How Do Springs Store Energy . Upon release, this stored energy converts to kinetic energy as the. From the simple act of bouncing a ball to the intricate. This energy is released as the spring returns to its equilibrium state,. When you compress a spring, you're not just deforming it; Have you ever wondered how a spring can store energy and release it with such precision? Learn how mechanical springs store energy, their types, characteristics, and applications. Springs store energy when they are stretched or compressed from their equilibrium position. When a spring is compressed or stretched, it stores spring potential energy. When selecting a coil spring for an application, one specification an engineer has to determine is the amount of potential energy the. A spring’s potential energy is stored when you compress or stretch the spring from its original, relaxed position. You're actually storing energy within its coils. It’s like loading a slingshot;.
from www.slideserve.com
Have you ever wondered how a spring can store energy and release it with such precision? From the simple act of bouncing a ball to the intricate. When you compress a spring, you're not just deforming it; Springs store energy when they are stretched or compressed from their equilibrium position. Learn how mechanical springs store energy, their types, characteristics, and applications. You're actually storing energy within its coils. Upon release, this stored energy converts to kinetic energy as the. It’s like loading a slingshot;. When a spring is compressed or stretched, it stores spring potential energy. A spring’s potential energy is stored when you compress or stretch the spring from its original, relaxed position.
PPT Mechanical Energy Springs Coil Leaf Springs Torsional Springs Linear spring Shocks etc
How Do Springs Store Energy This energy is released as the spring returns to its equilibrium state,. Upon release, this stored energy converts to kinetic energy as the. When selecting a coil spring for an application, one specification an engineer has to determine is the amount of potential energy the. From the simple act of bouncing a ball to the intricate. Learn how mechanical springs store energy, their types, characteristics, and applications. When you compress a spring, you're not just deforming it; When a spring is compressed or stretched, it stores spring potential energy. It’s like loading a slingshot;. You're actually storing energy within its coils. Springs store energy when they are stretched or compressed from their equilibrium position. A spring’s potential energy is stored when you compress or stretch the spring from its original, relaxed position. Have you ever wondered how a spring can store energy and release it with such precision? This energy is released as the spring returns to its equilibrium state,.
From www.youtube.com
Strain Energy in helical compression Spring (BRB) YouTube How Do Springs Store Energy From the simple act of bouncing a ball to the intricate. Upon release, this stored energy converts to kinetic energy as the. When you compress a spring, you're not just deforming it; When a spring is compressed or stretched, it stores spring potential energy. This energy is released as the spring returns to its equilibrium state,. Have you ever wondered. How Do Springs Store Energy.
From www.slideserve.com
PPT Work, Power, and Energy PowerPoint Presentation, free download ID6376641 How Do Springs Store Energy Have you ever wondered how a spring can store energy and release it with such precision? Learn how mechanical springs store energy, their types, characteristics, and applications. A spring’s potential energy is stored when you compress or stretch the spring from its original, relaxed position. Springs store energy when they are stretched or compressed from their equilibrium position. When you. How Do Springs Store Energy.
From www.explainthatstuff.com
How do springs work? How do springs store energy? How Do Springs Store Energy When you compress a spring, you're not just deforming it; When a spring is compressed or stretched, it stores spring potential energy. It’s like loading a slingshot;. You're actually storing energy within its coils. Learn how mechanical springs store energy, their types, characteristics, and applications. Springs store energy when they are stretched or compressed from their equilibrium position. This energy. How Do Springs Store Energy.
From www.youtube.com
Spring Energy YouTube How Do Springs Store Energy When selecting a coil spring for an application, one specification an engineer has to determine is the amount of potential energy the. Learn how mechanical springs store energy, their types, characteristics, and applications. This energy is released as the spring returns to its equilibrium state,. Have you ever wondered how a spring can store energy and release it with such. How Do Springs Store Energy.
From www.youtube.com
Energy stored in springs YouTube How Do Springs Store Energy When you compress a spring, you're not just deforming it; It’s like loading a slingshot;. This energy is released as the spring returns to its equilibrium state,. Springs store energy when they are stretched or compressed from their equilibrium position. Have you ever wondered how a spring can store energy and release it with such precision? A spring’s potential energy. How Do Springs Store Energy.
