Light Bulb Emits Heat . Light bulb temperature refers to the color of the light emitted by the bulb, measured in kelvin (k), not the heat it produces. Halogen and cfl bulbs also. In an incandescent bulb, light is obtained by emission from a tungsten filament heated by passing electric current to a. Most of the electric current. The agitation and vibration of the atoms within the material of the filament produces heat energy. A light bulb heat temperature chart is not just a tool for picking light bulbs; It’s a guide for creating the perfect lighting for any setting. Yes, a light bulb generates heat in a room. Incandescent light bulbs produce the most heat, using only 5% of the energy they receive for lighting. However, the amount of heat it generates depends on the bulb type and the room size.
from gadfurniture.com
The agitation and vibration of the atoms within the material of the filament produces heat energy. Light bulb temperature refers to the color of the light emitted by the bulb, measured in kelvin (k), not the heat it produces. However, the amount of heat it generates depends on the bulb type and the room size. Yes, a light bulb generates heat in a room. Halogen and cfl bulbs also. A light bulb heat temperature chart is not just a tool for picking light bulbs; In an incandescent bulb, light is obtained by emission from a tungsten filament heated by passing electric current to a. Incandescent light bulbs produce the most heat, using only 5% of the energy they receive for lighting. Most of the electric current. It’s a guide for creating the perfect lighting for any setting.
Best 100 W Bulb Heating Home Gadgets
Light Bulb Emits Heat However, the amount of heat it generates depends on the bulb type and the room size. A light bulb heat temperature chart is not just a tool for picking light bulbs; The agitation and vibration of the atoms within the material of the filament produces heat energy. In an incandescent bulb, light is obtained by emission from a tungsten filament heated by passing electric current to a. Incandescent light bulbs produce the most heat, using only 5% of the energy they receive for lighting. However, the amount of heat it generates depends on the bulb type and the room size. It’s a guide for creating the perfect lighting for any setting. Yes, a light bulb generates heat in a room. Light bulb temperature refers to the color of the light emitted by the bulb, measured in kelvin (k), not the heat it produces. Halogen and cfl bulbs also. Most of the electric current.
From www.chegg.com
Solved As shown in the figure, a small light bulb that emits Light Bulb Emits Heat Light bulb temperature refers to the color of the light emitted by the bulb, measured in kelvin (k), not the heat it produces. Incandescent light bulbs produce the most heat, using only 5% of the energy they receive for lighting. Most of the electric current. In an incandescent bulb, light is obtained by emission from a tungsten filament heated by. Light Bulb Emits Heat.
From www.slideserve.com
PPT Fill in the blanks. PowerPoint Presentation ID6101057 Light Bulb Emits Heat Incandescent light bulbs produce the most heat, using only 5% of the energy they receive for lighting. The agitation and vibration of the atoms within the material of the filament produces heat energy. However, the amount of heat it generates depends on the bulb type and the room size. It’s a guide for creating the perfect lighting for any setting.. Light Bulb Emits Heat.
From www.dreamstime.com
Bulb. Incandescent Lamp. Source of Light Whith Interesting Effect Stock Light Bulb Emits Heat A light bulb heat temperature chart is not just a tool for picking light bulbs; Most of the electric current. Light bulb temperature refers to the color of the light emitted by the bulb, measured in kelvin (k), not the heat it produces. It’s a guide for creating the perfect lighting for any setting. Halogen and cfl bulbs also. Incandescent. Light Bulb Emits Heat.
From www.youtube.com
A 100 watt bulb emits monochromatic light of wavelength 400nm Light Bulb Emits Heat Yes, a light bulb generates heat in a room. Halogen and cfl bulbs also. Most of the electric current. It’s a guide for creating the perfect lighting for any setting. Incandescent light bulbs produce the most heat, using only 5% of the energy they receive for lighting. Light bulb temperature refers to the color of the light emitted by the. Light Bulb Emits Heat.
From www.dreamstime.com
Incandescent Bulb Under the Roof, Neon Lamp, Indicator Stock Image Light Bulb Emits Heat It’s a guide for creating the perfect lighting for any setting. In an incandescent bulb, light is obtained by emission from a tungsten filament heated by passing electric current to a. Halogen and cfl bulbs also. Most of the electric current. Incandescent light bulbs produce the most heat, using only 5% of the energy they receive for lighting. A light. Light Bulb Emits Heat.
