Base Tables In Oracle . The oracle_loader driver can be used to access. All_tables describes the relational tables accessible to the current user. Base tables are real application tables that reside in the application database. Main interface and base table in oracle apps r12. Show all tables in the oracle database. This tutorial shows you step by step how to use the oracle create table statement to create a new table in the oracle database. The interface programs validate the data, derive and assign the default values and ultimately populate the production base tables. Show tables owned by the current user. External tables allow oracle to query data that is stored outside the database in flat files. To gather statistics for this view, use the dbms_stats package. The data that resides in the interface tables is transferred to the base tables using concurrent. Sql> select table_name from dba_tables; Sql> select table_name from user_tables;
from www.scribd.com
Main interface and base table in oracle apps r12. The oracle_loader driver can be used to access. Base tables are real application tables that reside in the application database. Show tables owned by the current user. To gather statistics for this view, use the dbms_stats package. Sql> select table_name from dba_tables; The interface programs validate the data, derive and assign the default values and ultimately populate the production base tables. External tables allow oracle to query data that is stored outside the database in flat files. Show all tables in the oracle database. All_tables describes the relational tables accessible to the current user.
Base Tables in Oracle Apps AR Module PDF
Base Tables In Oracle This tutorial shows you step by step how to use the oracle create table statement to create a new table in the oracle database. Sql> select table_name from dba_tables; Main interface and base table in oracle apps r12. The interface programs validate the data, derive and assign the default values and ultimately populate the production base tables. External tables allow oracle to query data that is stored outside the database in flat files. Base tables are real application tables that reside in the application database. The data that resides in the interface tables is transferred to the base tables using concurrent. To gather statistics for this view, use the dbms_stats package. Sql> select table_name from user_tables; This tutorial shows you step by step how to use the oracle create table statement to create a new table in the oracle database. Show tables owned by the current user. All_tables describes the relational tables accessible to the current user. The oracle_loader driver can be used to access. Show all tables in the oracle database.
From eagledashboard.weebly.com
Oracle Sample Database Tables Download eagledashboard Base Tables In Oracle The data that resides in the interface tables is transferred to the base tables using concurrent. Main interface and base table in oracle apps r12. The oracle_loader driver can be used to access. This tutorial shows you step by step how to use the oracle create table statement to create a new table in the oracle database. To gather statistics. Base Tables In Oracle.
From www.devart.com
Show Tables in Oracle Explanation and Examples Base Tables In Oracle Show tables owned by the current user. Sql> select table_name from dba_tables; Show all tables in the oracle database. All_tables describes the relational tables accessible to the current user. The data that resides in the interface tables is transferred to the base tables using concurrent. This tutorial shows you step by step how to use the oracle create table statement. Base Tables In Oracle.
From www.youtube.com
How to Use Look Up Tables in ORACLE APPS R12 Class 06 YouTube Base Tables In Oracle External tables allow oracle to query data that is stored outside the database in flat files. All_tables describes the relational tables accessible to the current user. Show all tables in the oracle database. Base tables are real application tables that reside in the application database. The oracle_loader driver can be used to access. To gather statistics for this view, use. Base Tables In Oracle.
From dataedo.com
How to find data (tables) in Oracle EBusiness Suite (EBS) database Oracle EBS Metadata KB Base Tables In Oracle Base tables are real application tables that reside in the application database. Main interface and base table in oracle apps r12. To gather statistics for this view, use the dbms_stats package. All_tables describes the relational tables accessible to the current user. The data that resides in the interface tables is transferred to the base tables using concurrent. The interface programs. Base Tables In Oracle.
From www.scribd.com
O2C Base Tables Oracle Apps PDF Invoice Bill Of Lading Base Tables In Oracle The oracle_loader driver can be used to access. Show tables owned by the current user. External tables allow oracle to query data that is stored outside the database in flat files. To gather statistics for this view, use the dbms_stats package. Sql> select table_name from user_tables; All_tables describes the relational tables accessible to the current user. This tutorial shows you. Base Tables In Oracle.
From www.youtube.com
03 Sample Base Tables for Practice in Oracle Database PANDIT AJESH SQL TELUGU TUTORIALS Base Tables In Oracle External tables allow oracle to query data that is stored outside the database in flat files. This tutorial shows you step by step how to use the oracle create table statement to create a new table in the oracle database. Main interface and base table in oracle apps r12. Sql> select table_name from user_tables; Base tables are real application tables. Base Tables In Oracle.
