Chain Rule Practice Problems With Answers . here is a set of practice problems to accompany the chain rule section of the derivatives chapter of the. 13) give a function that requires three applications of the chain rule to differentiate. to find the derivative of composite functions, we will use the chain rule. Derivatives of a composition of functions, derivatives of secants and cosecants. how to use the chain rule for derivatives. The chain rule says (f(g(x)))0 = f0(g(x))g0(x), or (f(u))0 = f0(u)u0(x) if u = g(x). here is a set of assignement problems (for use by instructors) to accompany the chain rule section of the. learn how to use the chain rule to find derivatives of composite functions with examples and practice problems. the goal of this page is for you to practice using the chain rule on some beginning problems (all free, of course!), all with. We can see that the inner function is 3x^2+5x^3 and the.
from printablelibtesty.z13.web.core.windows.net
the goal of this page is for you to practice using the chain rule on some beginning problems (all free, of course!), all with. The chain rule says (f(g(x)))0 = f0(g(x))g0(x), or (f(u))0 = f0(u)u0(x) if u = g(x). We can see that the inner function is 3x^2+5x^3 and the. here is a set of practice problems to accompany the chain rule section of the derivatives chapter of the. 13) give a function that requires three applications of the chain rule to differentiate. Derivatives of a composition of functions, derivatives of secants and cosecants. to find the derivative of composite functions, we will use the chain rule. here is a set of assignement problems (for use by instructors) to accompany the chain rule section of the. how to use the chain rule for derivatives. learn how to use the chain rule to find derivatives of composite functions with examples and practice problems.
Chain Rule Worksheet With Answers
Chain Rule Practice Problems With Answers We can see that the inner function is 3x^2+5x^3 and the. to find the derivative of composite functions, we will use the chain rule. here is a set of assignement problems (for use by instructors) to accompany the chain rule section of the. We can see that the inner function is 3x^2+5x^3 and the. 13) give a function that requires three applications of the chain rule to differentiate. how to use the chain rule for derivatives. learn how to use the chain rule to find derivatives of composite functions with examples and practice problems. The chain rule says (f(g(x)))0 = f0(g(x))g0(x), or (f(u))0 = f0(u)u0(x) if u = g(x). the goal of this page is for you to practice using the chain rule on some beginning problems (all free, of course!), all with. Derivatives of a composition of functions, derivatives of secants and cosecants. here is a set of practice problems to accompany the chain rule section of the derivatives chapter of the.
From www.youtube.com
