A Battery Having An Emf Of 9.00 V . A battery having an emf of 9.00. Determine the internal resistance of the. A battery having an emf of 9.00 v delivers 117 ma when connected to a 72.0 − ω. A battery having an emf (voltage) of 9.00 v delivers 117 ma when connected to a 72 ω load. based on the given question, we can solve for the internal resistance of the battery using ohm's law: A battery having an emf of 9.00 v 9.00 v delivers 117 ma 117 m a when connected to a 72.0 − ω 72.0 − ω load. A battery having an emf of 9.00 v delivers 117 ma when connected to a 72.0 2 load. Determine the internal resistance of the battery 2.
from www.youtube.com
Determine the internal resistance of the battery 2. A battery having an emf of 9.00 v delivers 117 ma when connected to a 72.0 − ω. A battery having an emf of 9.00 v 9.00 v delivers 117 ma 117 m a when connected to a 72.0 − ω 72.0 − ω load. A battery having an emf of 9.00 v delivers 117 ma when connected to a 72.0 2 load. A battery having an emf of 9.00. based on the given question, we can solve for the internal resistance of the battery using ohm's law: Determine the internal resistance of the. A battery having an emf (voltage) of 9.00 v delivers 117 ma when connected to a 72 ω load.
A battery having an emf of 9.00 V delivers 117 mA when connected to a
A Battery Having An Emf Of 9.00 V A battery having an emf of 9.00 v 9.00 v delivers 117 ma 117 m a when connected to a 72.0 − ω 72.0 − ω load. based on the given question, we can solve for the internal resistance of the battery using ohm's law: A battery having an emf of 9.00 v delivers 117 ma when connected to a 72.0 − ω. A battery having an emf (voltage) of 9.00 v delivers 117 ma when connected to a 72 ω load. A battery having an emf of 9.00 v delivers 117 ma when connected to a 72.0 2 load. Determine the internal resistance of the. Determine the internal resistance of the battery 2. A battery having an emf of 9.00 v 9.00 v delivers 117 ma 117 m a when connected to a 72.0 − ω 72.0 − ω load. A battery having an emf of 9.00.
From www.numerade.com
SOLVED A battery has an internal resistance of 0.018 O and an emf of 9 A Battery Having An Emf Of 9.00 V Determine the internal resistance of the. A battery having an emf of 9.00 v delivers 117 ma when connected to a 72.0 2 load. based on the given question, we can solve for the internal resistance of the battery using ohm's law: A battery having an emf of 9.00 v delivers 117 ma when connected to a 72.0 −. A Battery Having An Emf Of 9.00 V.
From byjus.com
A storage battery of emf 8 v and internal resistance 0.5 ohm is being A Battery Having An Emf Of 9.00 V A battery having an emf of 9.00 v delivers 117 ma when connected to a 72.0 − ω. Determine the internal resistance of the. A battery having an emf of 9.00 v 9.00 v delivers 117 ma 117 m a when connected to a 72.0 − ω 72.0 − ω load. based on the given question, we can solve. A Battery Having An Emf Of 9.00 V.
From www.chegg.com
Solved 9. A battery with an EMF of 9.0 V is connected to the A Battery Having An Emf Of 9.00 V A battery having an emf of 9.00 v 9.00 v delivers 117 ma 117 m a when connected to a 72.0 − ω 72.0 − ω load. A battery having an emf of 9.00 v delivers 117 ma when connected to a 72.0 − ω. A battery having an emf of 9.00 v delivers 117 ma when connected to a. A Battery Having An Emf Of 9.00 V.
From www.chegg.com
Solved A battery having an emf of 9.23 V delivers 108 mA A Battery Having An Emf Of 9.00 V Determine the internal resistance of the. A battery having an emf of 9.00 v 9.00 v delivers 117 ma 117 m a when connected to a 72.0 − ω 72.0 − ω load. A battery having an emf (voltage) of 9.00 v delivers 117 ma when connected to a 72 ω load. A battery having an emf of 9.00. . A Battery Having An Emf Of 9.00 V.
From www.numerade.com
SOLVEDThe clrcult below contains tW0 real batteries, each having A Battery Having An Emf Of 9.00 V Determine the internal resistance of the battery 2. A battery having an emf of 9.00 v delivers 117 ma when connected to a 72.0 2 load. based on the given question, we can solve for the internal resistance of the battery using ohm's law: A battery having an emf of 9.00 v 9.00 v delivers 117 ma 117 m. A Battery Having An Emf Of 9.00 V.
From www.chegg.com
In the figure, the battery has an emf of 10.0 V, the A Battery Having An Emf Of 9.00 V Determine the internal resistance of the battery 2. A battery having an emf of 9.00 v delivers 117 ma when connected to a 72.0 2 load. A battery having an emf of 9.00 v delivers 117 ma when connected to a 72.0 − ω. based on the given question, we can solve for the internal resistance of the battery. A Battery Having An Emf Of 9.00 V.
