Chlorine Gas Would Most Likely Be Transported In A . When liquid chlorine is released, it quickly turns into a gas that. This unit applies primarily to chlorine gas and the corresponding safety risks. widely used in manufacturing and industrial applications, chlorine gas can become a severe hazard if accidental release, leaks, or transportation incidents. Health effects, incident management and toxicology. chlorine is turned into a liquid for storage and transport. g it to additional usage locations is common. Chlorine is a highly toxic chemical that must be handled with care to minimize. Ultimately, transporting chlorine from production facilities to usage locations adds up to illions of miles in. when liquid chlorine is released, it quickly turns into a gas that stays close to the ground and spreads rapidly. Information on chlorine, for responding to.
from www.numerade.com
When liquid chlorine is released, it quickly turns into a gas that. chlorine is turned into a liquid for storage and transport. Health effects, incident management and toxicology. widely used in manufacturing and industrial applications, chlorine gas can become a severe hazard if accidental release, leaks, or transportation incidents. Information on chlorine, for responding to. Chlorine is a highly toxic chemical that must be handled with care to minimize. Ultimately, transporting chlorine from production facilities to usage locations adds up to illions of miles in. when liquid chlorine is released, it quickly turns into a gas that stays close to the ground and spreads rapidly. This unit applies primarily to chlorine gas and the corresponding safety risks. g it to additional usage locations is common.
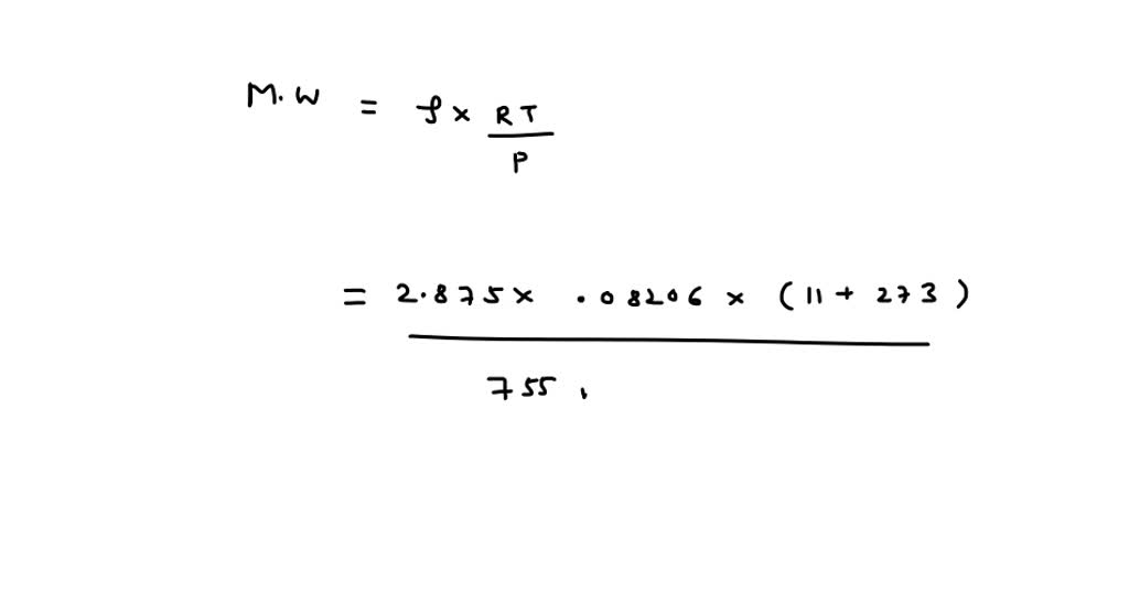
SOLVED A gas composed of chlorine and oxygen has a density of 2.875 g
Chlorine Gas Would Most Likely Be Transported In A Information on chlorine, for responding to. Ultimately, transporting chlorine from production facilities to usage locations adds up to illions of miles in. Health effects, incident management and toxicology. Information on chlorine, for responding to. This unit applies primarily to chlorine gas and the corresponding safety risks. when liquid chlorine is released, it quickly turns into a gas that stays close to the ground and spreads rapidly. When liquid chlorine is released, it quickly turns into a gas that. widely used in manufacturing and industrial applications, chlorine gas can become a severe hazard if accidental release, leaks, or transportation incidents. g it to additional usage locations is common. Chlorine is a highly toxic chemical that must be handled with care to minimize. chlorine is turned into a liquid for storage and transport.