Chain Rule Practice Problems Calculus Unit 2 Review Problems YouTube Chain Rule Practice Problems With Answers The chain rule says (f(g(x)))0 = f0(g(x))g0(x), or (f(u))0 = f0(u)u0(x) if u = g(x). the goal of this page is for you to practice using the chain rule on some beginning problems (all free, of course!), all with. Derivatives of a composition of functions, derivatives of secants and cosecants. 13) give a function that requires three applications of. Chain Rule Practice Problems With Answers.
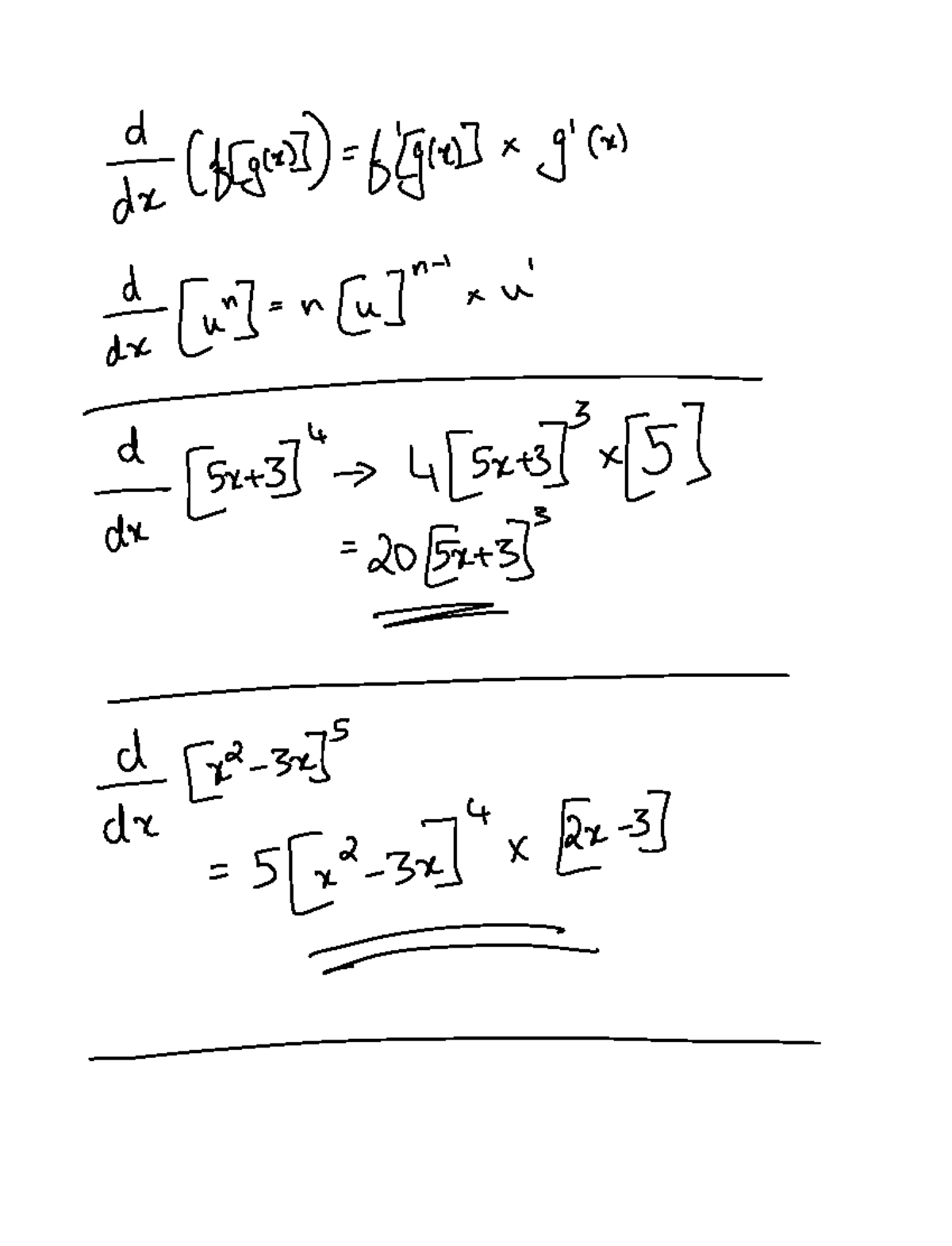
From www.studocu.com
The chain rule Practice materials fgm fgin x g em un n G x n 1443kt Chain Rule Practice Problems With Answers how to use the chain rule for derivatives. learn how to use the chain rule to find derivatives of composite functions with examples and practice problems. the goal of this page is for you to practice using the chain rule on some beginning problems (all free, of course!), all with. We can see that the inner function. Chain Rule Practice Problems With Answers.
From quizizz.com
50+ chain rule worksheets for 12th Year on Quizizz Free & Printable Chain Rule Practice Problems With Answers here is a set of practice problems to accompany the chain rule section of the derivatives chapter of the. We can see that the inner function is 3x^2+5x^3 and the. Derivatives of a composition of functions, derivatives of secants and cosecants. 13) give a function that requires three applications of the chain rule to differentiate. how to use. Chain Rule Practice Problems With Answers.
From www.studocu.com
Chain Rule Practice WS Calculus AB Studocu Chain Rule Practice Problems With Answers learn how to use the chain rule to find derivatives of composite functions with examples and practice problems. 13) give a function that requires three applications of the chain rule to differentiate. here is a set of assignement problems (for use by instructors) to accompany the chain rule section of the. to find the derivative of composite. Chain Rule Practice Problems With Answers.
From www.studypool.com
SOLUTION Derivatives chain rule practice problems Studypool Chain Rule Practice Problems With Answers 13) give a function that requires three applications of the chain rule to differentiate. here is a set of practice problems to accompany the chain rule section of the derivatives chapter of the. to find the derivative of composite functions, we will use the chain rule. Derivatives of a composition of functions, derivatives of secants and cosecants. . Chain Rule Practice Problems With Answers.
From www.youtube.com
Chain Rule Practice Problems Solved Derivatives of Composite Chain Rule Practice Problems With Answers here is a set of practice problems to accompany the chain rule section of the derivatives chapter of the. how to use the chain rule for derivatives. here is a set of assignement problems (for use by instructors) to accompany the chain rule section of the. the goal of this page is for you to practice. Chain Rule Practice Problems With Answers.
