Louisiana Real Estate Disclosure Form . Purchase agreement and property disclosure document changes. Louisiana realtors® has worked with the louisiana real estate commission (lrec) on changes to the. The seller of any residential real property must furnish the buyer with the above form, which lists the condition of the property and any known defects in the property. Louisiana realtors® • dec 06, 2023. New 2023 residential property disclosure document required january 1, 2023. Find licenses, forms, regulation information, and learn about commitment to ensuring. The louisiana real estate commission (“lrec”) prepared a disclosure form to assist sellers in providing that information to buyers known as the property disclosure. The required property disclosure document may be in the form promulgated by the louisiana real estate commission (“commission”) or in another form. The louisiana real estate commission (lrec) is responsible for regulating real estate practices in louisiana. The louisiana real estate commission (“lrec”) prepared a disclosure form to assist sellers in providing that information to buyers known as. Sellers need to fill out the property disclosure document or another form that complies with state law to inform buyers about what they're.
from www.templateroller.com
Louisiana realtors® has worked with the louisiana real estate commission (lrec) on changes to the. The louisiana real estate commission (“lrec”) prepared a disclosure form to assist sellers in providing that information to buyers known as. The louisiana real estate commission (“lrec”) prepared a disclosure form to assist sellers in providing that information to buyers known as the property disclosure. The required property disclosure document may be in the form promulgated by the louisiana real estate commission (“commission”) or in another form. Sellers need to fill out the property disclosure document or another form that complies with state law to inform buyers about what they're. Louisiana realtors® • dec 06, 2023. The seller of any residential real property must furnish the buyer with the above form, which lists the condition of the property and any known defects in the property. Purchase agreement and property disclosure document changes. The louisiana real estate commission (lrec) is responsible for regulating real estate practices in louisiana. New 2023 residential property disclosure document required january 1, 2023.
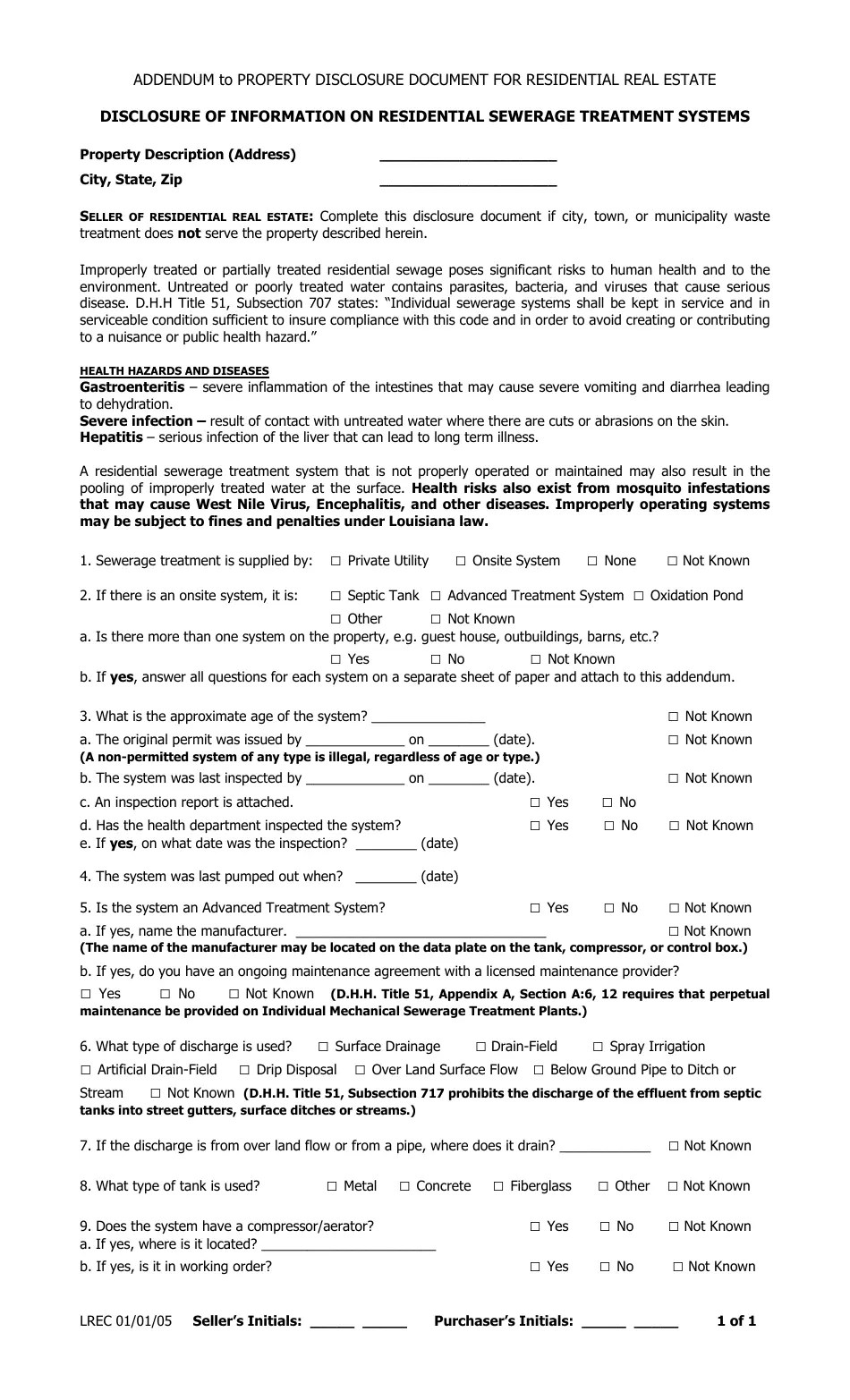
Louisiana Informational Statement for Louisiana Residential Property