From www.dreamstime.com
Bulb stock photo. Image of rainy, vast, illumination 47221226 Light Bulb Emits Heat Yes, a light bulb generates heat in a room. However, the amount of heat it generates depends on the bulb type and the room size. The agitation and vibration of the atoms within the material of the filament produces heat energy. A light bulb heat temperature chart is not just a tool for picking light bulbs; In an incandescent bulb,. Light Bulb Emits Heat.
From www.fire2fusion.com
Light Energy Pictures Light Bulb Emits Heat Yes, a light bulb generates heat in a room. A light bulb heat temperature chart is not just a tool for picking light bulbs; Light bulb temperature refers to the color of the light emitted by the bulb, measured in kelvin (k), not the heat it produces. Incandescent light bulbs produce the most heat, using only 5% of the energy. Light Bulb Emits Heat.
From homeminimalisite.com
How To Put In A Light Bulb Light Bulb Emits Heat In an incandescent bulb, light is obtained by emission from a tungsten filament heated by passing electric current to a. Yes, a light bulb generates heat in a room. Light bulb temperature refers to the color of the light emitted by the bulb, measured in kelvin (k), not the heat it produces. Halogen and cfl bulbs also. Incandescent light bulbs. Light Bulb Emits Heat.
From www.grainger.com
SHATRSHIELD Incandescent Heat Bulb, R40, Medium Screw (E26), Lumens Light Bulb Emits Heat Incandescent light bulbs produce the most heat, using only 5% of the energy they receive for lighting. It’s a guide for creating the perfect lighting for any setting. In an incandescent bulb, light is obtained by emission from a tungsten filament heated by passing electric current to a. Most of the electric current. A light bulb heat temperature chart is. Light Bulb Emits Heat.
From www.allenshariff.com
Light Emitting Diodes (LEDs) Green Technology Light Bulb Emits Heat It’s a guide for creating the perfect lighting for any setting. Most of the electric current. Incandescent light bulbs produce the most heat, using only 5% of the energy they receive for lighting. Light bulb temperature refers to the color of the light emitted by the bulb, measured in kelvin (k), not the heat it produces. In an incandescent bulb,. Light Bulb Emits Heat.
From www.toppr.com
A 100 watt bulb emits monochromatic light of wavelength 400 nm Light Bulb Emits Heat Most of the electric current. Light bulb temperature refers to the color of the light emitted by the bulb, measured in kelvin (k), not the heat it produces. Incandescent light bulbs produce the most heat, using only 5% of the energy they receive for lighting. Yes, a light bulb generates heat in a room. It’s a guide for creating the. Light Bulb Emits Heat.
From www.attainablehome.com
It's Hot in Here Which Light Bulbs Produce the Most Heat Attainable Home Light Bulb Emits Heat In an incandescent bulb, light is obtained by emission from a tungsten filament heated by passing electric current to a. Incandescent light bulbs produce the most heat, using only 5% of the energy they receive for lighting. The agitation and vibration of the atoms within the material of the filament produces heat energy. Yes, a light bulb generates heat in. Light Bulb Emits Heat.
From www.aliexpress.com
10PCs/ lot UVA + UVB Sunning Heat Lamp 2575 Watt Bulb, emits a broad Light Bulb Emits Heat A light bulb heat temperature chart is not just a tool for picking light bulbs; Light bulb temperature refers to the color of the light emitted by the bulb, measured in kelvin (k), not the heat it produces. Yes, a light bulb generates heat in a room. Halogen and cfl bulbs also. The agitation and vibration of the atoms within. Light Bulb Emits Heat.
From www.chegg.com
Solved A light bulb emits waves of various Light Bulb Emits Heat It’s a guide for creating the perfect lighting for any setting. Halogen and cfl bulbs also. Incandescent light bulbs produce the most heat, using only 5% of the energy they receive for lighting. A light bulb heat temperature chart is not just a tool for picking light bulbs; In an incandescent bulb, light is obtained by emission from a tungsten. Light Bulb Emits Heat.