From www.youtube.com
Chain Rule 11 Solved Problems Practice Problems Set 1 Calculus I Chain Rule Practice Problems With Answers learn how to use the chain rule to find derivatives of composite functions with examples and practice problems. The chain rule says (f(g(x)))0 = f0(g(x))g0(x), or (f(u))0 = f0(u)u0(x) if u = g(x). here is a set of assignement problems (for use by instructors) to accompany the chain rule section of the. how to use the chain. Chain Rule Practice Problems With Answers.
From www.youtube.com
Chain Rule Explained Practice Problems Solved GeeklyEDU YouTube Chain Rule Practice Problems With Answers here is a set of practice problems to accompany the chain rule section of the derivatives chapter of the. We can see that the inner function is 3x^2+5x^3 and the. the goal of this page is for you to practice using the chain rule on some beginning problems (all free, of course!), all with. learn how to. Chain Rule Practice Problems With Answers.
From printablelibtesty.z13.web.core.windows.net
Chain Rule Problems Worksheets Chain Rule Practice Problems With Answers 13) give a function that requires three applications of the chain rule to differentiate. how to use the chain rule for derivatives. The chain rule says (f(g(x)))0 = f0(g(x))g0(x), or (f(u))0 = f0(u)u0(x) if u = g(x). here is a set of practice problems to accompany the chain rule section of the derivatives chapter of the. here. Chain Rule Practice Problems With Answers.
From www.studocu.com
Calculus I Chain Rule (Practice Problems) Paul's Online Notes Home Chain Rule Practice Problems With Answers We can see that the inner function is 3x^2+5x^3 and the. Derivatives of a composition of functions, derivatives of secants and cosecants. 13) give a function that requires three applications of the chain rule to differentiate. learn how to use the chain rule to find derivatives of composite functions with examples and practice problems. how to use the. Chain Rule Practice Problems With Answers.
From printablelibtesty.z13.web.core.windows.net
Chain Rule Worksheet With Answers Chain Rule Practice Problems With Answers The chain rule says (f(g(x)))0 = f0(g(x))g0(x), or (f(u))0 = f0(u)u0(x) if u = g(x). how to use the chain rule for derivatives. to find the derivative of composite functions, we will use the chain rule. here is a set of practice problems to accompany the chain rule section of the derivatives chapter of the. 13) give. Chain Rule Practice Problems With Answers.
From www.chegg.com
Solved (worksheet 3 Differentiation Chain Rule \& Chain Rule Practice Problems With Answers We can see that the inner function is 3x^2+5x^3 and the. the goal of this page is for you to practice using the chain rule on some beginning problems (all free, of course!), all with. The chain rule says (f(g(x)))0 = f0(g(x))g0(x), or (f(u))0 = f0(u)u0(x) if u = g(x). here is a set of practice problems to. Chain Rule Practice Problems With Answers.
From www.youtube.com
Chain rule problems with product rule and quotient rule YouTube Chain Rule Practice Problems With Answers how to use the chain rule for derivatives. learn how to use the chain rule to find derivatives of composite functions with examples and practice problems. The chain rule says (f(g(x)))0 = f0(g(x))g0(x), or (f(u))0 = f0(u)u0(x) if u = g(x). Derivatives of a composition of functions, derivatives of secants and cosecants. to find the derivative of. Chain Rule Practice Problems With Answers.
From ataglance.randstad.com
Chain Rule Practice Worksheet Printable Calendars AT A GLANCE Chain Rule Practice Problems With Answers learn how to use the chain rule to find derivatives of composite functions with examples and practice problems. Derivatives of a composition of functions, derivatives of secants and cosecants. to find the derivative of composite functions, we will use the chain rule. here is a set of practice problems to accompany the chain rule section of the. Chain Rule Practice Problems With Answers.
From www.youtube.com
Chain Rule Practice Problems YouTube Chain Rule Practice Problems With Answers how to use the chain rule for derivatives. The chain rule says (f(g(x)))0 = f0(g(x))g0(x), or (f(u))0 = f0(u)u0(x) if u = g(x). the goal of this page is for you to practice using the chain rule on some beginning problems (all free, of course!), all with. Derivatives of a composition of functions, derivatives of secants and cosecants.. Chain Rule Practice Problems With Answers.