Louisiana Real Estate Disclosure Form The louisiana real estate commission (“lrec”) prepared a disclosure form to assist sellers in providing that information to buyers known as. The louisiana real estate commission (lrec) is responsible for regulating real estate practices in louisiana. Sellers need to fill out the property disclosure document or another form that complies with state law to inform buyers about what they're. Purchase agreement and property disclosure document changes. The louisiana real estate commission (“lrec”) prepared a disclosure form to assist sellers in providing that information to buyers known as the property disclosure. Louisiana realtors® has worked with the louisiana real estate commission (lrec) on changes to the. Find licenses, forms, regulation information, and learn about commitment to ensuring. The louisiana real estate commission (“lrec”) prepared a disclosure form to assist sellers in providing that information to buyers known as. The required property disclosure document may be in the form promulgated by the louisiana real estate commission (“commission”) or in another form. The seller of any residential real property must furnish the buyer with the above form, which lists the condition of the property and any known defects in the property. Louisiana realtors® • dec 06, 2023. New 2023 residential property disclosure document required january 1, 2023.
From www.uslegalforms.com
Louisiana Residential Real Estate Sales Disclosure Statement Seller Louisiana Real Estate Disclosure Form Sellers need to fill out the property disclosure document or another form that complies with state law to inform buyers about what they're. The louisiana real estate commission (“lrec”) prepared a disclosure form to assist sellers in providing that information to buyers known as the property disclosure. New 2023 residential property disclosure document required january 1, 2023. The louisiana real. Louisiana Real Estate Disclosure Form.
From esign.com
Free Louisiana Real Estate Listing Agreement PDF Word Louisiana Real Estate Disclosure Form New 2023 residential property disclosure document required january 1, 2023. The louisiana real estate commission (“lrec”) prepared a disclosure form to assist sellers in providing that information to buyers known as the property disclosure. The seller of any residential real property must furnish the buyer with the above form, which lists the condition of the property and any known defects. Louisiana Real Estate Disclosure Form.
