Radius Formula With Endpoints . The radius of a circle from the area: Observe the following formulas to calculate the radius: If you know the area a, the radius is r = √(a / π). There are three circle radius formulas, depending on what number you know: We will use the center. Find the radius for the circle. The radius is any line segment from the center of the circle to any point on its circumference. The radius of a circle can be calculated through various formulas. How to find radius of circle with 2 end points. What is the radius formula? When the diameter is known,. In this case, is the. The radius is the distance from the center to any point on the circle so we can use the distance formula to calculate it. This calculator can find the center and radius of a circle given its equation in standard or general form. Also, it can find equation of a circle given.
        
        from www.youtube.com 
     
        
        What is the radius formula? If you know the area a, the radius is r = √(a / π). How to find radius of circle with 2 end points. The radius is any line segment from the center of the circle to any point on its circumference. In this case, is the. The radius is the distance from the center to any point on the circle so we can use the distance formula to calculate it. The radius of a circle can be calculated through various formulas. There are three circle radius formulas, depending on what number you know: The radius of a circle from the area: This calculator can find the center and radius of a circle given its equation in standard or general form.
    
    	
            
	
		 
         
    Find the center and radius, and the equation of the circle that has 
    Radius Formula With Endpoints  The radius is the distance from the center to any point on the circle so we can use the distance formula to calculate it. Observe the following formulas to calculate the radius: Also, it can find equation of a circle given. What is the radius formula? When the diameter is known,. If you know the area a, the radius is r = √(a / π). The radius of a circle can be calculated through various formulas. The radius is any line segment from the center of the circle to any point on its circumference. This calculator can find the center and radius of a circle given its equation in standard or general form. How to find radius of circle with 2 end points. In this case, is the. There are three circle radius formulas, depending on what number you know: We will use the center. The radius is the distance from the center to any point on the circle so we can use the distance formula to calculate it. The radius of a circle from the area: Find the radius for the circle.
            
	
		 
         
 
    
        From www.youtube.com 
                    Unit 2.2 Finding the Equation of Circle Given Two Endpoints YouTube Radius Formula With Endpoints  In this case, is the. Find the radius for the circle. Observe the following formulas to calculate the radius: What is the radius formula? The radius is any line segment from the center of the circle to any point on its circumference. This calculator can find the center and radius of a circle given its equation in standard or general. Radius Formula With Endpoints.
     
    
        From www.tessshebaylo.com 
                    Find The Equation Of Circle With Radius 7 And Center At Origin Radius Formula With Endpoints  When the diameter is known,. There are three circle radius formulas, depending on what number you know: Observe the following formulas to calculate the radius: How to find radius of circle with 2 end points. Also, it can find equation of a circle given. We will use the center. This calculator can find the center and radius of a circle. Radius Formula With Endpoints.
     
    
        From www.gauthmath.com 
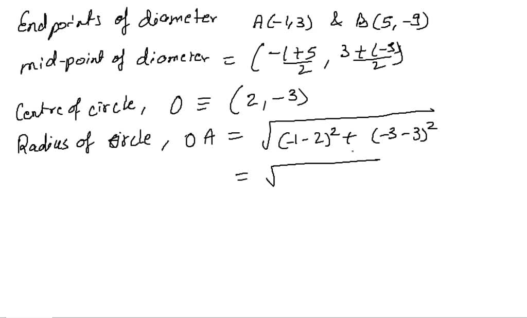
                    Solved . The endpoints of a diameter of a circle are (3.1) and (9.5 Radius Formula With Endpoints  If you know the area a, the radius is r = √(a / π). How to find radius of circle with 2 end points. The radius of a circle from the area: Observe the following formulas to calculate the radius: The radius is any line segment from the center of the circle to any point on its circumference. The radius. Radius Formula With Endpoints.
     
    
        From brainly.com 
                    The diameter of a circle has the endpoints of (2, 5) and (8, 29). Find Radius Formula With Endpoints  What is the radius formula? The radius is any line segment from the center of the circle to any point on its circumference. There are three circle radius formulas, depending on what number you know: Also, it can find equation of a circle given. How to find radius of circle with 2 end points. We will use the center. When. Radius Formula With Endpoints.
     