From variationtheory.com
Chain rule Variation Theory Chain Rule Practice Problems With Answers here is a set of assignement problems (for use by instructors) to accompany the chain rule section of the. 13) give a function that requires three applications of the chain rule to differentiate. learn how to use the chain rule to find derivatives of composite functions with examples and practice problems. here is a set of practice. Chain Rule Practice Problems With Answers.
From www.studocu.com
The Chain Rule Practice B answer The Chain Rule PracticeB answer Chain Rule Practice Problems With Answers here is a set of practice problems to accompany the chain rule section of the derivatives chapter of the. how to use the chain rule for derivatives. here is a set of assignement problems (for use by instructors) to accompany the chain rule section of the. the goal of this page is for you to practice. Chain Rule Practice Problems With Answers.
From worksheets.ekocraft-appleleaf.com
Chain Rule Practice Worksheet Worksheets For Kindergarten Chain Rule Practice Problems With Answers how to use the chain rule for derivatives. the goal of this page is for you to practice using the chain rule on some beginning problems (all free, of course!), all with. here is a set of assignement problems (for use by instructors) to accompany the chain rule section of the. to find the derivative of. Chain Rule Practice Problems With Answers.
From printablelibtesty.z13.web.core.windows.net
Chain Rule Practice Questions Chain Rule Practice Problems With Answers Derivatives of a composition of functions, derivatives of secants and cosecants. We can see that the inner function is 3x^2+5x^3 and the. here is a set of practice problems to accompany the chain rule section of the derivatives chapter of the. the goal of this page is for you to practice using the chain rule on some beginning. Chain Rule Practice Problems With Answers.
From studylibrarygodward.z13.web.core.windows.net
Chain Rule Practice Problems Chain Rule Practice Problems With Answers how to use the chain rule for derivatives. to find the derivative of composite functions, we will use the chain rule. We can see that the inner function is 3x^2+5x^3 and the. 13) give a function that requires three applications of the chain rule to differentiate. here is a set of assignement problems (for use by instructors). Chain Rule Practice Problems With Answers.
From www.chegg.com
Solved Question 4 Chain Rule (10 points) Recall the chain Chain Rule Practice Problems With Answers here is a set of practice problems to accompany the chain rule section of the derivatives chapter of the. how to use the chain rule for derivatives. We can see that the inner function is 3x^2+5x^3 and the. the goal of this page is for you to practice using the chain rule on some beginning problems (all. Chain Rule Practice Problems With Answers.
From study.com
Differentiating Composite Functions Using the Chain Rule Calculus Chain Rule Practice Problems With Answers to find the derivative of composite functions, we will use the chain rule. We can see that the inner function is 3x^2+5x^3 and the. 13) give a function that requires three applications of the chain rule to differentiate. The chain rule says (f(g(x)))0 = f0(g(x))g0(x), or (f(u))0 = f0(u)u0(x) if u = g(x). the goal of this page. Chain Rule Practice Problems With Answers.
From materialcampusleland.z13.web.core.windows.net
Chain Rule Practice Questions Chain Rule Practice Problems With Answers learn how to use the chain rule to find derivatives of composite functions with examples and practice problems. the goal of this page is for you to practice using the chain rule on some beginning problems (all free, of course!), all with. how to use the chain rule for derivatives. The chain rule says (f(g(x)))0 = f0(g(x))g0(x),. Chain Rule Practice Problems With Answers.
From www.youtube.com
Differential Calculus Practice Problem Set 1A Chain Rule Practice Chain Rule Practice Problems With Answers how to use the chain rule for derivatives. Derivatives of a composition of functions, derivatives of secants and cosecants. to find the derivative of composite functions, we will use the chain rule. here is a set of assignement problems (for use by instructors) to accompany the chain rule section of the. here is a set of. Chain Rule Practice Problems With Answers.
From printablelibtesty.z13.web.core.windows.net
Chain Rule Worksheet With Answers Chain Rule Practice Problems With Answers The chain rule says (f(g(x)))0 = f0(g(x))g0(x), or (f(u))0 = f0(u)u0(x) if u = g(x). here is a set of practice problems to accompany the chain rule section of the derivatives chapter of the. how to use the chain rule for derivatives. We can see that the inner function is 3x^2+5x^3 and the. 13) give a function that. Chain Rule Practice Problems With Answers.