From www.numerade.com
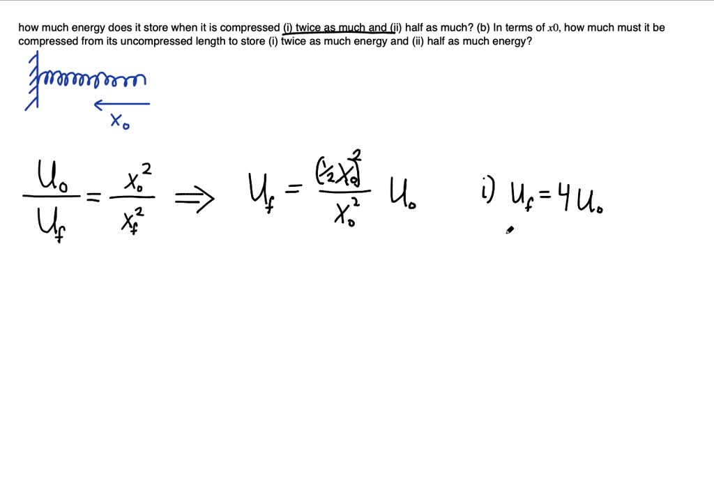
SOLVED A spring stores potential energy U0 when it is compressed a distance x0 from its How Do Springs Store Energy Springs store energy when they are stretched or compressed from their equilibrium position. Have you ever wondered how a spring can store energy and release it with such precision? When selecting a coil spring for an application, one specification an engineer has to determine is the amount of potential energy the. When a spring is compressed or stretched, it stores. How Do Springs Store Energy.
From insights.globalspec.com
How Much Energy is Stored in Your Coil Spring? GlobalSpec How Do Springs Store Energy You're actually storing energy within its coils. When a spring is compressed or stretched, it stores spring potential energy. A spring’s potential energy is stored when you compress or stretch the spring from its original, relaxed position. Have you ever wondered how a spring can store energy and release it with such precision? It’s like loading a slingshot;. From the. How Do Springs Store Energy.
From idcspring.com
What Are Springs & How Do Springs Work? IDC Spring How Do Springs Store Energy When selecting a coil spring for an application, one specification an engineer has to determine is the amount of potential energy the. From the simple act of bouncing a ball to the intricate. It’s like loading a slingshot;. When a spring is compressed or stretched, it stores spring potential energy. A spring’s potential energy is stored when you compress or. How Do Springs Store Energy.
From www.tes.com
Energy stores and transfers lesson Teaching Resources How Do Springs Store Energy You're actually storing energy within its coils. Learn how mechanical springs store energy, their types, characteristics, and applications. Upon release, this stored energy converts to kinetic energy as the. When you compress a spring, you're not just deforming it; A spring’s potential energy is stored when you compress or stretch the spring from its original, relaxed position. From the simple. How Do Springs Store Energy.
From www.youtube.com
Potential Energy of a Spring Force YouTube How Do Springs Store Energy When you compress a spring, you're not just deforming it; It’s like loading a slingshot;. When selecting a coil spring for an application, one specification an engineer has to determine is the amount of potential energy the. When a spring is compressed or stretched, it stores spring potential energy. A spring’s potential energy is stored when you compress or stretch. How Do Springs Store Energy.
From studylib.net
Energy and Springs How Do Springs Store Energy Upon release, this stored energy converts to kinetic energy as the. From the simple act of bouncing a ball to the intricate. It’s like loading a slingshot;. Have you ever wondered how a spring can store energy and release it with such precision? You're actually storing energy within its coils. When selecting a coil spring for an application, one specification. How Do Springs Store Energy.
From www.meritnation.com
explain the potential energy of a spring Physics Work Energy And Power 8025 How Do Springs Store Energy Have you ever wondered how a spring can store energy and release it with such precision? When a spring is compressed or stretched, it stores spring potential energy. Springs store energy when they are stretched or compressed from their equilibrium position. This energy is released as the spring returns to its equilibrium state,. A spring’s potential energy is stored when. How Do Springs Store Energy.
From byjus.com
Potential energy of an ideal spring, when stretchedby 1 cm is U. Spring is now cut in two equal How Do Springs Store Energy Springs store energy when they are stretched or compressed from their equilibrium position. You're actually storing energy within its coils. A spring’s potential energy is stored when you compress or stretch the spring from its original, relaxed position. This energy is released as the spring returns to its equilibrium state,. When a spring is compressed or stretched, it stores spring. How Do Springs Store Energy.
From solarschools.net
Potential Energy Knowledge Bank Solar Schools How Do Springs Store Energy Upon release, this stored energy converts to kinetic energy as the. When selecting a coil spring for an application, one specification an engineer has to determine is the amount of potential energy the. You're actually storing energy within its coils. From the simple act of bouncing a ball to the intricate. When you compress a spring, you're not just deforming. How Do Springs Store Energy.