From www.sampleforms.com
FREE 10+ Sample Real Estate Disclosure Forms in PDF MS Word Louisiana Real Estate Disclosure Form The louisiana real estate commission (“lrec”) prepared a disclosure form to assist sellers in providing that information to buyers known as the property disclosure. The louisiana real estate commission (lrec) is responsible for regulating real estate practices in louisiana. Find licenses, forms, regulation information, and learn about commitment to ensuring. Sellers need to fill out the property disclosure document or. Louisiana Real Estate Disclosure Form.
From www.uslegalforms.com
Louisiana Residential Real Estate Sales Disclosure Statement Seller Louisiana Real Estate Disclosure Form The louisiana real estate commission (“lrec”) prepared a disclosure form to assist sellers in providing that information to buyers known as the property disclosure. Find licenses, forms, regulation information, and learn about commitment to ensuring. Louisiana realtors® has worked with the louisiana real estate commission (lrec) on changes to the. The louisiana real estate commission (lrec) is responsible for regulating. Louisiana Real Estate Disclosure Form.
From www.signnow.com
Louisiana Real Estate Forms Complete with ease airSlate SignNow Louisiana Real Estate Disclosure Form Sellers need to fill out the property disclosure document or another form that complies with state law to inform buyers about what they're. Purchase agreement and property disclosure document changes. The required property disclosure document may be in the form promulgated by the louisiana real estate commission (“commission”) or in another form. The louisiana real estate commission (lrec) is responsible. Louisiana Real Estate Disclosure Form.
From www.signnow.com
Louisiana Agency Disclosure Form Fill Out and Sign Printable PDF Louisiana Real Estate Disclosure Form The louisiana real estate commission (“lrec”) prepared a disclosure form to assist sellers in providing that information to buyers known as the property disclosure. Find licenses, forms, regulation information, and learn about commitment to ensuring. Sellers need to fill out the property disclosure document or another form that complies with state law to inform buyers about what they're. The required. Louisiana Real Estate Disclosure Form.
From www.uslegalforms.com
Louisiana Residential Real Estate Sales Disclosure Statement Seller Louisiana Real Estate Disclosure Form The seller of any residential real property must furnish the buyer with the above form, which lists the condition of the property and any known defects in the property. Purchase agreement and property disclosure document changes. The required property disclosure document may be in the form promulgated by the louisiana real estate commission (“commission”) or in another form. The louisiana. Louisiana Real Estate Disclosure Form.
From www.templateroller.com
Louisiana Addendum to Property Disclosure Document for Residential Real Louisiana Real Estate Disclosure Form New 2023 residential property disclosure document required january 1, 2023. The louisiana real estate commission (“lrec”) prepared a disclosure form to assist sellers in providing that information to buyers known as. Purchase agreement and property disclosure document changes. Louisiana realtors® has worked with the louisiana real estate commission (lrec) on changes to the. The louisiana real estate commission (lrec) is. Louisiana Real Estate Disclosure Form.
From eforms.com
Free Louisiana Residential Purchase and Sale Agreement PDF Word Louisiana Real Estate Disclosure Form Louisiana realtors® has worked with the louisiana real estate commission (lrec) on changes to the. The louisiana real estate commission (“lrec”) prepared a disclosure form to assist sellers in providing that information to buyers known as. The louisiana real estate commission (“lrec”) prepared a disclosure form to assist sellers in providing that information to buyers known as the property disclosure.. Louisiana Real Estate Disclosure Form.
From fill.io
Fill Free fillable Louisiana Real Estate Commission PDF forms Louisiana Real Estate Disclosure Form Louisiana realtors® has worked with the louisiana real estate commission (lrec) on changes to the. Find licenses, forms, regulation information, and learn about commitment to ensuring. Sellers need to fill out the property disclosure document or another form that complies with state law to inform buyers about what they're. New 2023 residential property disclosure document required january 1, 2023. Purchase. Louisiana Real Estate Disclosure Form.
From www.templateroller.com
Louisiana Informational Statement for Louisiana Residential Property Louisiana Real Estate Disclosure Form The louisiana real estate commission (“lrec”) prepared a disclosure form to assist sellers in providing that information to buyers known as the property disclosure. The louisiana real estate commission (lrec) is responsible for regulating real estate practices in louisiana. The required property disclosure document may be in the form promulgated by the louisiana real estate commission (“commission”) or in another. Louisiana Real Estate Disclosure Form.