From www.scribd.com
Base Tables in Oracle Apps AR Module PDF Base Tables In Oracle All_tables describes the relational tables accessible to the current user. Main interface and base table in oracle apps r12. Base tables are real application tables that reside in the application database. Sql> select table_name from user_tables; Show tables owned by the current user. External tables allow oracle to query data that is stored outside the database in flat files. The. Base Tables In Oracle.
From www.youtube.com
Oracle EBS GL Tables & SQL Oracle EBS Tables Oracle EBS SQL TutorAlly YouTube Base Tables In Oracle All_tables describes the relational tables accessible to the current user. The oracle_loader driver can be used to access. Sql> select table_name from dba_tables; Sql> select table_name from user_tables; This tutorial shows you step by step how to use the oracle create table statement to create a new table in the oracle database. Main interface and base table in oracle apps. Base Tables In Oracle.
From www.scribd.com
Base Tables in Oracle Apps PO Module PDF Data Management Software Computer Data Base Tables In Oracle The data that resides in the interface tables is transferred to the base tables using concurrent. External tables allow oracle to query data that is stored outside the database in flat files. To gather statistics for this view, use the dbms_stats package. Show tables owned by the current user. This tutorial shows you step by step how to use the. Base Tables In Oracle.
From www.educba.com
Oracle Table Partition How to Perform Table Partition in Oracle Base Tables In Oracle Sql> select table_name from dba_tables; To gather statistics for this view, use the dbms_stats package. Show all tables in the oracle database. The oracle_loader driver can be used to access. This tutorial shows you step by step how to use the oracle create table statement to create a new table in the oracle database. Main interface and base table in. Base Tables In Oracle.
From mybios.me
Create Table Syntax In Oracle 12c My Bios Base Tables In Oracle Sql> select table_name from user_tables; Main interface and base table in oracle apps r12. Sql> select table_name from dba_tables; The interface programs validate the data, derive and assign the default values and ultimately populate the production base tables. External tables allow oracle to query data that is stored outside the database in flat files. This tutorial shows you step by. Base Tables In Oracle.
From www.scribd.com
All Functional Modules Interface & Base Tables Oracle Apps PDF Software Computing Base Tables In Oracle To gather statistics for this view, use the dbms_stats package. All_tables describes the relational tables accessible to the current user. Sql> select table_name from dba_tables; Show all tables in the oracle database. The oracle_loader driver can be used to access. This tutorial shows you step by step how to use the oracle create table statement to create a new table. Base Tables In Oracle.
From www.educba.com
INSERT in Oracle Examples to Implement INSERT Statement in Oracle Base Tables In Oracle Main interface and base table in oracle apps r12. The interface programs validate the data, derive and assign the default values and ultimately populate the production base tables. Base tables are real application tables that reside in the application database. This tutorial shows you step by step how to use the oracle create table statement to create a new table. Base Tables In Oracle.
From docs.oracle.com
Tables and Table Clusters Base Tables In Oracle To gather statistics for this view, use the dbms_stats package. Main interface and base table in oracle apps r12. All_tables describes the relational tables accessible to the current user. Show all tables in the oracle database. The oracle_loader driver can be used to access. The interface programs validate the data, derive and assign the default values and ultimately populate the. Base Tables In Oracle.
From oracleapps88.blogspot.com
Oracle Applications Oracle Base Tables and Interface Tables Base Tables In Oracle All_tables describes the relational tables accessible to the current user. Main interface and base table in oracle apps r12. Sql> select table_name from dba_tables; The interface programs validate the data, derive and assign the default values and ultimately populate the production base tables. Show tables owned by the current user. The oracle_loader driver can be used to access. The data. Base Tables In Oracle.
From docs.oracle.com
Siebel Innovation Pack 2014 About Oracle Customer Hub (UCM) Data Model Tables Base Tables In Oracle Sql> select table_name from user_tables; Show all tables in the oracle database. This tutorial shows you step by step how to use the oracle create table statement to create a new table in the oracle database. Sql> select table_name from dba_tables; Show tables owned by the current user. Main interface and base table in oracle apps r12. External tables allow. Base Tables In Oracle.
From elchoroukhost.net
Oracle Sql Join Multiple Tables Example Elcho Table Base Tables In Oracle Base tables are real application tables that reside in the application database. Main interface and base table in oracle apps r12. Sql> select table_name from dba_tables; All_tables describes the relational tables accessible to the current user. The data that resides in the interface tables is transferred to the base tables using concurrent. Show tables owned by the current user. The. Base Tables In Oracle.