    
        From www.numerade.com 
                    We can find an equation of a circle if we know the coordinates of the Radius Formula With Endpoints  Observe the following formulas to calculate the radius: The radius is the distance from the center to any point on the circle so we can use the distance formula to calculate it. This calculator can find the center and radius of a circle given its equation in standard or general form. The radius of a circle can be calculated through. Radius Formula With Endpoints.
     
    
        From www.youtube.com 
                    EQUATION OF CIRCLE BY END POINTS OF DIAMETER YouTube Radius Formula With Endpoints  The radius is any line segment from the center of the circle to any point on its circumference. If you know the area a, the radius is r = √(a / π). We will use the center. What is the radius formula? The radius is the distance from the center to any point on the circle so we can use. Radius Formula With Endpoints.
     
    
        From www.youtube.com 
                    Finding the Equation of a Circle Given Diameter Endpoints (Example Radius Formula With Endpoints  The radius of a circle can be calculated through various formulas. Observe the following formulas to calculate the radius: In this case, is the. This calculator can find the center and radius of a circle given its equation in standard or general form. The radius is any line segment from the center of the circle to any point on its. Radius Formula With Endpoints.
     
    
        From topptutors.blogspot.com 
                    How To Find The Equation Of A Circle With Diameter Endpoints Radius Formula With Endpoints  Find the radius for the circle. The radius is any line segment from the center of the circle to any point on its circumference. Also, it can find equation of a circle given. This calculator can find the center and radius of a circle given its equation in standard or general form. There are three circle radius formulas, depending on. Radius Formula With Endpoints.
     
    
        From www.tessshebaylo.com 
                    Equation Of A Circle Given Two Endpoints Tessshebaylo Radius Formula With Endpoints  We will use the center. The radius of a circle from the area: The radius of a circle can be calculated through various formulas. If you know the area a, the radius is r = √(a / π). The radius is the distance from the center to any point on the circle so we can use the distance formula to. Radius Formula With Endpoints.
     
    
        From www.numerade.com 
                    SOLVEDWe can find an equation of a circle if we know the coordinates Radius Formula With Endpoints  We will use the center. The radius of a circle can be calculated through various formulas. The radius is the distance from the center to any point on the circle so we can use the distance formula to calculate it. In this case, is the. There are three circle radius formulas, depending on what number you know: This calculator can. Radius Formula With Endpoints.
     
    
        From www.tessshebaylo.com 
                    Equation Of Circle From 2 Points And Radius Tessshebaylo Radius Formula With Endpoints  If you know the area a, the radius is r = √(a / π). Also, it can find equation of a circle given. Observe the following formulas to calculate the radius: The radius is any line segment from the center of the circle to any point on its circumference. There are three circle radius formulas, depending on what number you. Radius Formula With Endpoints.
     
    
        From www.youtube.com 
                    FINDING STANDARD EQUATION OF CIRCLE with GIVEN DIAMETER ENDPOINTS Radius Formula With Endpoints  What is the radius formula? There are three circle radius formulas, depending on what number you know: The radius of a circle from the area: The radius of a circle can be calculated through various formulas. Observe the following formulas to calculate the radius: Also, it can find equation of a circle given. When the diameter is known,. The radius. Radius Formula With Endpoints.
     
    
        From socratic.org 
                    How do you find the centerradius form of the equation of the circle Radius Formula With Endpoints  In this case, is the. The radius of a circle from the area: Observe the following formulas to calculate the radius: Also, it can find equation of a circle given. There are three circle radius formulas, depending on what number you know: What is the radius formula? If you know the area a, the radius is r = √(a /. Radius Formula With Endpoints.
     
    
        From www.tessshebaylo.com 
                    Find Equation Of A Circle Given 2 Endpoints Tessshebaylo Radius Formula With Endpoints  How to find radius of circle with 2 end points. Observe the following formulas to calculate the radius: In this case, is the. Find the radius for the circle. The radius is the distance from the center to any point on the circle so we can use the distance formula to calculate it. We will use the center. The radius. Radius Formula With Endpoints.
     