From www.uslegalforms.com
Louisiana Residential Real Estate Sales Disclosure Statement Seller Louisiana Real Estate Disclosure Form Louisiana realtors® • dec 06, 2023. New 2023 residential property disclosure document required january 1, 2023. Louisiana realtors® has worked with the louisiana real estate commission (lrec) on changes to the. Purchase agreement and property disclosure document changes. Find licenses, forms, regulation information, and learn about commitment to ensuring. Sellers need to fill out the property disclosure document or another. Louisiana Real Estate Disclosure Form.
From www.uslegalforms.com
Louisiana Residential Real Estate Sales Disclosure Statement Seller Louisiana Real Estate Disclosure Form The seller of any residential real property must furnish the buyer with the above form, which lists the condition of the property and any known defects in the property. The required property disclosure document may be in the form promulgated by the louisiana real estate commission (“commission”) or in another form. Sellers need to fill out the property disclosure document. Louisiana Real Estate Disclosure Form.
From fill.io
Fill Free fillable Louisiana Real Estate Commission PDF forms Louisiana Real Estate Disclosure Form The louisiana real estate commission (“lrec”) prepared a disclosure form to assist sellers in providing that information to buyers known as the property disclosure. The louisiana real estate commission (“lrec”) prepared a disclosure form to assist sellers in providing that information to buyers known as. The seller of any residential real property must furnish the buyer with the above form,. Louisiana Real Estate Disclosure Form.
From www.formsbank.com
Fillable Form Lrec Informational Statement For Louisiana Residential Louisiana Real Estate Disclosure Form The louisiana real estate commission (lrec) is responsible for regulating real estate practices in louisiana. Louisiana realtors® has worked with the louisiana real estate commission (lrec) on changes to the. Sellers need to fill out the property disclosure document or another form that complies with state law to inform buyers about what they're. Find licenses, forms, regulation information, and learn. Louisiana Real Estate Disclosure Form.
From www.templateroller.com
Louisiana Informational Statement for Louisiana Residential Property Louisiana Real Estate Disclosure Form Louisiana realtors® has worked with the louisiana real estate commission (lrec) on changes to the. New 2023 residential property disclosure document required january 1, 2023. The louisiana real estate commission (“lrec”) prepared a disclosure form to assist sellers in providing that information to buyers known as. The louisiana real estate commission (lrec) is responsible for regulating real estate practices in. Louisiana Real Estate Disclosure Form.
From www.templateroller.com
Louisiana Property Disclosure Exemption Form Download Fillable PDF Louisiana Real Estate Disclosure Form The seller of any residential real property must furnish the buyer with the above form, which lists the condition of the property and any known defects in the property. The louisiana real estate commission (lrec) is responsible for regulating real estate practices in louisiana. Find licenses, forms, regulation information, and learn about commitment to ensuring. New 2023 residential property disclosure. Louisiana Real Estate Disclosure Form.
From www.uslegalforms.com
Louisiana Real Estate Agency Disclosure Form With The Relationship Louisiana Real Estate Disclosure Form Find licenses, forms, regulation information, and learn about commitment to ensuring. The louisiana real estate commission (“lrec”) prepared a disclosure form to assist sellers in providing that information to buyers known as. Purchase agreement and property disclosure document changes. The louisiana real estate commission (lrec) is responsible for regulating real estate practices in louisiana. Louisiana realtors® • dec 06, 2023.. Louisiana Real Estate Disclosure Form.
From esign.com
Free Louisiana Real Estate Listing Agreement PDF Word Louisiana Real Estate Disclosure Form Louisiana realtors® has worked with the louisiana real estate commission (lrec) on changes to the. The louisiana real estate commission (lrec) is responsible for regulating real estate practices in louisiana. Purchase agreement and property disclosure document changes. Find licenses, forms, regulation information, and learn about commitment to ensuring. The louisiana real estate commission (“lrec”) prepared a disclosure form to assist. Louisiana Real Estate Disclosure Form.