From oracledbardbms.blogspot.com
Oracle DBA concepts, DBA tutorials for Beginners , Oracle helps Oracle database Architecture Base Tables In Oracle Sql> select table_name from dba_tables; The data that resides in the interface tables is transferred to the base tables using concurrent. The oracle_loader driver can be used to access. External tables allow oracle to query data that is stored outside the database in flat files. Base tables are real application tables that reside in the application database. To gather statistics. Base Tables In Oracle.
From aporaclepayables.blogspot.com
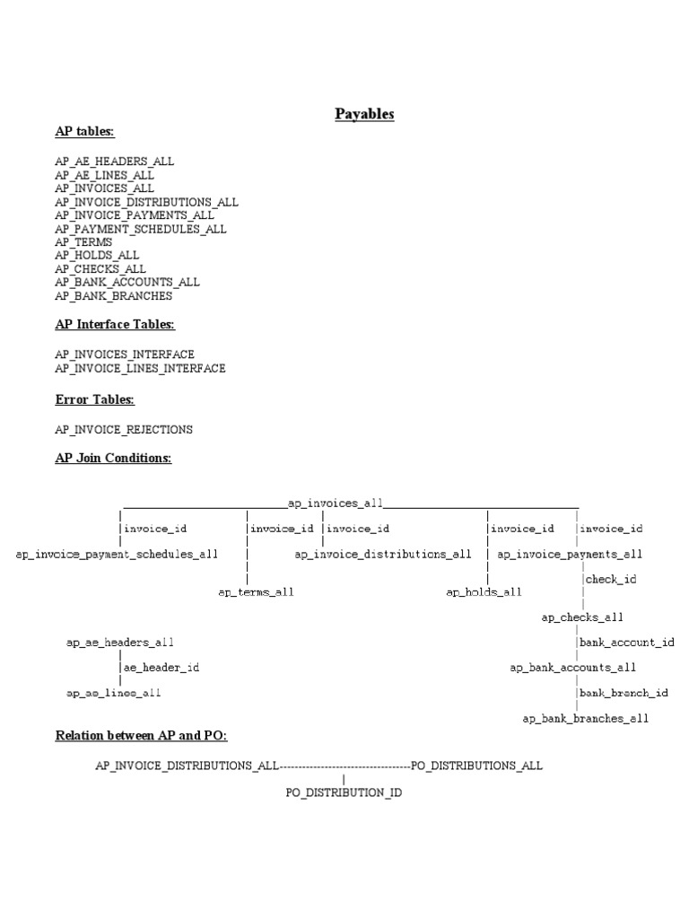
Oracle Payables Oracle EBS R12 AP Important Tables with Joins Base Tables In Oracle Base tables are real application tables that reside in the application database. Show all tables in the oracle database. This tutorial shows you step by step how to use the oracle create table statement to create a new table in the oracle database. The interface programs validate the data, derive and assign the default values and ultimately populate the production. Base Tables In Oracle.
From www.youtube.com
Oracle Database Architecture overview & Physical structure YouTube Base Tables In Oracle The interface programs validate the data, derive and assign the default values and ultimately populate the production base tables. Sql> select table_name from dba_tables; To gather statistics for this view, use the dbms_stats package. Base tables are real application tables that reside in the application database. All_tables describes the relational tables accessible to the current user. External tables allow oracle. Base Tables In Oracle.
From gty.heroinewarrior.com
How to List All Tables in a Schema in Oracle Database? Base Tables In Oracle The oracle_loader driver can be used to access. External tables allow oracle to query data that is stored outside the database in flat files. The interface programs validate the data, derive and assign the default values and ultimately populate the production base tables. Show tables owned by the current user. Sql> select table_name from user_tables; Sql> select table_name from dba_tables;. Base Tables In Oracle.
From www.webucator.com
Oracle’s Demo HR Schema ucator Base Tables In Oracle Main interface and base table in oracle apps r12. This tutorial shows you step by step how to use the oracle create table statement to create a new table in the oracle database. The interface programs validate the data, derive and assign the default values and ultimately populate the production base tables. Sql> select table_name from dba_tables; Sql> select table_name. Base Tables In Oracle.
From www.nutrend.co.uk
Oracle CylinderBase Table Base Tables In Oracle Base tables are real application tables that reside in the application database. Main interface and base table in oracle apps r12. Show tables owned by the current user. Sql> select table_name from user_tables; This tutorial shows you step by step how to use the oracle create table statement to create a new table in the oracle database. The interface programs. Base Tables In Oracle.
From www.nutrend.co.uk
Oracle SlimBase Table Base Tables In Oracle All_tables describes the relational tables accessible to the current user. The interface programs validate the data, derive and assign the default values and ultimately populate the production base tables. The oracle_loader driver can be used to access. Sql> select table_name from user_tables; Base tables are real application tables that reside in the application database. Main interface and base table in. Base Tables In Oracle.