    
        From socratic.org 
                    How do you find the equation of a circle with points (1, 2) and (1, 2 Radius Formula With Endpoints  The radius of a circle from the area: This calculator can find the center and radius of a circle given its equation in standard or general form. There are three circle radius formulas, depending on what number you know: In this case, is the. Find the radius for the circle. If you know the area a, the radius is r. Radius Formula With Endpoints.
     
    
        From slideplayer.com 
                    CIRCLES Topic ppt download Radius Formula With Endpoints  Also, it can find equation of a circle given. Observe the following formulas to calculate the radius: How to find radius of circle with 2 end points. The radius of a circle from the area: There are three circle radius formulas, depending on what number you know: What is the radius formula? If you know the area a, the radius. Radius Formula With Endpoints.
     
    
        From www.youtube.com 
                    Find coordinates of other endpoint of a diameter given equation of Radius Formula With Endpoints  How to find radius of circle with 2 end points. Also, it can find equation of a circle given. Find the radius for the circle. We will use the center. Observe the following formulas to calculate the radius: When the diameter is known,. The radius is the distance from the center to any point on the circle so we can. Radius Formula With Endpoints.
     
    
        From www.youtube.com 
                    Find the center and radius, and the equation of the circle that has Radius Formula With Endpoints  If you know the area a, the radius is r = √(a / π). Observe the following formulas to calculate the radius: Also, it can find equation of a circle given. The radius is any line segment from the center of the circle to any point on its circumference. How to find radius of circle with 2 end points. In. Radius Formula With Endpoints.
     
    
        From www.pinterest.com 
                    Finding the CenterRadius Form of a Circle the Given Endpoints of the Radius Formula With Endpoints  The radius is any line segment from the center of the circle to any point on its circumference. Also, it can find equation of a circle given. Find the radius for the circle. When the diameter is known,. The radius of a circle from the area: Observe the following formulas to calculate the radius: There are three circle radius formulas,. Radius Formula With Endpoints.
     
    
        From www.numerade.com 
                    SOLVEDWe can find an equation of a circle if we know the coordinates Radius Formula With Endpoints  The radius is the distance from the center to any point on the circle so we can use the distance formula to calculate it. If you know the area a, the radius is r = √(a / π). Find the radius for the circle. The radius is any line segment from the center of the circle to any point on. Radius Formula With Endpoints.
     
    
        From www.tessshebaylo.com 
                    How To Find The Equation Of A Circle With Two Endpoints Tessshebaylo Radius Formula With Endpoints  This calculator can find the center and radius of a circle given its equation in standard or general form. We will use the center. If you know the area a, the radius is r = √(a / π). The radius is the distance from the center to any point on the circle so we can use the distance formula to. Radius Formula With Endpoints.
     
    
        From www.youtube.com 
                    Writing the Equation of a Circle Given the Endpoints of Diameter YouTube Radius Formula With Endpoints  There are three circle radius formulas, depending on what number you know: We will use the center. The radius is any line segment from the center of the circle to any point on its circumference. Find the radius for the circle. This calculator can find the center and radius of a circle given its equation in standard or general form.. Radius Formula With Endpoints.
     
    
        From www.coursehero.com 
                    [Solved] A diameter of a circle has endpoints (3, 2) and (5, 4). What Radius Formula With Endpoints  In this case, is the. What is the radius formula? Find the radius for the circle. When the diameter is known,. There are three circle radius formulas, depending on what number you know: If you know the area a, the radius is r = √(a / π). The radius of a circle can be calculated through various formulas. The radius. Radius Formula With Endpoints.
     
    
        From topptutors.blogspot.com 
                    How To Find The Equation Of A Circle With Diameter Endpoints Radius Formula With Endpoints  What is the radius formula? How to find radius of circle with 2 end points. The radius is the distance from the center to any point on the circle so we can use the distance formula to calculate it. If you know the area a, the radius is r = √(a / π). The radius of a circle can be. Radius Formula With Endpoints.
     