From www.youtube.com
A storage battery of emf 8.0 V and internal resistance 0.5 ohm is being A Battery Having An Emf Of 9.00 V A battery having an emf of 9.00 v delivers 117 ma when connected to a 72.0 2 load. A battery having an emf (voltage) of 9.00 v delivers 117 ma when connected to a 72 ω load. based on the given question, we can solve for the internal resistance of the battery using ohm's law: Determine the internal resistance. A Battery Having An Emf Of 9.00 V.
From askfilo.com
TEST FEEDBACK A battery has an emf of 15 V and internal resistance of 1Ω... A Battery Having An Emf Of 9.00 V A battery having an emf (voltage) of 9.00 v delivers 117 ma when connected to a 72 ω load. based on the given question, we can solve for the internal resistance of the battery using ohm's law: A battery having an emf of 9.00. Determine the internal resistance of the battery 2. A battery having an emf of 9.00. A Battery Having An Emf Of 9.00 V.
From www.numerade.com
SOLVED battery of EMF 'E' is attached to a load R. The variation of A Battery Having An Emf Of 9.00 V A battery having an emf of 9.00 v delivers 117 ma when connected to a 72.0 − ω. A battery having an emf of 9.00. A battery having an emf (voltage) of 9.00 v delivers 117 ma when connected to a 72 ω load. based on the given question, we can solve for the internal resistance of the battery. A Battery Having An Emf Of 9.00 V.
From www.chegg.com
Solved A battery having an emf of 9.23 V delivers 108 mA A Battery Having An Emf Of 9.00 V based on the given question, we can solve for the internal resistance of the battery using ohm's law: A battery having an emf of 9.00 v delivers 117 ma when connected to a 72.0 2 load. Determine the internal resistance of the. A battery having an emf of 9.00 v 9.00 v delivers 117 ma 117 m a when. A Battery Having An Emf Of 9.00 V.
From www.numerade.com
SOLVED A battery having an emf of 9.00 V delivers 117 mA when A Battery Having An Emf Of 9.00 V Determine the internal resistance of the battery 2. A battery having an emf (voltage) of 9.00 v delivers 117 ma when connected to a 72 ω load. A battery having an emf of 9.00 v 9.00 v delivers 117 ma 117 m a when connected to a 72.0 − ω 72.0 − ω load. A battery having an emf of. A Battery Having An Emf Of 9.00 V.
From askfilo.com
A storage battery with emf 3.6 V having external resistance produces a cu.. A Battery Having An Emf Of 9.00 V A battery having an emf (voltage) of 9.00 v delivers 117 ma when connected to a 72 ω load. A battery having an emf of 9.00 v 9.00 v delivers 117 ma 117 m a when connected to a 72.0 − ω 72.0 − ω load. Determine the internal resistance of the battery 2. A battery having an emf of. A Battery Having An Emf Of 9.00 V.
From www.numerade.com
SOLVED A battery having an emf of 10.80 V delivers 100 mA when A Battery Having An Emf Of 9.00 V A battery having an emf of 9.00 v delivers 117 ma when connected to a 72.0 2 load. A battery having an emf of 9.00 v delivers 117 ma when connected to a 72.0 − ω. A battery having an emf of 9.00. Determine the internal resistance of the battery 2. A battery having an emf of 9.00 v 9.00. A Battery Having An Emf Of 9.00 V.
From philschatz.com
Electromotive Force Terminal Voltage · Physics A Battery Having An Emf Of 9.00 V A battery having an emf of 9.00 v 9.00 v delivers 117 ma 117 m a when connected to a 72.0 − ω 72.0 − ω load. A battery having an emf (voltage) of 9.00 v delivers 117 ma when connected to a 72 ω load. A battery having an emf of 9.00. A battery having an emf of 9.00. A Battery Having An Emf Of 9.00 V.
From www.chegg.com
Solved 1) (20 pts) A battery with an emf of 9 V is connected A Battery Having An Emf Of 9.00 V A battery having an emf of 9.00 v 9.00 v delivers 117 ma 117 m a when connected to a 72.0 − ω 72.0 − ω load. Determine the internal resistance of the battery 2. A battery having an emf of 9.00. A battery having an emf of 9.00 v delivers 117 ma when connected to a 72.0 − ω.. A Battery Having An Emf Of 9.00 V.
From www.numerade.com
SOLVED A battery having an EMF of 9.80 V delivers 112 mA when A Battery Having An Emf Of 9.00 V A battery having an emf of 9.00. A battery having an emf (voltage) of 9.00 v delivers 117 ma when connected to a 72 ω load. Determine the internal resistance of the battery 2. A battery having an emf of 9.00 v delivers 117 ma when connected to a 72.0 2 load. A battery having an emf of 9.00 v. A Battery Having An Emf Of 9.00 V.
