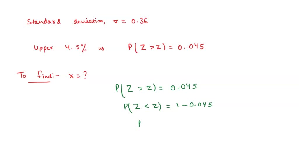
The Weight Of Bags Of Baby Carrots Are Normally Distributed . The weights of bags of baby carrots are normally distributed with a mean of 32 ounces and a standard deviation of 0.36 ounce bags in the. The most a bag of baby carrots can weigh and not need to be repackaged is approximately 32.53 ounces. The weights of bags of baby carrots are normally distributed, with a mean of 32 ounces and a standard deviation of 0.36 ounce. The weights of bags of baby carrots are normally distributed, with a mean of 32 ounces and a standard deviation of 0.31 ounce. The weights of bags of baby carrots are normally distributed, with a mean of 28 ounces and a standard deviation of 0.33 ounce. The weights of bags of baby carrots are normally distributed, with a mean of 32 ounces and a standard deviation of 0.36 ounce. The weights of bags of baby carrots are normally distributed, with a mean of 32 ounces and a standard deviation of 0.36 ounce. You are given that the weights of bags of baby carrots follow a normal distribution with a mean (μ) of. To determine the most a bag of baby carrots can weigh and not.
from www.numerade.com
The weights of bags of baby carrots are normally distributed, with a mean of 32 ounces and a standard deviation of 0.31 ounce. The weights of bags of baby carrots are normally distributed, with a mean of 32 ounces and a standard deviation of 0.36 ounce. The weights of bags of baby carrots are normally distributed, with a mean of 32 ounces and a standard deviation of 0.36 ounce. The weights of bags of baby carrots are normally distributed with a mean of 32 ounces and a standard deviation of 0.36 ounce bags in the. The weights of bags of baby carrots are normally distributed, with a mean of 28 ounces and a standard deviation of 0.33 ounce. You are given that the weights of bags of baby carrots follow a normal distribution with a mean (μ) of. To determine the most a bag of baby carrots can weigh and not. The weights of bags of baby carrots are normally distributed, with a mean of 32 ounces and a standard deviation of 0.36 ounce. The most a bag of baby carrots can weigh and not need to be repackaged is approximately 32.53 ounces.
1. The weights of bags of baby carrots are normally distributed, with a
The Weight Of Bags Of Baby Carrots Are Normally Distributed To determine the most a bag of baby carrots can weigh and not. The weights of bags of baby carrots are normally distributed, with a mean of 28 ounces and a standard deviation of 0.33 ounce. The weights of bags of baby carrots are normally distributed with a mean of 32 ounces and a standard deviation of 0.36 ounce bags in the. To determine the most a bag of baby carrots can weigh and not. The weights of bags of baby carrots are normally distributed, with a mean of 32 ounces and a standard deviation of 0.36 ounce. You are given that the weights of bags of baby carrots follow a normal distribution with a mean (μ) of. The weights of bags of baby carrots are normally distributed, with a mean of 32 ounces and a standard deviation of 0.31 ounce. The weights of bags of baby carrots are normally distributed, with a mean of 32 ounces and a standard deviation of 0.36 ounce. The most a bag of baby carrots can weigh and not need to be repackaged is approximately 32.53 ounces. The weights of bags of baby carrots are normally distributed, with a mean of 32 ounces and a standard deviation of 0.36 ounce.
From slideplayer.com
Starter The weights of newborn lambs on a farm are normally distributed The Weight Of Bags Of Baby Carrots Are Normally Distributed The weights of bags of baby carrots are normally distributed, with a mean of 32 ounces and a standard deviation of 0.36 ounce. The weights of bags of baby carrots are normally distributed, with a mean of 32 ounces and a standard deviation of 0.31 ounce. To determine the most a bag of baby carrots can weigh and not. The. The Weight Of Bags Of Baby Carrots Are Normally Distributed.
From www.chegg.com
Solved The weights of bags of baby carrots are normally The Weight Of Bags Of Baby Carrots Are Normally Distributed The weights of bags of baby carrots are normally distributed, with a mean of 32 ounces and a standard deviation of 0.36 ounce. The most a bag of baby carrots can weigh and not need to be repackaged is approximately 32.53 ounces. The weights of bags of baby carrots are normally distributed, with a mean of 32 ounces and a. The Weight Of Bags Of Baby Carrots Are Normally Distributed.