From materialcampusleland.z13.web.core.windows.net
Chain Rule Practice Problems With Answers Chain Rule Practice Problems With Answers Derivatives of a composition of functions, derivatives of secants and cosecants. how to use the chain rule for derivatives. the goal of this page is for you to practice using the chain rule on some beginning problems (all free, of course!), all with. 13) give a function that requires three applications of the chain rule to differentiate. . Chain Rule Practice Problems With Answers.
From learningschoolqalonglc.z22.web.core.windows.net
The Chain Rule Worksheet Chain Rule Practice Problems With Answers how to use the chain rule for derivatives. 13) give a function that requires three applications of the chain rule to differentiate. We can see that the inner function is 3x^2+5x^3 and the. the goal of this page is for you to practice using the chain rule on some beginning problems (all free, of course!), all with. . Chain Rule Practice Problems With Answers.
From en.neurochispas.com
Chain Rule of Derivatives Examples with Answers Neurochispas Chain Rule Practice Problems With Answers learn how to use the chain rule to find derivatives of composite functions with examples and practice problems. We can see that the inner function is 3x^2+5x^3 and the. to find the derivative of composite functions, we will use the chain rule. 13) give a function that requires three applications of the chain rule to differentiate. here. Chain Rule Practice Problems With Answers.
From www.tes.com
The Chain Rule Practice 2 in 1 or Partner Activity (typed solutions Chain Rule Practice Problems With Answers We can see that the inner function is 3x^2+5x^3 and the. here is a set of practice problems to accompany the chain rule section of the derivatives chapter of the. learn how to use the chain rule to find derivatives of composite functions with examples and practice problems. The chain rule says (f(g(x)))0 = f0(g(x))g0(x), or (f(u))0 =. Chain Rule Practice Problems With Answers.
From www.youtube.com
Chain Rule Practice Problem YouTube Chain Rule Practice Problems With Answers 13) give a function that requires three applications of the chain rule to differentiate. learn how to use the chain rule to find derivatives of composite functions with examples and practice problems. how to use the chain rule for derivatives. We can see that the inner function is 3x^2+5x^3 and the. to find the derivative of composite. Chain Rule Practice Problems With Answers.
From studylibrarygodward.z13.web.core.windows.net
Chain Rule Questions And Answers Pdf Chain Rule Practice Problems With Answers Derivatives of a composition of functions, derivatives of secants and cosecants. how to use the chain rule for derivatives. We can see that the inner function is 3x^2+5x^3 and the. learn how to use the chain rule to find derivatives of composite functions with examples and practice problems. the goal of this page is for you to. Chain Rule Practice Problems With Answers.
From www.youtube.com
Chain rule practice problems beginner to intermediate level YouTube Chain Rule Practice Problems With Answers the goal of this page is for you to practice using the chain rule on some beginning problems (all free, of course!), all with. how to use the chain rule for derivatives. here is a set of assignement problems (for use by instructors) to accompany the chain rule section of the. to find the derivative of. Chain Rule Practice Problems With Answers.
From manualfixfaber.z19.web.core.windows.net
Chain Rule Practice Worksheet Chain Rule Practice Problems With Answers The chain rule says (f(g(x)))0 = f0(g(x))g0(x), or (f(u))0 = f0(u)u0(x) if u = g(x). Derivatives of a composition of functions, derivatives of secants and cosecants. the goal of this page is for you to practice using the chain rule on some beginning problems (all free, of course!), all with. here is a set of assignement problems (for. Chain Rule Practice Problems With Answers.
From www.youtube.com
Calculus HOW TO Chain Rule (Moderate Level Part 1) YouTube Chain Rule Practice Problems With Answers here is a set of assignement problems (for use by instructors) to accompany the chain rule section of the. The chain rule says (f(g(x)))0 = f0(g(x))g0(x), or (f(u))0 = f0(u)u0(x) if u = g(x). here is a set of practice problems to accompany the chain rule section of the derivatives chapter of the. Derivatives of a composition of. Chain Rule Practice Problems With Answers.
From studylibrarygodward.z13.web.core.windows.net
Chain Rule Practice With Answers Chain Rule Practice Problems With Answers 13) give a function that requires three applications of the chain rule to differentiate. The chain rule says (f(g(x)))0 = f0(g(x))g0(x), or (f(u))0 = f0(u)u0(x) if u = g(x). to find the derivative of composite functions, we will use the chain rule. the goal of this page is for you to practice using the chain rule on some. Chain Rule Practice Problems With Answers.