From www.chegg.com
Solved Chlorine gas is being transported using horizontal Chlorine Gas Would Most Likely Be Transported In A Ultimately, transporting chlorine from production facilities to usage locations adds up to illions of miles in. chlorine is turned into a liquid for storage and transport. Health effects, incident management and toxicology. g it to additional usage locations is common. widely used in manufacturing and industrial applications, chlorine gas can become a severe hazard if accidental release,. Chlorine Gas Would Most Likely Be Transported In A.
From www.slideserve.com
PPT CHLORINE GAS PowerPoint Presentation, free download ID9435882 Chlorine Gas Would Most Likely Be Transported In A Health effects, incident management and toxicology. Ultimately, transporting chlorine from production facilities to usage locations adds up to illions of miles in. This unit applies primarily to chlorine gas and the corresponding safety risks. widely used in manufacturing and industrial applications, chlorine gas can become a severe hazard if accidental release, leaks, or transportation incidents. when liquid chlorine. Chlorine Gas Would Most Likely Be Transported In A.
From nghenhansu.edu.vn
List 94+ Images Chlorine Gas Is Transported In What Type Of Railcar Chlorine Gas Would Most Likely Be Transported In A chlorine is turned into a liquid for storage and transport. when liquid chlorine is released, it quickly turns into a gas that stays close to the ground and spreads rapidly. widely used in manufacturing and industrial applications, chlorine gas can become a severe hazard if accidental release, leaks, or transportation incidents. This unit applies primarily to chlorine. Chlorine Gas Would Most Likely Be Transported In A.
From www.sciencephoto.com
Chlorine Gas Stock Image C027/9591 Science Photo Library Chlorine Gas Would Most Likely Be Transported In A Chlorine is a highly toxic chemical that must be handled with care to minimize. chlorine is turned into a liquid for storage and transport. when liquid chlorine is released, it quickly turns into a gas that stays close to the ground and spreads rapidly. Health effects, incident management and toxicology. When liquid chlorine is released, it quickly turns. Chlorine Gas Would Most Likely Be Transported In A.
From www.slideserve.com
PPT CHLORINE GAS PowerPoint Presentation, free download ID9435882 Chlorine Gas Would Most Likely Be Transported In A widely used in manufacturing and industrial applications, chlorine gas can become a severe hazard if accidental release, leaks, or transportation incidents. chlorine is turned into a liquid for storage and transport. Chlorine is a highly toxic chemical that must be handled with care to minimize. Information on chlorine, for responding to. Health effects, incident management and toxicology. . Chlorine Gas Would Most Likely Be Transported In A.
From www.youtube.com
Preparation of Chlorine gas in lab. diagram making video YouTube Chlorine Gas Would Most Likely Be Transported In A Information on chlorine, for responding to. Chlorine is a highly toxic chemical that must be handled with care to minimize. chlorine is turned into a liquid for storage and transport. Health effects, incident management and toxicology. g it to additional usage locations is common. Ultimately, transporting chlorine from production facilities to usage locations adds up to illions of. Chlorine Gas Would Most Likely Be Transported In A.
From ivypanda.com
Massive Leak of Liquified Chlorine Gas 2169 Words Presentation Example Chlorine Gas Would Most Likely Be Transported In A Health effects, incident management and toxicology. when liquid chlorine is released, it quickly turns into a gas that stays close to the ground and spreads rapidly. g it to additional usage locations is common. Information on chlorine, for responding to. When liquid chlorine is released, it quickly turns into a gas that. chlorine is turned into a. Chlorine Gas Would Most Likely Be Transported In A.
From owenglover7.blogspot.com
guidelines on storage of hazardous chemicals malaysia Owen Glover Chlorine Gas Would Most Likely Be Transported In A This unit applies primarily to chlorine gas and the corresponding safety risks. when liquid chlorine is released, it quickly turns into a gas that stays close to the ground and spreads rapidly. widely used in manufacturing and industrial applications, chlorine gas can become a severe hazard if accidental release, leaks, or transportation incidents. Ultimately, transporting chlorine from production. Chlorine Gas Would Most Likely Be Transported In A.
From www.numerade.com
SOLVEDAluminum and chlorine gas react to form aluminum chloride Chlorine Gas Would Most Likely Be Transported In A Health effects, incident management and toxicology. This unit applies primarily to chlorine gas and the corresponding safety risks. When liquid chlorine is released, it quickly turns into a gas that. when liquid chlorine is released, it quickly turns into a gas that stays close to the ground and spreads rapidly. Chlorine is a highly toxic chemical that must be. Chlorine Gas Would Most Likely Be Transported In A.