    
        From www.youtube.com 
                    Ex 2 Find Standard Equation of a Circle Given the Endpoints of a Radius Formula With Endpoints  We will use the center. Find the radius for the circle. What is the radius formula? How to find radius of circle with 2 end points. The radius of a circle from the area: The radius is any line segment from the center of the circle to any point on its circumference. When the diameter is known,. The radius of. Radius Formula With Endpoints.
     
    
        From www.quora.com 
                    What is the standard equation of the circle whose endpoints of the Radius Formula With Endpoints  If you know the area a, the radius is r = √(a / π). The radius is the distance from the center to any point on the circle so we can use the distance formula to calculate it. Find the radius for the circle. In this case, is the. The radius is any line segment from the center of the. Radius Formula With Endpoints.
     
    
        From www.youtube.com 
                    Given the endpoints of the diameter of a circle, find its equation Radius Formula With Endpoints  What is the radius formula? We will use the center. This calculator can find the center and radius of a circle given its equation in standard or general form. When the diameter is known,. If you know the area a, the radius is r = √(a / π). Also, it can find equation of a circle given. The radius of. Radius Formula With Endpoints.
     
    
        From www.tessshebaylo.com 
                    Find The Standard Equation Of A Circle With Center And Radius Radius Formula With Endpoints  In this case, is the. The radius of a circle can be calculated through various formulas. The radius of a circle from the area: The radius is any line segment from the center of the circle to any point on its circumference. The radius is the distance from the center to any point on the circle so we can use. Radius Formula With Endpoints.
     
    
        From www.softschools.com 
                    Circle CenterRadius Equation Radius Formula With Endpoints  The radius is any line segment from the center of the circle to any point on its circumference. The radius of a circle can be calculated through various formulas. This calculator can find the center and radius of a circle given its equation in standard or general form. Also, it can find equation of a circle given. When the diameter. Radius Formula With Endpoints.
     
    
        From www.coursehero.com 
                    [Solved] . Write the standard form equation of a circle that the Radius Formula With Endpoints  Observe the following formulas to calculate the radius: The radius is the distance from the center to any point on the circle so we can use the distance formula to calculate it. If you know the area a, the radius is r = √(a / π). Find the radius for the circle. Also, it can find equation of a circle. Radius Formula With Endpoints.
     
    
        From www.tessshebaylo.com 
                    Find Equation Of Circle With Endpoints Calculator Tessshebaylo Radius Formula With Endpoints  Also, it can find equation of a circle given. What is the radius formula? This calculator can find the center and radius of a circle given its equation in standard or general form. We will use the center. The radius is any line segment from the center of the circle to any point on its circumference. There are three circle. Radius Formula With Endpoints.
     
    
        From www.coursehero.com 
                    [Solved] A diameter of a circle has endpoints (3, 2) and (5, 4). What Radius Formula With Endpoints  When the diameter is known,. We will use the center. Also, it can find equation of a circle given. The radius of a circle from the area: If you know the area a, the radius is r = √(a / π). The radius is any line segment from the center of the circle to any point on its circumference. This. Radius Formula With Endpoints.
     
    
        From brainly.in 
                    Draw a circle and name its centre a radius a diameter and arc Brainly.in Radius Formula With Endpoints  The radius of a circle can be calculated through various formulas. How to find radius of circle with 2 end points. Observe the following formulas to calculate the radius: If you know the area a, the radius is r = √(a / π). The radius is the distance from the center to any point on the circle so we can. Radius Formula With Endpoints.
     
    
        From www.tessshebaylo.com 
                    Find Equation Of Circle With Endpoints Calculator Tessshebaylo Radius Formula With Endpoints  Observe the following formulas to calculate the radius: If you know the area a, the radius is r = √(a / π). The radius of a circle can be calculated through various formulas. Also, it can find equation of a circle given. This calculator can find the center and radius of a circle given its equation in standard or general. Radius Formula With Endpoints.
     
    
        From www.youtube.com 
                    Midpoint Formula Part 2 Find Center of a Circle From Endpoints of Radius Formula With Endpoints  The radius is any line segment from the center of the circle to any point on its circumference. The radius is the distance from the center to any point on the circle so we can use the distance formula to calculate it. If you know the area a, the radius is r = √(a / π). In this case, is. Radius Formula With Endpoints.