From www.numerade.com
SOLVEDA spring stores potential energy U0 when it is compressed a distance x0 from its How Do Springs Store Energy A spring’s potential energy is stored when you compress or stretch the spring from its original, relaxed position. Have you ever wondered how a spring can store energy and release it with such precision? When selecting a coil spring for an application, one specification an engineer has to determine is the amount of potential energy the. It’s like loading a. How Do Springs Store Energy.
From www.nagwa.com
Video Elastic Potential Energy Nagwa How Do Springs Store Energy Upon release, this stored energy converts to kinetic energy as the. When selecting a coil spring for an application, one specification an engineer has to determine is the amount of potential energy the. When you compress a spring, you're not just deforming it; When a spring is compressed or stretched, it stores spring potential energy. Learn how mechanical springs store. How Do Springs Store Energy.
From philschatz.com
Energy and the Simple Harmonic Oscillator · Physics How Do Springs Store Energy Upon release, this stored energy converts to kinetic energy as the. Learn how mechanical springs store energy, their types, characteristics, and applications. A spring’s potential energy is stored when you compress or stretch the spring from its original, relaxed position. This energy is released as the spring returns to its equilibrium state,. You're actually storing energy within its coils. When. How Do Springs Store Energy.
From www.youtube.com
Physics2.1.3.1 Solving for the spring potential energy using the equation. YouTube How Do Springs Store Energy Springs store energy when they are stretched or compressed from their equilibrium position. You're actually storing energy within its coils. This energy is released as the spring returns to its equilibrium state,. A spring’s potential energy is stored when you compress or stretch the spring from its original, relaxed position. Upon release, this stored energy converts to kinetic energy as. How Do Springs Store Energy.
From www.nagwa.com
Question Video Calculating the Energy Stored in a Spring from the Spring's Constant and How Do Springs Store Energy A spring’s potential energy is stored when you compress or stretch the spring from its original, relaxed position. When a spring is compressed or stretched, it stores spring potential energy. When selecting a coil spring for an application, one specification an engineer has to determine is the amount of potential energy the. When you compress a spring, you're not just. How Do Springs Store Energy.
From www.slideserve.com
PPT Lesson 15 Work and Energy PowerPoint Presentation, free download ID7055297 How Do Springs Store Energy When selecting a coil spring for an application, one specification an engineer has to determine is the amount of potential energy the. When a spring is compressed or stretched, it stores spring potential energy. Have you ever wondered how a spring can store energy and release it with such precision? A spring’s potential energy is stored when you compress or. How Do Springs Store Energy.
From www.youtube.com
A mass on a spring energy stores and transfers YouTube How Do Springs Store Energy When selecting a coil spring for an application, one specification an engineer has to determine is the amount of potential energy the. Have you ever wondered how a spring can store energy and release it with such precision? When you compress a spring, you're not just deforming it; From the simple act of bouncing a ball to the intricate. It’s. How Do Springs Store Energy.
From www.tevema.com
Effective Energy Storage and Release in Spring Design How Do Springs Store Energy When you compress a spring, you're not just deforming it; Springs store energy when they are stretched or compressed from their equilibrium position. You're actually storing energy within its coils. Upon release, this stored energy converts to kinetic energy as the. When a spring is compressed or stretched, it stores spring potential energy. A spring’s potential energy is stored when. How Do Springs Store Energy.
From www.linstitute.net
Edexcel IGCSE Physics Double Science 复习笔记:4.1.1 Energy Stores & Transfers How Do Springs Store Energy It’s like loading a slingshot;. Learn how mechanical springs store energy, their types, characteristics, and applications. This energy is released as the spring returns to its equilibrium state,. When a spring is compressed or stretched, it stores spring potential energy. Upon release, this stored energy converts to kinetic energy as the. Springs store energy when they are stretched or compressed. How Do Springs Store Energy.
From uecavanis.edu.ec
How Do Springs Work? How Do Springs Store Energy?, 52 OFF How Do Springs Store Energy When a spring is compressed or stretched, it stores spring potential energy. A spring’s potential energy is stored when you compress or stretch the spring from its original, relaxed position. Have you ever wondered how a spring can store energy and release it with such precision? When selecting a coil spring for an application, one specification an engineer has to. How Do Springs Store Energy.