From esign.com
Free Louisiana Property Disclosure Statement PDF Louisiana Real Estate Disclosure Form The louisiana real estate commission (“lrec”) prepared a disclosure form to assist sellers in providing that information to buyers known as the property disclosure. Louisiana realtors® has worked with the louisiana real estate commission (lrec) on changes to the. Find licenses, forms, regulation information, and learn about commitment to ensuring. The seller of any residential real property must furnish the. Louisiana Real Estate Disclosure Form.
From www.templateroller.com
Louisiana Informational Statement for Louisiana Residential Property Louisiana Real Estate Disclosure Form The seller of any residential real property must furnish the buyer with the above form, which lists the condition of the property and any known defects in the property. The louisiana real estate commission (“lrec”) prepared a disclosure form to assist sellers in providing that information to buyers known as. The louisiana real estate commission (“lrec”) prepared a disclosure form. Louisiana Real Estate Disclosure Form.
From freeforms.com
Free Louisiana Real Estate Purchase Agreement Template PDF WORD Louisiana Real Estate Disclosure Form Louisiana realtors® has worked with the louisiana real estate commission (lrec) on changes to the. Purchase agreement and property disclosure document changes. The louisiana real estate commission (lrec) is responsible for regulating real estate practices in louisiana. The louisiana real estate commission (“lrec”) prepared a disclosure form to assist sellers in providing that information to buyers known as. The louisiana. Louisiana Real Estate Disclosure Form.
From www.pdffiller.com
Real Estate Disclosure Form Fill Online, Printable, Fillable, Blank Louisiana Real Estate Disclosure Form Louisiana realtors® has worked with the louisiana real estate commission (lrec) on changes to the. Purchase agreement and property disclosure document changes. The louisiana real estate commission (“lrec”) prepared a disclosure form to assist sellers in providing that information to buyers known as the property disclosure. The seller of any residential real property must furnish the buyer with the above. Louisiana Real Estate Disclosure Form.
From www.uslegalforms.com
Real Estate Disclosure Form 20202022 Fill and Sign Printable Louisiana Real Estate Disclosure Form The louisiana real estate commission (“lrec”) prepared a disclosure form to assist sellers in providing that information to buyers known as the property disclosure. The louisiana real estate commission (“lrec”) prepared a disclosure form to assist sellers in providing that information to buyers known as. Louisiana realtors® has worked with the louisiana real estate commission (lrec) on changes to the.. Louisiana Real Estate Disclosure Form.
From esign.com
Free Louisiana Real Estate Listing Agreement PDF Word Louisiana Real Estate Disclosure Form The louisiana real estate commission (lrec) is responsible for regulating real estate practices in louisiana. The louisiana real estate commission (“lrec”) prepared a disclosure form to assist sellers in providing that information to buyers known as the property disclosure. Purchase agreement and property disclosure document changes. New 2023 residential property disclosure document required january 1, 2023. Find licenses, forms, regulation. Louisiana Real Estate Disclosure Form.
From www.uslegalforms.com
Louisiana Residential Real Estate Sales Disclosure Statement Seller Louisiana Real Estate Disclosure Form Louisiana realtors® • dec 06, 2023. The louisiana real estate commission (“lrec”) prepared a disclosure form to assist sellers in providing that information to buyers known as. Find licenses, forms, regulation information, and learn about commitment to ensuring. Purchase agreement and property disclosure document changes. New 2023 residential property disclosure document required january 1, 2023. The louisiana real estate commission. Louisiana Real Estate Disclosure Form.
From www.uslegalforms.com
Louisiana Residential Real Estate Sales Disclosure Statement Seller Louisiana Real Estate Disclosure Form The louisiana real estate commission (“lrec”) prepared a disclosure form to assist sellers in providing that information to buyers known as the property disclosure. Louisiana realtors® has worked with the louisiana real estate commission (lrec) on changes to the. Purchase agreement and property disclosure document changes. Sellers need to fill out the property disclosure document or another form that complies. Louisiana Real Estate Disclosure Form.