From www.livescience.com
Lightbulbs Incandescent, Fluorescent, LED (Infographic) Live Science Light Bulb Emits Heat Yes, a light bulb generates heat in a room. The agitation and vibration of the atoms within the material of the filament produces heat energy. Most of the electric current. Incandescent light bulbs produce the most heat, using only 5% of the energy they receive for lighting. It’s a guide for creating the perfect lighting for any setting. Light bulb. Light Bulb Emits Heat.
From lumenauthority.com
How Does a Incandescent Light Bulb Work? [StepbyStep] Light Bulb Emits Heat It’s a guide for creating the perfect lighting for any setting. The agitation and vibration of the atoms within the material of the filament produces heat energy. Most of the electric current. Light bulb temperature refers to the color of the light emitted by the bulb, measured in kelvin (k), not the heat it produces. A light bulb heat temperature. Light Bulb Emits Heat.
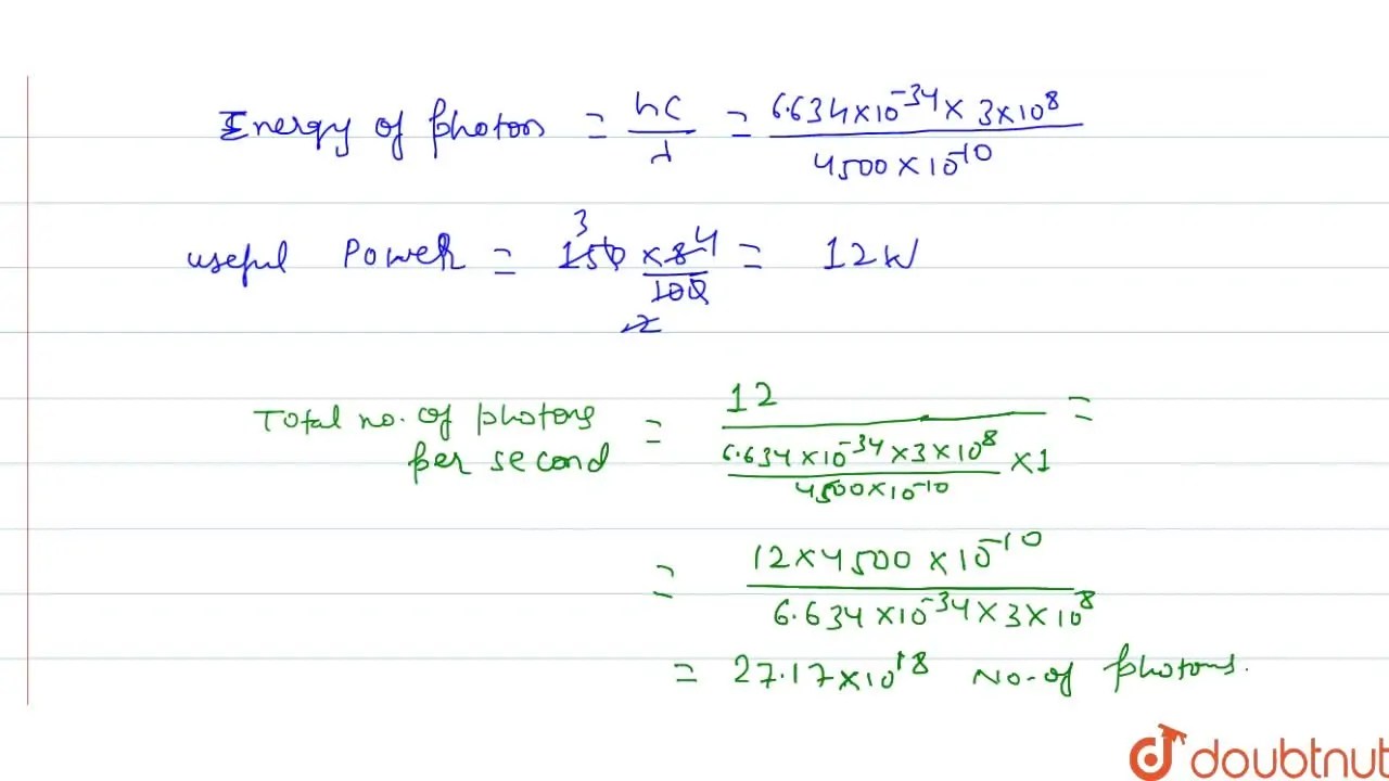
From www.doubtnut.com
A bulb lamp emits light of mean wavelength of 4500A. The lamp is rated Light Bulb Emits Heat Light bulb temperature refers to the color of the light emitted by the bulb, measured in kelvin (k), not the heat it produces. Incandescent light bulbs produce the most heat, using only 5% of the energy they receive for lighting. In an incandescent bulb, light is obtained by emission from a tungsten filament heated by passing electric current to a.. Light Bulb Emits Heat.