From www.numerade.com
Chlorine gas reacts with fluorine gas to form chlorine trifluoride. Cl2 Chlorine Gas Would Most Likely Be Transported In A chlorine is turned into a liquid for storage and transport. g it to additional usage locations is common. Ultimately, transporting chlorine from production facilities to usage locations adds up to illions of miles in. Health effects, incident management and toxicology. This unit applies primarily to chlorine gas and the corresponding safety risks. widely used in manufacturing and. Chlorine Gas Would Most Likely Be Transported In A.
From www.myscience.org
Replacing toxic chlorine and bromine news.myScience / news / news 2021 Chlorine Gas Would Most Likely Be Transported In A Ultimately, transporting chlorine from production facilities to usage locations adds up to illions of miles in. Health effects, incident management and toxicology. g it to additional usage locations is common. when liquid chlorine is released, it quickly turns into a gas that stays close to the ground and spreads rapidly. chlorine is turned into a liquid for. Chlorine Gas Would Most Likely Be Transported In A.
From www.slideserve.com
PPT CHLORINE GAS PowerPoint Presentation, free download ID9435882 Chlorine Gas Would Most Likely Be Transported In A Ultimately, transporting chlorine from production facilities to usage locations adds up to illions of miles in. When liquid chlorine is released, it quickly turns into a gas that. This unit applies primarily to chlorine gas and the corresponding safety risks. g it to additional usage locations is common. Information on chlorine, for responding to. Health effects, incident management and. Chlorine Gas Would Most Likely Be Transported In A.
From slideplayer.com
CHLORINATION. ppt download Chlorine Gas Would Most Likely Be Transported In A Health effects, incident management and toxicology. Information on chlorine, for responding to. This unit applies primarily to chlorine gas and the corresponding safety risks. widely used in manufacturing and industrial applications, chlorine gas can become a severe hazard if accidental release, leaks, or transportation incidents. when liquid chlorine is released, it quickly turns into a gas that stays. Chlorine Gas Would Most Likely Be Transported In A.
From studylib.net
Displacement reactions Reactions of chlorine Chlorine Gas Would Most Likely Be Transported In A Information on chlorine, for responding to. Health effects, incident management and toxicology. when liquid chlorine is released, it quickly turns into a gas that stays close to the ground and spreads rapidly. Ultimately, transporting chlorine from production facilities to usage locations adds up to illions of miles in. chlorine is turned into a liquid for storage and transport.. Chlorine Gas Would Most Likely Be Transported In A.
From verywellhome.com
How Long Does Chlorine Gas Stay in the Air? Check Right Now Chlorine Gas Would Most Likely Be Transported In A Information on chlorine, for responding to. Health effects, incident management and toxicology. widely used in manufacturing and industrial applications, chlorine gas can become a severe hazard if accidental release, leaks, or transportation incidents. when liquid chlorine is released, it quickly turns into a gas that stays close to the ground and spreads rapidly. When liquid chlorine is released,. Chlorine Gas Would Most Likely Be Transported In A.
From www.slideserve.com
PPT Elements are arranged PowerPoint Presentation, free download Chlorine Gas Would Most Likely Be Transported In A Information on chlorine, for responding to. Chlorine is a highly toxic chemical that must be handled with care to minimize. Ultimately, transporting chlorine from production facilities to usage locations adds up to illions of miles in. g it to additional usage locations is common. When liquid chlorine is released, it quickly turns into a gas that. chlorine is. Chlorine Gas Would Most Likely Be Transported In A.
From aminoapps.com
Chlorine Gas Wiki World History Amino Chlorine Gas Would Most Likely Be Transported In A g it to additional usage locations is common. chlorine is turned into a liquid for storage and transport. when liquid chlorine is released, it quickly turns into a gas that stays close to the ground and spreads rapidly. Ultimately, transporting chlorine from production facilities to usage locations adds up to illions of miles in. Health effects, incident. Chlorine Gas Would Most Likely Be Transported In A.
From www.researchgate.net
(PDF) Dispersion Modeling of Accidental Release of Chlorine Gas Chlorine Gas Would Most Likely Be Transported In A This unit applies primarily to chlorine gas and the corresponding safety risks. Information on chlorine, for responding to. Ultimately, transporting chlorine from production facilities to usage locations adds up to illions of miles in. chlorine is turned into a liquid for storage and transport. g it to additional usage locations is common. Health effects, incident management and toxicology.. Chlorine Gas Would Most Likely Be Transported In A.