From capitalcityfruit.com
Baby Carrots 30 1lb. bags The Weight Of Bags Of Baby Carrots Are Normally Distributed You are given that the weights of bags of baby carrots follow a normal distribution with a mean (μ) of. The weights of bags of baby carrots are normally distributed, with a mean of 32 ounces and a standard deviation of 0.36 ounce. The weights of bags of baby carrots are normally distributed, with a mean of 32 ounces and. The Weight Of Bags Of Baby Carrots Are Normally Distributed.
From www.numerade.com
SOLVED The weights of bags of baby carrots are normally distributed The Weight Of Bags Of Baby Carrots Are Normally Distributed The weights of bags of baby carrots are normally distributed, with a mean of 28 ounces and a standard deviation of 0.33 ounce. The weights of bags of baby carrots are normally distributed with a mean of 32 ounces and a standard deviation of 0.36 ounce bags in the. The weights of bags of baby carrots are normally distributed, with. The Weight Of Bags Of Baby Carrots Are Normally Distributed.
From www.chegg.com
Solved The weights bags of carrots are normally distributed The Weight Of Bags Of Baby Carrots Are Normally Distributed To determine the most a bag of baby carrots can weigh and not. The weights of bags of baby carrots are normally distributed, with a mean of 32 ounces and a standard deviation of 0.36 ounce. The weights of bags of baby carrots are normally distributed with a mean of 32 ounces and a standard deviation of 0.36 ounce bags. The Weight Of Bags Of Baby Carrots Are Normally Distributed.
From www.chegg.com
The weights of bags of baby carrots are normally The Weight Of Bags Of Baby Carrots Are Normally Distributed To determine the most a bag of baby carrots can weigh and not. The weights of bags of baby carrots are normally distributed, with a mean of 32 ounces and a standard deviation of 0.36 ounce. The weights of bags of baby carrots are normally distributed with a mean of 32 ounces and a standard deviation of 0.36 ounce bags. The Weight Of Bags Of Baby Carrots Are Normally Distributed.
From www.walmart.com
Bolthouse Farms Peeled Baby Cut Carrots, 1 lb Bag The Weight Of Bags Of Baby Carrots Are Normally Distributed You are given that the weights of bags of baby carrots follow a normal distribution with a mean (μ) of. The weights of bags of baby carrots are normally distributed, with a mean of 32 ounces and a standard deviation of 0.36 ounce. The weights of bags of baby carrots are normally distributed, with a mean of 32 ounces and. The Weight Of Bags Of Baby Carrots Are Normally Distributed.
From wildflourskitchen.com
BeerBattered Sweet Baby Carrots with HoneyMustard Ranch Dipping Sauce The Weight Of Bags Of Baby Carrots Are Normally Distributed The weights of bags of baby carrots are normally distributed, with a mean of 28 ounces and a standard deviation of 0.33 ounce. You are given that the weights of bags of baby carrots follow a normal distribution with a mean (μ) of. To determine the most a bag of baby carrots can weigh and not. The weights of bags. The Weight Of Bags Of Baby Carrots Are Normally Distributed.
From www.dreamstime.com
Baby Carrots Bag Stock Photos Free & RoyaltyFree Stock Photos from The Weight Of Bags Of Baby Carrots Are Normally Distributed To determine the most a bag of baby carrots can weigh and not. The weights of bags of baby carrots are normally distributed, with a mean of 32 ounces and a standard deviation of 0.36 ounce. The weights of bags of baby carrots are normally distributed with a mean of 32 ounces and a standard deviation of 0.36 ounce bags. The Weight Of Bags Of Baby Carrots Are Normally Distributed.
From www.walmart.com
Baby Carrots, 1lb Bag The Weight Of Bags Of Baby Carrots Are Normally Distributed The most a bag of baby carrots can weigh and not need to be repackaged is approximately 32.53 ounces. The weights of bags of baby carrots are normally distributed with a mean of 32 ounces and a standard deviation of 0.36 ounce bags in the. You are given that the weights of bags of baby carrots follow a normal distribution. The Weight Of Bags Of Baby Carrots Are Normally Distributed.