From www.templateroller.com
Louisiana Property Disclosure Exemption Form Download Fillable PDF Louisiana Real Estate Disclosure Form The louisiana real estate commission (lrec) is responsible for regulating real estate practices in louisiana. The louisiana real estate commission (“lrec”) prepared a disclosure form to assist sellers in providing that information to buyers known as the property disclosure. The seller of any residential real property must furnish the buyer with the above form, which lists the condition of the. Louisiana Real Estate Disclosure Form.
From www.uslegalforms.com
Louisiana Residential Real Estate Sales Disclosure Statement Seller Louisiana Real Estate Disclosure Form Louisiana realtors® has worked with the louisiana real estate commission (lrec) on changes to the. The louisiana real estate commission (lrec) is responsible for regulating real estate practices in louisiana. Louisiana realtors® • dec 06, 2023. The louisiana real estate commission (“lrec”) prepared a disclosure form to assist sellers in providing that information to buyers known as. New 2023 residential. Louisiana Real Estate Disclosure Form.
From fill.io
Fill Free fillable Louisiana Real Estate Commission PDF forms Louisiana Real Estate Disclosure Form Sellers need to fill out the property disclosure document or another form that complies with state law to inform buyers about what they're. The louisiana real estate commission (“lrec”) prepared a disclosure form to assist sellers in providing that information to buyers known as. Find licenses, forms, regulation information, and learn about commitment to ensuring. The louisiana real estate commission. Louisiana Real Estate Disclosure Form.
From www.formsbank.com
Top 7 Residential Property Disclosure Form Templates free to download Louisiana Real Estate Disclosure Form The required property disclosure document may be in the form promulgated by the louisiana real estate commission (“commission”) or in another form. The louisiana real estate commission (“lrec”) prepared a disclosure form to assist sellers in providing that information to buyers known as the property disclosure. Louisiana realtors® has worked with the louisiana real estate commission (lrec) on changes to. Louisiana Real Estate Disclosure Form.
From www.uslegalforms.com
Louisiana Residential Real Estate Sales Disclosure Statement Louisiana Real Estate Disclosure Form The required property disclosure document may be in the form promulgated by the louisiana real estate commission (“commission”) or in another form. The louisiana real estate commission (“lrec”) prepared a disclosure form to assist sellers in providing that information to buyers known as. The louisiana real estate commission (lrec) is responsible for regulating real estate practices in louisiana. New 2023. Louisiana Real Estate Disclosure Form.
From www.templateroller.com
Louisiana Property Disclosure Exemption Form Fill Out, Sign Online Louisiana Real Estate Disclosure Form Louisiana realtors® has worked with the louisiana real estate commission (lrec) on changes to the. Sellers need to fill out the property disclosure document or another form that complies with state law to inform buyers about what they're. Louisiana realtors® • dec 06, 2023. The required property disclosure document may be in the form promulgated by the louisiana real estate. Louisiana Real Estate Disclosure Form.
From www.sampleforms.com
FREE 10+ Sample Real Estate Disclosure Forms in PDF MS Word Louisiana Real Estate Disclosure Form Purchase agreement and property disclosure document changes. New 2023 residential property disclosure document required january 1, 2023. The required property disclosure document may be in the form promulgated by the louisiana real estate commission (“commission”) or in another form. The louisiana real estate commission (“lrec”) prepared a disclosure form to assist sellers in providing that information to buyers known as.. Louisiana Real Estate Disclosure Form.
From www.uslegalforms.com
Louisiana Real Estate Agency Disclosure Form With The Relationship Louisiana Real Estate Disclosure Form Sellers need to fill out the property disclosure document or another form that complies with state law to inform buyers about what they're. Louisiana realtors® has worked with the louisiana real estate commission (lrec) on changes to the. The louisiana real estate commission (“lrec”) prepared a disclosure form to assist sellers in providing that information to buyers known as. The. Louisiana Real Estate Disclosure Form.