From finwise.edu.vn
Top 104+ Pictures Chlorine Gas Is Transported In What Type Of Railcar Chlorine Gas Would Most Likely Be Transported In A When liquid chlorine is released, it quickly turns into a gas that. Health effects, incident management and toxicology. Ultimately, transporting chlorine from production facilities to usage locations adds up to illions of miles in. chlorine is turned into a liquid for storage and transport. widely used in manufacturing and industrial applications, chlorine gas can become a severe hazard. Chlorine Gas Would Most Likely Be Transported In A.
From www.scribd.com
Chemistry Merged PDF Chlorine Gases Chlorine Gas Would Most Likely Be Transported In A when liquid chlorine is released, it quickly turns into a gas that stays close to the ground and spreads rapidly. Chlorine is a highly toxic chemical that must be handled with care to minimize. Information on chlorine, for responding to. This unit applies primarily to chlorine gas and the corresponding safety risks. widely used in manufacturing and industrial. Chlorine Gas Would Most Likely Be Transported In A.
From www.researchgate.net
Chlorine gas applications [67]. Download Scientific Diagram Chlorine Gas Would Most Likely Be Transported In A when liquid chlorine is released, it quickly turns into a gas that stays close to the ground and spreads rapidly. When liquid chlorine is released, it quickly turns into a gas that. Health effects, incident management and toxicology. chlorine is turned into a liquid for storage and transport. Information on chlorine, for responding to. Ultimately, transporting chlorine from. Chlorine Gas Would Most Likely Be Transported In A.
From www.sciencephoto.com
Liquid chlorine transport Stock Image T870/0333 Science Photo Library Chlorine Gas Would Most Likely Be Transported In A Information on chlorine, for responding to. This unit applies primarily to chlorine gas and the corresponding safety risks. Chlorine is a highly toxic chemical that must be handled with care to minimize. When liquid chlorine is released, it quickly turns into a gas that. Ultimately, transporting chlorine from production facilities to usage locations adds up to illions of miles in.. Chlorine Gas Would Most Likely Be Transported In A.
From www.researchgate.net
Schematic of the chlorine gas exposure system. MFC mass flow Chlorine Gas Would Most Likely Be Transported In A chlorine is turned into a liquid for storage and transport. When liquid chlorine is released, it quickly turns into a gas that. Health effects, incident management and toxicology. Ultimately, transporting chlorine from production facilities to usage locations adds up to illions of miles in. when liquid chlorine is released, it quickly turns into a gas that stays close. Chlorine Gas Would Most Likely Be Transported In A.
From www.scribd.com
Chlorine Gas PDF Chlorine Manganese Chlorine Gas Would Most Likely Be Transported In A widely used in manufacturing and industrial applications, chlorine gas can become a severe hazard if accidental release, leaks, or transportation incidents. This unit applies primarily to chlorine gas and the corresponding safety risks. Information on chlorine, for responding to. When liquid chlorine is released, it quickly turns into a gas that. chlorine is turned into a liquid for. Chlorine Gas Would Most Likely Be Transported In A.
From www.slideshare.net
chlorine gas uses and properties Chemistry Analysis Chlorine Gas Would Most Likely Be Transported In A Ultimately, transporting chlorine from production facilities to usage locations adds up to illions of miles in. Chlorine is a highly toxic chemical that must be handled with care to minimize. when liquid chlorine is released, it quickly turns into a gas that stays close to the ground and spreads rapidly. widely used in manufacturing and industrial applications, chlorine. Chlorine Gas Would Most Likely Be Transported In A.
From finwise.edu.vn
Top 104+ Pictures Chlorine Gas Is Transported In What Type Of Railcar Chlorine Gas Would Most Likely Be Transported In A when liquid chlorine is released, it quickly turns into a gas that stays close to the ground and spreads rapidly. widely used in manufacturing and industrial applications, chlorine gas can become a severe hazard if accidental release, leaks, or transportation incidents. Health effects, incident management and toxicology. Chlorine is a highly toxic chemical that must be handled with. Chlorine Gas Would Most Likely Be Transported In A.