From www.instacart.com
Signature Farms Carrots, BabyCut, Peeled (16 oz bag) Instacart The Weight Of Bags Of Baby Carrots Are Normally Distributed To determine the most a bag of baby carrots can weigh and not. The weights of bags of baby carrots are normally distributed with a mean of 32 ounces and a standard deviation of 0.36 ounce bags in the. You are given that the weights of bags of baby carrots follow a normal distribution with a mean (μ) of. The. The Weight Of Bags Of Baby Carrots Are Normally Distributed.
From www.chegg.com
Solved The weight of potato chip bags filled by a machine at The Weight Of Bags Of Baby Carrots Are Normally Distributed The weights of bags of baby carrots are normally distributed, with a mean of 32 ounces and a standard deviation of 0.36 ounce. To determine the most a bag of baby carrots can weigh and not. The weights of bags of baby carrots are normally distributed, with a mean of 32 ounces and a standard deviation of 0.36 ounce. The. The Weight Of Bags Of Baby Carrots Are Normally Distributed.
From www.chegg.com
Solved x Z 0.09 0.05 Z 0.02 z The weights of bags of baby The Weight Of Bags Of Baby Carrots Are Normally Distributed The weights of bags of baby carrots are normally distributed, with a mean of 32 ounces and a standard deviation of 0.31 ounce. The weights of bags of baby carrots are normally distributed, with a mean of 32 ounces and a standard deviation of 0.36 ounce. The weights of bags of baby carrots are normally distributed, with a mean of. The Weight Of Bags Of Baby Carrots Are Normally Distributed.
From www.instacart.com
Organic Peeled Baby Carrots (16 oz) Delivery or Pickup Near Me Instacart The Weight Of Bags Of Baby Carrots Are Normally Distributed The weights of bags of baby carrots are normally distributed, with a mean of 32 ounces and a standard deviation of 0.36 ounce. You are given that the weights of bags of baby carrots follow a normal distribution with a mean (μ) of. The weights of bags of baby carrots are normally distributed, with a mean of 32 ounces and. The Weight Of Bags Of Baby Carrots Are Normally Distributed.
From www.numerade.com
SOLVED39. Bags of Baby Carrots The weights of bags of baby carrots are The Weight Of Bags Of Baby Carrots Are Normally Distributed The most a bag of baby carrots can weigh and not need to be repackaged is approximately 32.53 ounces. The weights of bags of baby carrots are normally distributed, with a mean of 32 ounces and a standard deviation of 0.36 ounce. The weights of bags of baby carrots are normally distributed with a mean of 32 ounces and a. The Weight Of Bags Of Baby Carrots Are Normally Distributed.
From www.numerade.com
SOLVED The weights of bags of baby carrots are normally distributed The Weight Of Bags Of Baby Carrots Are Normally Distributed You are given that the weights of bags of baby carrots follow a normal distribution with a mean (μ) of. The weights of bags of baby carrots are normally distributed, with a mean of 32 ounces and a standard deviation of 0.36 ounce. The weights of bags of baby carrots are normally distributed with a mean of 32 ounces and. The Weight Of Bags Of Baby Carrots Are Normally Distributed.
From www.numerade.com
SOLVED Let X denote the weight of a randomly selected prepackaged one The Weight Of Bags Of Baby Carrots Are Normally Distributed The weights of bags of baby carrots are normally distributed, with a mean of 32 ounces and a standard deviation of 0.36 ounce. The weights of bags of baby carrots are normally distributed with a mean of 32 ounces and a standard deviation of 0.36 ounce bags in the. The weights of bags of baby carrots are normally distributed, with. The Weight Of Bags Of Baby Carrots Are Normally Distributed.
From www.caseysfoods.com
Baby Cut Carrots 1 lb Bag Casey's Foods The Weight Of Bags Of Baby Carrots Are Normally Distributed The weights of bags of baby carrots are normally distributed, with a mean of 32 ounces and a standard deviation of 0.36 ounce. The weights of bags of baby carrots are normally distributed, with a mean of 32 ounces and a standard deviation of 0.31 ounce. The weights of bags of baby carrots are normally distributed, with a mean of. The Weight Of Bags Of Baby Carrots Are Normally Distributed.