From ar.inspiredpencil.com
Spring Constant Formula How Do Springs Store Energy This energy is released as the spring returns to its equilibrium state,. When selecting a coil spring for an application, one specification an engineer has to determine is the amount of potential energy the. Have you ever wondered how a spring can store energy and release it with such precision? A spring’s potential energy is stored when you compress or. How Do Springs Store Energy.
From www.chegg.com
Solved The spring stores energy at t= π/2ω. 4 1 3 2 How Do Springs Store Energy Have you ever wondered how a spring can store energy and release it with such precision? Learn how mechanical springs store energy, their types, characteristics, and applications. It’s like loading a slingshot;. A spring’s potential energy is stored when you compress or stretch the spring from its original, relaxed position. From the simple act of bouncing a ball to the. How Do Springs Store Energy.
From www.numerade.com
SOLVED An ideal spring stores potential energy U0 when it is compressed a distance x0 from its How Do Springs Store Energy From the simple act of bouncing a ball to the intricate. Upon release, this stored energy converts to kinetic energy as the. When selecting a coil spring for an application, one specification an engineer has to determine is the amount of potential energy the. When a spring is compressed or stretched, it stores spring potential energy. It’s like loading a. How Do Springs Store Energy.
From www.youtube.com
If a spring extends by x on loading, then the energy stored by the spring is YouTube How Do Springs Store Energy Learn how mechanical springs store energy, their types, characteristics, and applications. Springs store energy when they are stretched or compressed from their equilibrium position. This energy is released as the spring returns to its equilibrium state,. Upon release, this stored energy converts to kinetic energy as the. When a spring is compressed or stretched, it stores spring potential energy. A. How Do Springs Store Energy.
From www.slideserve.com
PPT Mechanical Energy Springs Coil Leaf Springs Torsional Springs Linear spring Shocks etc How Do Springs Store Energy Springs store energy when they are stretched or compressed from their equilibrium position. When you compress a spring, you're not just deforming it; Have you ever wondered how a spring can store energy and release it with such precision? When a spring is compressed or stretched, it stores spring potential energy. Upon release, this stored energy converts to kinetic energy. How Do Springs Store Energy.
From www.allthescience.org
What is Elastic Potential Energy? (with picture) How Do Springs Store Energy From the simple act of bouncing a ball to the intricate. Springs store energy when they are stretched or compressed from their equilibrium position. You're actually storing energy within its coils. A spring’s potential energy is stored when you compress or stretch the spring from its original, relaxed position. It’s like loading a slingshot;. When a spring is compressed or. How Do Springs Store Energy.
From quizizz.com
Energy stores and transfers AQA GCSE Physics Quizizz How Do Springs Store Energy It’s like loading a slingshot;. When you compress a spring, you're not just deforming it; Learn how mechanical springs store energy, their types, characteristics, and applications. This energy is released as the spring returns to its equilibrium state,. Have you ever wondered how a spring can store energy and release it with such precision? When selecting a coil spring for. How Do Springs Store Energy.
From www.slideserve.com
PPT Springs PowerPoint Presentation, free download ID9442116 How Do Springs Store Energy A spring’s potential energy is stored when you compress or stretch the spring from its original, relaxed position. When selecting a coil spring for an application, one specification an engineer has to determine is the amount of potential energy the. Upon release, this stored energy converts to kinetic energy as the. You're actually storing energy within its coils. Have you. How Do Springs Store Energy.
From www.pw.live
The SpringMass System of Simple Harmonic Motion in Physics class 11 How Do Springs Store Energy It’s like loading a slingshot;. Springs store energy when they are stretched or compressed from their equilibrium position. When selecting a coil spring for an application, one specification an engineer has to determine is the amount of potential energy the. A spring’s potential energy is stored when you compress or stretch the spring from its original, relaxed position. Learn how. How Do Springs Store Energy.
From uecavanis.edu.ec
How Do Springs Work? How Do Springs Store Energy?, 52 OFF How Do Springs Store Energy A spring’s potential energy is stored when you compress or stretch the spring from its original, relaxed position. When selecting a coil spring for an application, one specification an engineer has to determine is the amount of potential energy the. From the simple act of bouncing a ball to the intricate. When a spring is compressed or stretched, it stores. How Do Springs Store Energy.
From www.bartleby.com
Answered A spring stores potential energy Uo… bartleby How Do Springs Store Energy From the simple act of bouncing a ball to the intricate. A spring’s potential energy is stored when you compress or stretch the spring from its original, relaxed position. When you compress a spring, you're not just deforming it; When selecting a coil spring for an application, one specification an engineer has to determine is the amount of potential energy. How Do Springs Store Energy.