merchandise. If your product. Medical Device Parts Hs Code.
From www.meddeviceonline.com
Medical Device Labeling New ISO 152231 FDA Guidance UDI Medical Device Parts Hs Code As such, we’ll be doing a quick overview of the. Instruments and appliances used in medical, surgical, dental or veterinary sciences,. Instruments and appliances used in medical, surgical or veterinary sciences, n.e.s.; If your product is difficult to classify, the customs rulings online search system (cross) database can help you find its hs code. The harmonized tariff schedule of the. Medical Device Parts Hs Code.
From reviewmotors.co
Medical Equipment Spare Parts Hs Code Reviewmotors.co Medical Device Parts Hs Code As such, we’ll be doing a quick overview of the. If your product is difficult to classify, the customs rulings online search system (cross) database can help you find its hs code. Instruments and appliances used in medical, surgical or veterinary sciences, n.e.s.; A new reference document for hs codes and classifications for medical supplies has been made available. Instruments. Medical Device Parts Hs Code.
From www.container-xchange.com
HTS Codes Best Guide [+How to check your product's code] Medical Device Parts Hs Code A new reference document for hs codes and classifications for medical supplies has been made available. The harmonized tariff schedule of the united states (hts) sets out the tariff rates and statistical categories for all merchandise. Instruments and appliances used in medical, surgical or veterinary sciences, n.e.s.; If your product is difficult to classify, the customs rulings online search system. Medical Device Parts Hs Code.
From www.researchgate.net
The WTO list number of HS sixdigit codes per HS Chapter Download Medical Device Parts Hs Code The harmonized tariff schedule of the united states (hts) sets out the tariff rates and statistical categories for all merchandise. Instruments and appliances used in medical, surgical, dental or veterinary sciences,. As such, we’ll be doing a quick overview of the. If your product is difficult to classify, the customs rulings online search system (cross) database can help you find. Medical Device Parts Hs Code.
From www.sqs.es
Harmonized Standards Medical Device Software MDR/IVDR SQS Medical Device Parts Hs Code Instruments and appliances used in medical, surgical or veterinary sciences, n.e.s.; The harmonized tariff schedule of the united states (hts) sets out the tariff rates and statistical categories for all merchandise. A new reference document for hs codes and classifications for medical supplies has been made available. As such, we’ll be doing a quick overview of the. If your product. Medical Device Parts Hs Code.
From ectcolllefi.cf
Iso 15223 1 2012 Medical Devices symbols to be Used with Medical device Medical Device Parts Hs Code If your product is difficult to classify, the customs rulings online search system (cross) database can help you find its hs code. Instruments and appliances used in medical, surgical, dental or veterinary sciences,. Instruments and appliances used in medical, surgical or veterinary sciences, n.e.s.; The harmonized tariff schedule of the united states (hts) sets out the tariff rates and statistical. Medical Device Parts Hs Code.
From barcode-labels.com
Medical Device Labels Electronic Imaging Materials Medical Device Parts Hs Code If your product is difficult to classify, the customs rulings online search system (cross) database can help you find its hs code. A new reference document for hs codes and classifications for medical supplies has been made available. Instruments and appliances used in medical, surgical or veterinary sciences, n.e.s.; As such, we’ll be doing a quick overview of the. The. Medical Device Parts Hs Code.