From oracleappshandbook.blogspot.com
Oracle Applications hand book BASE TABLES IN ORACLE APPS Base Tables In Oracle External tables allow oracle to query data that is stored outside the database in flat files. Show all tables in the oracle database. All_tables describes the relational tables accessible to the current user. Sql> select table_name from dba_tables; The interface programs validate the data, derive and assign the default values and ultimately populate the production base tables. Show tables owned. Base Tables In Oracle.
From www.youtube.com
What is Oracle Base? YouTube Base Tables In Oracle Show tables owned by the current user. The oracle_loader driver can be used to access. This tutorial shows you step by step how to use the oracle create table statement to create a new table in the oracle database. The data that resides in the interface tables is transferred to the base tables using concurrent. Sql> select table_name from dba_tables;. Base Tables In Oracle.
From www.thatjeffsmith.com
How to Create Views for All Tables with Oracle SQL Developer Base Tables In Oracle The interface programs validate the data, derive and assign the default values and ultimately populate the production base tables. All_tables describes the relational tables accessible to the current user. Sql> select table_name from user_tables; Show tables owned by the current user. This tutorial shows you step by step how to use the oracle create table statement to create a new. Base Tables In Oracle.
From dataedo.com
How to find table in a database with Oracle SQL Developer Oracle SQL Developer Tutorials Base Tables In Oracle The data that resides in the interface tables is transferred to the base tables using concurrent. To gather statistics for this view, use the dbms_stats package. Show tables owned by the current user. The oracle_loader driver can be used to access. Main interface and base table in oracle apps r12. Sql> select table_name from user_tables; Sql> select table_name from dba_tables;. Base Tables In Oracle.
From oraclefinancialsandprojects-krishna.blogspot.com
Oracle Projects & Financial Documentation Oracle Fixed Assets Table Relationships Base Tables In Oracle Main interface and base table in oracle apps r12. Show all tables in the oracle database. Sql> select table_name from user_tables; External tables allow oracle to query data that is stored outside the database in flat files. To gather statistics for this view, use the dbms_stats package. The interface programs validate the data, derive and assign the default values and. Base Tables In Oracle.
From www.oracletutorial.com
Oracle Sample Database Base Tables In Oracle The interface programs validate the data, derive and assign the default values and ultimately populate the production base tables. Main interface and base table in oracle apps r12. All_tables describes the relational tables accessible to the current user. The data that resides in the interface tables is transferred to the base tables using concurrent. Base tables are real application tables. Base Tables In Oracle.
From www.slideshare.net
Oracle R12 Purchasing Module Base Tables Base Tables In Oracle Base tables are real application tables that reside in the application database. Sql> select table_name from dba_tables; All_tables describes the relational tables accessible to the current user. Sql> select table_name from user_tables; Show tables owned by the current user. To gather statistics for this view, use the dbms_stats package. Show all tables in the oracle database. External tables allow oracle. Base Tables In Oracle.
From www.nutrend.co.uk
Oracle SlimBase Table Base Tables In Oracle External tables allow oracle to query data that is stored outside the database in flat files. The interface programs validate the data, derive and assign the default values and ultimately populate the production base tables. This tutorial shows you step by step how to use the oracle create table statement to create a new table in the oracle database. The. Base Tables In Oracle.
From blog.devart.com
How to Create Table in Oracle (10 Different Examples) Base Tables In Oracle Sql> select table_name from dba_tables; External tables allow oracle to query data that is stored outside the database in flat files. To gather statistics for this view, use the dbms_stats package. Main interface and base table in oracle apps r12. Show tables owned by the current user. The data that resides in the interface tables is transferred to the base. Base Tables In Oracle.
From www.youtube.com
How to Find out the Table & Columns in ORACLE APPS R12 Class 2 YouTube Base Tables In Oracle The data that resides in the interface tables is transferred to the base tables using concurrent. Show tables owned by the current user. External tables allow oracle to query data that is stored outside the database in flat files. To gather statistics for this view, use the dbms_stats package. The interface programs validate the data, derive and assign the default. Base Tables In Oracle.
From mavink.com
Oracle Requisition Tables Base Tables In Oracle The data that resides in the interface tables is transferred to the base tables using concurrent. External tables allow oracle to query data that is stored outside the database in flat files. Sql> select table_name from dba_tables; Sql> select table_name from user_tables; This tutorial shows you step by step how to use the oracle create table statement to create a. Base Tables In Oracle.