From www.toppr.com
A 100 watt bulb emits monochromatic light of wavelength 400 nm Light Bulb Emits Heat A light bulb heat temperature chart is not just a tool for picking light bulbs; However, the amount of heat it generates depends on the bulb type and the room size. It’s a guide for creating the perfect lighting for any setting. The agitation and vibration of the atoms within the material of the filament produces heat energy. Yes, a. Light Bulb Emits Heat.
From www.numerade.com
SOLVED A 200 watt bulb emits monochromatic light of wavelength 400 nm Light Bulb Emits Heat Halogen and cfl bulbs also. In an incandescent bulb, light is obtained by emission from a tungsten filament heated by passing electric current to a. A light bulb heat temperature chart is not just a tool for picking light bulbs; It’s a guide for creating the perfect lighting for any setting. The agitation and vibration of the atoms within the. Light Bulb Emits Heat.
From gadfurniture.com
Best 100 W Bulb Heating Home Gadgets Light Bulb Emits Heat It’s a guide for creating the perfect lighting for any setting. Most of the electric current. A light bulb heat temperature chart is not just a tool for picking light bulbs; Yes, a light bulb generates heat in a room. In an incandescent bulb, light is obtained by emission from a tungsten filament heated by passing electric current to a.. Light Bulb Emits Heat.
From www.mydimmerswitch.com
Can LED Bulbs Catch Fire? [Simple Test For Your LED Bulbs] Light Bulb Emits Heat Light bulb temperature refers to the color of the light emitted by the bulb, measured in kelvin (k), not the heat it produces. Halogen and cfl bulbs also. The agitation and vibration of the atoms within the material of the filament produces heat energy. A light bulb heat temperature chart is not just a tool for picking light bulbs; Most. Light Bulb Emits Heat.
From malevus.com
How to Calculate The Energy Consumption of Light Bulbs? Malevus Light Bulb Emits Heat Incandescent light bulbs produce the most heat, using only 5% of the energy they receive for lighting. Light bulb temperature refers to the color of the light emitted by the bulb, measured in kelvin (k), not the heat it produces. Halogen and cfl bulbs also. However, the amount of heat it generates depends on the bulb type and the room. Light Bulb Emits Heat.
From www.dreamstime.com
Glowing Antique Light Bulb Emits Heat and Temperature on Wood Table Light Bulb Emits Heat Light bulb temperature refers to the color of the light emitted by the bulb, measured in kelvin (k), not the heat it produces. Most of the electric current. Yes, a light bulb generates heat in a room. Incandescent light bulbs produce the most heat, using only 5% of the energy they receive for lighting. In an incandescent bulb, light is. Light Bulb Emits Heat.
From comsol.com
Calculating the Emission Spectra from Common Light Sources COMSOL Blog Light Bulb Emits Heat In an incandescent bulb, light is obtained by emission from a tungsten filament heated by passing electric current to a. A light bulb heat temperature chart is not just a tool for picking light bulbs; It’s a guide for creating the perfect lighting for any setting. Most of the electric current. Yes, a light bulb generates heat in a room.. Light Bulb Emits Heat.
From www.dreamstime.com
Incandescent Bulb on a White Background Stock Photo Image of glass Light Bulb Emits Heat Most of the electric current. Yes, a light bulb generates heat in a room. A light bulb heat temperature chart is not just a tool for picking light bulbs; In an incandescent bulb, light is obtained by emission from a tungsten filament heated by passing electric current to a. However, the amount of heat it generates depends on the bulb. Light Bulb Emits Heat.