From www.heb.com
HEB Fresh Baby Carrots Shop Potatoes & carrots at HEB The Weight Of Bags Of Baby Carrots Are Normally Distributed You are given that the weights of bags of baby carrots follow a normal distribution with a mean (μ) of. To determine the most a bag of baby carrots can weigh and not. The weights of bags of baby carrots are normally distributed, with a mean of 28 ounces and a standard deviation of 0.33 ounce. The most a bag. The Weight Of Bags Of Baby Carrots Are Normally Distributed.
From www.chegg.com
Solved The weights of bags of baby carrots are normally The Weight Of Bags Of Baby Carrots Are Normally Distributed The most a bag of baby carrots can weigh and not need to be repackaged is approximately 32.53 ounces. The weights of bags of baby carrots are normally distributed, with a mean of 32 ounces and a standard deviation of 0.36 ounce. The weights of bags of baby carrots are normally distributed with a mean of 32 ounces and a. The Weight Of Bags Of Baby Carrots Are Normally Distributed.
From www.checkers.co.za
Baby Carrots Bag 300g Carrots & Root Vegetables Fresh Vegetables The Weight Of Bags Of Baby Carrots Are Normally Distributed The weights of bags of baby carrots are normally distributed with a mean of 32 ounces and a standard deviation of 0.36 ounce bags in the. The weights of bags of baby carrots are normally distributed, with a mean of 28 ounces and a standard deviation of 0.33 ounce. You are given that the weights of bags of baby carrots. The Weight Of Bags Of Baby Carrots Are Normally Distributed.
From topgearhouse.com
How Much Does A Carrot Weigh? Top Gear House The Weight Of Bags Of Baby Carrots Are Normally Distributed The weights of bags of baby carrots are normally distributed, with a mean of 32 ounces and a standard deviation of 0.36 ounce. To determine the most a bag of baby carrots can weigh and not. The weights of bags of baby carrots are normally distributed, with a mean of 32 ounces and a standard deviation of 0.31 ounce. The. The Weight Of Bags Of Baby Carrots Are Normally Distributed.
From www.chegg.com
Solved The weights of bags of baby carrots are normally The Weight Of Bags Of Baby Carrots Are Normally Distributed The weights of bags of baby carrots are normally distributed, with a mean of 32 ounces and a standard deviation of 0.36 ounce. The weights of bags of baby carrots are normally distributed, with a mean of 32 ounces and a standard deviation of 0.31 ounce. The weights of bags of baby carrots are normally distributed, with a mean of. The Weight Of Bags Of Baby Carrots Are Normally Distributed.
From planthd.com
How Much Do Carrots Weigh? A Comprehensive Guide to Carrot Weight PlantHD The Weight Of Bags Of Baby Carrots Are Normally Distributed You are given that the weights of bags of baby carrots follow a normal distribution with a mean (μ) of. The weights of bags of baby carrots are normally distributed, with a mean of 28 ounces and a standard deviation of 0.33 ounce. The weights of bags of baby carrots are normally distributed, with a mean of 32 ounces and. The Weight Of Bags Of Baby Carrots Are Normally Distributed.
From www.numerade.com
SOLVED The weights of bags of baby carrots are normally distributed The Weight Of Bags Of Baby Carrots Are Normally Distributed The weights of bags of baby carrots are normally distributed, with a mean of 28 ounces and a standard deviation of 0.33 ounce. You are given that the weights of bags of baby carrots follow a normal distribution with a mean (μ) of. To determine the most a bag of baby carrots can weigh and not. The weights of bags. The Weight Of Bags Of Baby Carrots Are Normally Distributed.
From brickseek.com
Baby Carrots, 2lb bag Walmart Inventory Checker BrickSeek The Weight Of Bags Of Baby Carrots Are Normally Distributed The weights of bags of baby carrots are normally distributed, with a mean of 32 ounces and a standard deviation of 0.31 ounce. The weights of bags of baby carrots are normally distributed with a mean of 32 ounces and a standard deviation of 0.36 ounce bags in the. You are given that the weights of bags of baby carrots. The Weight Of Bags Of Baby Carrots Are Normally Distributed.
From www.numerade.com
1. The weights of bags of baby carrots are normally distributed, with a The Weight Of Bags Of Baby Carrots Are Normally Distributed The weights of bags of baby carrots are normally distributed, with a mean of 32 ounces and a standard deviation of 0.36 ounce. You are given that the weights of bags of baby carrots follow a normal distribution with a mean (μ) of. The most a bag of baby carrots can weigh and not need to be repackaged is approximately. The Weight Of Bags Of Baby Carrots Are Normally Distributed.