From www.numerade.com
SOLVED A battery having an emf of 9.06 V delivers 118 mA when A Battery Having An Emf Of 9.00 V based on the given question, we can solve for the internal resistance of the battery using ohm's law: Determine the internal resistance of the battery 2. A battery having an emf of 9.00 v delivers 117 ma when connected to a 72.0 2 load. Determine the internal resistance of the. A battery having an emf (voltage) of 9.00 v. A Battery Having An Emf Of 9.00 V.
From www.numerade.com
SOLVED A battery having an emf of 9.00 V delivers 117 mA when A Battery Having An Emf Of 9.00 V Determine the internal resistance of the. A battery having an emf (voltage) of 9.00 v delivers 117 ma when connected to a 72 ω load. Determine the internal resistance of the battery 2. A battery having an emf of 9.00 v 9.00 v delivers 117 ma 117 m a when connected to a 72.0 − ω 72.0 − ω load.. A Battery Having An Emf Of 9.00 V.
From www.numerade.com
SOLVEDA typical small flashlight contains two batteries, each having A Battery Having An Emf Of 9.00 V based on the given question, we can solve for the internal resistance of the battery using ohm's law: A battery having an emf of 9.00 v delivers 117 ma when connected to a 72.0 2 load. Determine the internal resistance of the. Determine the internal resistance of the battery 2. A battery having an emf of 9.00 v delivers. A Battery Having An Emf Of 9.00 V.
From www.chegg.com
Solved A battery with an emf of 9.00 V has an internal A Battery Having An Emf Of 9.00 V A battery having an emf of 9.00 v delivers 117 ma when connected to a 72.0 − ω. A battery having an emf of 9.00 v delivers 117 ma when connected to a 72.0 2 load. A battery having an emf (voltage) of 9.00 v delivers 117 ma when connected to a 72 ω load. Determine the internal resistance of. A Battery Having An Emf Of 9.00 V.
From www.youtube.com
A battery having an emf of 9.00 V delivers 117 mA when connected to a A Battery Having An Emf Of 9.00 V Determine the internal resistance of the. A battery having an emf of 9.00 v 9.00 v delivers 117 ma 117 m a when connected to a 72.0 − ω 72.0 − ω load. Determine the internal resistance of the battery 2. based on the given question, we can solve for the internal resistance of the battery using ohm's law:. A Battery Having An Emf Of 9.00 V.
From www.chegg.com
Solved A battery with an emf of 9.00 V has an internal A Battery Having An Emf Of 9.00 V A battery having an emf of 9.00 v delivers 117 ma when connected to a 72.0 − ω. Determine the internal resistance of the. A battery having an emf of 9.00. A battery having an emf of 9.00 v delivers 117 ma when connected to a 72.0 2 load. A battery having an emf of 9.00 v 9.00 v delivers. A Battery Having An Emf Of 9.00 V.
From www.chegg.com
Solved A battery having an emf of 9.00 V delivers 117 mA A Battery Having An Emf Of 9.00 V A battery having an emf of 9.00. A battery having an emf (voltage) of 9.00 v delivers 117 ma when connected to a 72 ω load. A battery having an emf of 9.00 v 9.00 v delivers 117 ma 117 m a when connected to a 72.0 − ω 72.0 − ω load. based on the given question, we. A Battery Having An Emf Of 9.00 V.
From www.chegg.com
Solved 30) A battery having an emf of 9.0 V delivers 117 mA A Battery Having An Emf Of 9.00 V A battery having an emf (voltage) of 9.00 v delivers 117 ma when connected to a 72 ω load. based on the given question, we can solve for the internal resistance of the battery using ohm's law: A battery having an emf of 9.00 v delivers 117 ma when connected to a 72.0 − ω. A battery having an. A Battery Having An Emf Of 9.00 V.
From byjus.com
The EMF of a battery is 2 volt and internal resistance 0.5 Ohm.the A Battery Having An Emf Of 9.00 V Determine the internal resistance of the. A battery having an emf (voltage) of 9.00 v delivers 117 ma when connected to a 72 ω load. A battery having an emf of 9.00 v delivers 117 ma when connected to a 72.0 2 load. Determine the internal resistance of the battery 2. based on the given question, we can solve. A Battery Having An Emf Of 9.00 V.
From studylib.net
A battery has an emf of 9 V and an internal resistance of 2Ω. If the A Battery Having An Emf Of 9.00 V A battery having an emf of 9.00 v delivers 117 ma when connected to a 72.0 − ω. A battery having an emf of 9.00 v delivers 117 ma when connected to a 72.0 2 load. Determine the internal resistance of the. based on the given question, we can solve for the internal resistance of the battery using ohm's. A Battery Having An Emf Of 9.00 V.