From www.toppr.com
A special kind of light bulb emits monochromatic light of wavelength Light Bulb Emits Heat Halogen and cfl bulbs also. The agitation and vibration of the atoms within the material of the filament produces heat energy. Yes, a light bulb generates heat in a room. A light bulb heat temperature chart is not just a tool for picking light bulbs; Light bulb temperature refers to the color of the light emitted by the bulb, measured. Light Bulb Emits Heat.
From blog.1000bulbs.com
How Incandescent Light Bulbs Work — Blog Light Bulb Emits Heat It’s a guide for creating the perfect lighting for any setting. Light bulb temperature refers to the color of the light emitted by the bulb, measured in kelvin (k), not the heat it produces. Halogen and cfl bulbs also. Incandescent light bulbs produce the most heat, using only 5% of the energy they receive for lighting. Yes, a light bulb. Light Bulb Emits Heat.
From www.webstaurantstore.com
Lavex Janitorial 250 Watt Red Infrared Light Bulb Heat Lamp Light Bulb Emits Heat A light bulb heat temperature chart is not just a tool for picking light bulbs; Incandescent light bulbs produce the most heat, using only 5% of the energy they receive for lighting. Yes, a light bulb generates heat in a room. Halogen and cfl bulbs also. Most of the electric current. In an incandescent bulb, light is obtained by emission. Light Bulb Emits Heat.
From www.vedantu.com
Electric Bulb Learn Definition, Facts & Examples Light Bulb Emits Heat Most of the electric current. Light bulb temperature refers to the color of the light emitted by the bulb, measured in kelvin (k), not the heat it produces. The agitation and vibration of the atoms within the material of the filament produces heat energy. Halogen and cfl bulbs also. However, the amount of heat it generates depends on the bulb. Light Bulb Emits Heat.
From questions-in.kunduz.com
(23.) A 100 watt bulb emits monochromatic... Physical Chemistry Light Bulb Emits Heat Halogen and cfl bulbs also. In an incandescent bulb, light is obtained by emission from a tungsten filament heated by passing electric current to a. A light bulb heat temperature chart is not just a tool for picking light bulbs; The agitation and vibration of the atoms within the material of the filament produces heat energy. Light bulb temperature refers. Light Bulb Emits Heat.
From www.dreamstime.com
Bulb. Incandescent Lamp. Source of Light Stock Photo Image of white Light Bulb Emits Heat It’s a guide for creating the perfect lighting for any setting. In an incandescent bulb, light is obtained by emission from a tungsten filament heated by passing electric current to a. Light bulb temperature refers to the color of the light emitted by the bulb, measured in kelvin (k), not the heat it produces. A light bulb heat temperature chart. Light Bulb Emits Heat.
From www.fire2fusion.com
Sources of light energy Light Bulb Emits Heat However, the amount of heat it generates depends on the bulb type and the room size. Yes, a light bulb generates heat in a room. Halogen and cfl bulbs also. In an incandescent bulb, light is obtained by emission from a tungsten filament heated by passing electric current to a. Light bulb temperature refers to the color of the light. Light Bulb Emits Heat.
From www.youtube.com
A 25 watt bulb emits monochromatic yellow light of wavelength of 0.57 Light Bulb Emits Heat In an incandescent bulb, light is obtained by emission from a tungsten filament heated by passing electric current to a. Yes, a light bulb generates heat in a room. Incandescent light bulbs produce the most heat, using only 5% of the energy they receive for lighting. However, the amount of heat it generates depends on the bulb type and the. Light Bulb Emits Heat.
From sciencing.com
What Light Bulbs Do Not Emit UV Radiation? Sciencing Light Bulb Emits Heat Light bulb temperature refers to the color of the light emitted by the bulb, measured in kelvin (k), not the heat it produces. However, the amount of heat it generates depends on the bulb type and the room size. It’s a guide for creating the perfect lighting for any setting. A light bulb heat temperature chart is not just a. Light Bulb Emits Heat.
From www.britannica.com
Light Emission and absorption processes Britannica Light Bulb Emits Heat Halogen and cfl bulbs also. The agitation and vibration of the atoms within the material of the filament produces heat energy. Most of the electric current. It’s a guide for creating the perfect lighting for any setting. In an incandescent bulb, light is obtained by emission from a tungsten filament heated by passing electric current to a. Light bulb temperature. Light Bulb Emits Heat.