From ar.inspiredpencil.com
Baby Carrot Bag The Weight Of Bags Of Baby Carrots Are Normally Distributed The weights of bags of baby carrots are normally distributed, with a mean of 32 ounces and a standard deviation of 0.36 ounce. The weights of bags of baby carrots are normally distributed, with a mean of 32 ounces and a standard deviation of 0.36 ounce. The weights of bags of baby carrots are normally distributed, with a mean of. The Weight Of Bags Of Baby Carrots Are Normally Distributed.
From www.numerade.com
SOLVED The weights of baby carrots are normally distributed with a The Weight Of Bags Of Baby Carrots Are Normally Distributed The weights of bags of baby carrots are normally distributed with a mean of 32 ounces and a standard deviation of 0.36 ounce bags in the. The weights of bags of baby carrots are normally distributed, with a mean of 32 ounces and a standard deviation of 0.36 ounce. The weights of bags of baby carrots are normally distributed, with. The Weight Of Bags Of Baby Carrots Are Normally Distributed.
From measuringly.com
How Much Does a Carrot Weigh? (Nutritional Comparison) Measuringly The Weight Of Bags Of Baby Carrots Are Normally Distributed The weights of bags of baby carrots are normally distributed, with a mean of 32 ounces and a standard deviation of 0.31 ounce. The weights of bags of baby carrots are normally distributed, with a mean of 28 ounces and a standard deviation of 0.33 ounce. The weights of bags of baby carrots are normally distributed, with a mean of. The Weight Of Bags Of Baby Carrots Are Normally Distributed.
From farmhouseguide.com
How Much Baby Carrots Weigh with Photos & Chart Farmhouse Guide The Weight Of Bags Of Baby Carrots Are Normally Distributed The most a bag of baby carrots can weigh and not need to be repackaged is approximately 32.53 ounces. The weights of bags of baby carrots are normally distributed, with a mean of 32 ounces and a standard deviation of 0.36 ounce. To determine the most a bag of baby carrots can weigh and not. The weights of bags of. The Weight Of Bags Of Baby Carrots Are Normally Distributed.
From www.animalia-life.club
Packaged Baby Carrots The Weight Of Bags Of Baby Carrots Are Normally Distributed The weights of bags of baby carrots are normally distributed, with a mean of 32 ounces and a standard deviation of 0.36 ounce. The weights of bags of baby carrots are normally distributed with a mean of 32 ounces and a standard deviation of 0.36 ounce bags in the. The weights of bags of baby carrots are normally distributed, with. The Weight Of Bags Of Baby Carrots Are Normally Distributed.
From www.hellofresh.com
Baby Carrots Recipe HelloFresh The Weight Of Bags Of Baby Carrots Are Normally Distributed The weights of bags of baby carrots are normally distributed, with a mean of 32 ounces and a standard deviation of 0.36 ounce. To determine the most a bag of baby carrots can weigh and not. You are given that the weights of bags of baby carrots follow a normal distribution with a mean (μ) of. The weights of bags. The Weight Of Bags Of Baby Carrots Are Normally Distributed.
From farmhouseguide.com
How Much Baby Carrots Weigh with Photos & Chart Farmhouse Guide The Weight Of Bags Of Baby Carrots Are Normally Distributed You are given that the weights of bags of baby carrots follow a normal distribution with a mean (μ) of. The weights of bags of baby carrots are normally distributed, with a mean of 32 ounces and a standard deviation of 0.36 ounce. The most a bag of baby carrots can weigh and not need to be repackaged is approximately. The Weight Of Bags Of Baby Carrots Are Normally Distributed.
From www.numerade.com
The weights of bags of baby carrots are normally distributed, with a The Weight Of Bags Of Baby Carrots Are Normally Distributed You are given that the weights of bags of baby carrots follow a normal distribution with a mean (μ) of. The weights of bags of baby carrots are normally distributed with a mean of 32 ounces and a standard deviation of 0.36 ounce bags in the. The weights of bags of baby carrots are normally distributed, with a mean of. The Weight Of Bags Of Baby Carrots Are Normally Distributed.