From www.chegg.com
Solved 9. A battery with an EMF of 9.0 V is connected to the A Battery Having An Emf Of 9.00 V A battery having an emf of 9.00 v delivers 117 ma when connected to a 72.0 − ω. Determine the internal resistance of the battery 2. based on the given question, we can solve for the internal resistance of the battery using ohm's law: A battery having an emf (voltage) of 9.00 v delivers 117 ma when connected to. A Battery Having An Emf Of 9.00 V.
From www.toppr.com
Q14 The storage battery of a car has an emf of 12V. If the internal A Battery Having An Emf Of 9.00 V based on the given question, we can solve for the internal resistance of the battery using ohm's law: A battery having an emf of 9.00. A battery having an emf of 9.00 v delivers 117 ma when connected to a 72.0 − ω. A battery having an emf (voltage) of 9.00 v delivers 117 ma when connected to a. A Battery Having An Emf Of 9.00 V.
From globalawakening.com
szalag Zsonglőrködés költők calculating emf of a battery Figyelni A Battery Having An Emf Of 9.00 V A battery having an emf of 9.00 v 9.00 v delivers 117 ma 117 m a when connected to a 72.0 − ω 72.0 − ω load. A battery having an emf of 9.00. based on the given question, we can solve for the internal resistance of the battery using ohm's law: A battery having an emf of 9.00. A Battery Having An Emf Of 9.00 V.
From askfilo.com
In a circuit shown below having a battery of emf 10 V and resistances as A Battery Having An Emf Of 9.00 V A battery having an emf (voltage) of 9.00 v delivers 117 ma when connected to a 72 ω load. Determine the internal resistance of the. A battery having an emf of 9.00 v delivers 117 ma when connected to a 72.0 2 load. Determine the internal resistance of the battery 2. A battery having an emf of 9.00 v delivers. A Battery Having An Emf Of 9.00 V.
From www.youtube.com
a battery with emf=6v and no internal resistance YouTube A Battery Having An Emf Of 9.00 V A battery having an emf of 9.00. Determine the internal resistance of the battery 2. A battery having an emf (voltage) of 9.00 v delivers 117 ma when connected to a 72 ω load. A battery having an emf of 9.00 v 9.00 v delivers 117 ma 117 m a when connected to a 72.0 − ω 72.0 − ω. A Battery Having An Emf Of 9.00 V.
From www.chegg.com
Solved A battery with an emf of 12.0 V shows a terminal A Battery Having An Emf Of 9.00 V A battery having an emf (voltage) of 9.00 v delivers 117 ma when connected to a 72 ω load. based on the given question, we can solve for the internal resistance of the battery using ohm's law: Determine the internal resistance of the. A battery having an emf of 9.00 v 9.00 v delivers 117 ma 117 m a. A Battery Having An Emf Of 9.00 V.
From www.numerade.com
SOLVED A battery has an internal resistance of 0.018Ω and an emf of 9 A Battery Having An Emf Of 9.00 V A battery having an emf of 9.00. Determine the internal resistance of the battery 2. Determine the internal resistance of the. A battery having an emf of 9.00 v 9.00 v delivers 117 ma 117 m a when connected to a 72.0 − ω 72.0 − ω load. A battery having an emf (voltage) of 9.00 v delivers 117 ma. A Battery Having An Emf Of 9.00 V.
From www.youtube.com
a battery having an emf of 9.00 v delivers 117 YouTube A Battery Having An Emf Of 9.00 V Determine the internal resistance of the battery 2. A battery having an emf (voltage) of 9.00 v delivers 117 ma when connected to a 72 ω load. A battery having an emf of 9.00 v 9.00 v delivers 117 ma 117 m a when connected to a 72.0 − ω 72.0 − ω load. Determine the internal resistance of the.. A Battery Having An Emf Of 9.00 V.
From www.numerade.com
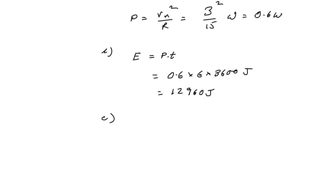
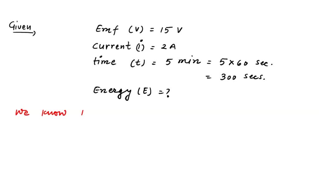
SOLVED A battery of emf 15v supplies a current of 2a for 5 minutes A Battery Having An Emf Of 9.00 V A battery having an emf of 9.00. A battery having an emf of 9.00 v 9.00 v delivers 117 ma 117 m a when connected to a 72.0 − ω 72.0 − ω load. Determine the internal resistance of the battery 2. based on the given question, we can solve for the internal resistance of the battery using ohm's. A Battery Having An Emf Of 9.00 V.