From www.numerade.com
SOLVED A gas composed of chlorine and oxygen has a density of 2.875 g Chlorine Gas Would Most Likely Be Transported In A This unit applies primarily to chlorine gas and the corresponding safety risks. g it to additional usage locations is common. Ultimately, transporting chlorine from production facilities to usage locations adds up to illions of miles in. widely used in manufacturing and industrial applications, chlorine gas can become a severe hazard if accidental release, leaks, or transportation incidents. When. Chlorine Gas Would Most Likely Be Transported In A.
From exontsuic.blob.core.windows.net
Chlorine Gas Balanced Equation at Thomas Sheehan blog Chlorine Gas Would Most Likely Be Transported In A widely used in manufacturing and industrial applications, chlorine gas can become a severe hazard if accidental release, leaks, or transportation incidents. g it to additional usage locations is common. Ultimately, transporting chlorine from production facilities to usage locations adds up to illions of miles in. When liquid chlorine is released, it quickly turns into a gas that. Chlorine. Chlorine Gas Would Most Likely Be Transported In A.
From nghenhansu.edu.vn
List 94+ Images Chlorine Gas Is Transported In What Type Of Railcar Chlorine Gas Would Most Likely Be Transported In A This unit applies primarily to chlorine gas and the corresponding safety risks. when liquid chlorine is released, it quickly turns into a gas that stays close to the ground and spreads rapidly. chlorine is turned into a liquid for storage and transport. Information on chlorine, for responding to. Chlorine is a highly toxic chemical that must be handled. Chlorine Gas Would Most Likely Be Transported In A.
From thptthuthua.edu.vn
Collection 97+ Background Images Chlorine Gas Is Transported In What Chlorine Gas Would Most Likely Be Transported In A g it to additional usage locations is common. When liquid chlorine is released, it quickly turns into a gas that. chlorine is turned into a liquid for storage and transport. widely used in manufacturing and industrial applications, chlorine gas can become a severe hazard if accidental release, leaks, or transportation incidents. Health effects, incident management and toxicology.. Chlorine Gas Would Most Likely Be Transported In A.
From esemag.com
Chlorine gas a safe, effective disinfection method for well water Chlorine Gas Would Most Likely Be Transported In A When liquid chlorine is released, it quickly turns into a gas that. This unit applies primarily to chlorine gas and the corresponding safety risks. g it to additional usage locations is common. Chlorine is a highly toxic chemical that must be handled with care to minimize. Information on chlorine, for responding to. chlorine is turned into a liquid. Chlorine Gas Would Most Likely Be Transported In A.
From www.slideserve.com
PPT CHLORINE GAS PowerPoint Presentation, free download ID9435882 Chlorine Gas Would Most Likely Be Transported In A g it to additional usage locations is common. Chlorine is a highly toxic chemical that must be handled with care to minimize. When liquid chlorine is released, it quickly turns into a gas that. This unit applies primarily to chlorine gas and the corresponding safety risks. chlorine is turned into a liquid for storage and transport. Ultimately, transporting. Chlorine Gas Would Most Likely Be Transported In A.
From www.wsd.gov.hk
WSD Special Features Onsite Generation of Ozone Gas and Chlorine Gas Chlorine Gas Would Most Likely Be Transported In A Ultimately, transporting chlorine from production facilities to usage locations adds up to illions of miles in. Chlorine is a highly toxic chemical that must be handled with care to minimize. g it to additional usage locations is common. Health effects, incident management and toxicology. widely used in manufacturing and industrial applications, chlorine gas can become a severe hazard. Chlorine Gas Would Most Likely Be Transported In A.
From solutech.com.vn
Chlorine Gas System Controlmatik ABW Chlorine Gas Would Most Likely Be Transported In A When liquid chlorine is released, it quickly turns into a gas that. Health effects, incident management and toxicology. Information on chlorine, for responding to. chlorine is turned into a liquid for storage and transport. g it to additional usage locations is common. Ultimately, transporting chlorine from production facilities to usage locations adds up to illions of miles in.. Chlorine Gas Would Most Likely Be Transported In A.
From www.youtube.com
Chlorine Gas Physical Properties YouTube Chlorine Gas Would Most Likely Be Transported In A widely used in manufacturing and industrial applications, chlorine gas can become a severe hazard if accidental release, leaks, or transportation incidents. Chlorine is a highly toxic chemical that must be handled with care to minimize. Ultimately, transporting chlorine from production facilities to usage locations adds up to illions of miles in. Health effects, incident management and toxicology. Information on. Chlorine Gas Would Most Likely Be Transported In A.