How To Get My Sat Scores From 2017 . Interpret the details in your score and score insights online. Your act score will be a two digit number from 0 to 36. View your sat scores and score report from your college board account. We go through each of these in more detail below. There are a couple of ways you can get old sat scores from the college board. The college board, the organization responsible for the sat, maintains. Visit the college board website (collegeboard.org) and log in to your account. Send scores to colleges or other. The approximate date of the exam or when you. Note that you cannot send old sat scores via your online. Your full name used during the test. Your sat score will be a three or four digit score between 600 and 2400. To initiate the score retrieval process, you’ll need some essential information: Once your scores are ready, you'll be able to access them in a detailed online score report from within your college board account. Yes, you can access your sat scores from years ago.
from crackamerica.com
Send scores to colleges or other. The college board, the organization responsible for the sat, maintains. We go through each of these in more detail below. View your sat scores and score report from your college board account. Remember which college admissions test you took: To find your past sat scores, just follow these steps: The approximate date of the exam or when you. Visit the college board website (collegeboard.org) and log in to your account. Yes, you can access your sat scores from years ago. Your full name used during the test.
SAT score release When and how to access your scores? CrackAmerica
How To Get My Sat Scores From 2017 Send scores to colleges or other. To find your past sat scores, just follow these steps: Your act score will be a two digit number from 0 to 36. Note that you cannot send old sat scores via your online. Finding your old sat scores only takes a few steps. Send scores to colleges or other. The college board, the organization responsible for the sat, maintains. Yes, you can access your sat scores from years ago. Your full name used during the test. To initiate the score retrieval process, you’ll need some essential information: View your sat scores and score report from your college board account. Remember which college admissions test you took: We go through each of these in more detail below. The approximate date of the exam or when you. There are a couple of ways you can get old sat scores from the college board. Once your scores are ready, you'll be able to access them in a detailed online score report from within your college board account.
From www.daischina.org
Secondary Academic Results, SAT and AP Scores How To Get My Sat Scores From 2017 There are a couple of ways you can get old sat scores from the college board. Your act score will be a two digit number from 0 to 36. We go through each of these in more detail below. To find your past sat scores, just follow these steps: The college board, the organization responsible for the sat, maintains. View. How To Get My Sat Scores From 2017.
From www.saycampuslife.com
How to Send Your SAT Scores to Colleges SayCampusLife Campus News How To Get My Sat Scores From 2017 Yes, you can access your sat scores from years ago. Your full name used during the test. Once your scores are ready, you'll be able to access them in a detailed online score report from within your college board account. Send scores to colleges or other. To initiate the score retrieval process, you’ll need some essential information: Finding your old. How To Get My Sat Scores From 2017.
From www.collegeadvisor.com
What is a good SAT score, ACT score, and PSAT score? Best Info How To Get My Sat Scores From 2017 To initiate the score retrieval process, you’ll need some essential information: Note that you cannot send old sat scores via your online. Interpret the details in your score and score insights online. Your full name used during the test. To find your past sat scores, just follow these steps: We go through each of these in more detail below. Your. How To Get My Sat Scores From 2017.
From www.forbest.com
How do you calculate SAT scores? Feed SSAT TutoringSAT TutoringAP How To Get My Sat Scores From 2017 Interpret the details in your score and score insights online. The college board, the organization responsible for the sat, maintains. Yes, you can access your sat scores from years ago. View your sat scores and score report from your college board account. Visit the college board website (collegeboard.org) and log in to your account. Remember which college admissions test you. How To Get My Sat Scores From 2017.
From exocbhvtm.blob.core.windows.net
How To Get My Sat Scores From 2009 at Ryan Rodriquez blog How To Get My Sat Scores From 2017 The approximate date of the exam or when you. Your full name used during the test. To find your past sat scores, just follow these steps: Interpret the details in your score and score insights online. Your act score will be a two digit number from 0 to 36. We go through each of these in more detail below. Note. How To Get My Sat Scores From 2017.
From mavink.com
Sat Physics Score Conversion Chart How To Get My Sat Scores From 2017 View your sat scores and score report from your college board account. The approximate date of the exam or when you. The college board, the organization responsible for the sat, maintains. We go through each of these in more detail below. Finding your old sat scores only takes a few steps. Note that you cannot send old sat scores via. How To Get My Sat Scores From 2017.
From blog.naver.com
2023년에 바뀌는 SAT, 뭐가 바뀌었을까? 네이버 블로그 How To Get My Sat Scores From 2017 We go through each of these in more detail below. To find your past sat scores, just follow these steps: Your act score will be a two digit number from 0 to 36. Finding your old sat scores only takes a few steps. The college board, the organization responsible for the sat, maintains. Note that you cannot send old sat. How To Get My Sat Scores From 2017.
From testprepadvisor.com
What is the SAT out of? advisor How To Get My Sat Scores From 2017 Your sat score will be a three or four digit score between 600 and 2400. Your full name used during the test. View your sat scores and score report from your college board account. Once your scores are ready, you'll be able to access them in a detailed online score report from within your college board account. To initiate the. How To Get My Sat Scores From 2017.
From www.reddit.com
How to get my SAT admission ticket for my digital SAT from bluebook How To Get My Sat Scores From 2017 Interpret the details in your score and score insights online. The approximate date of the exam or when you. Your full name used during the test. We go through each of these in more detail below. To initiate the score retrieval process, you’ll need some essential information: Your act score will be a two digit number from 0 to 36.. How To Get My Sat Scores From 2017.
From www.reddit.com
Fixed my SAT score r/Sat How To Get My Sat Scores From 2017 To initiate the score retrieval process, you’ll need some essential information: The college board, the organization responsible for the sat, maintains. Once your scores are ready, you'll be able to access them in a detailed online score report from within your college board account. To find your past sat scores, just follow these steps: There are a couple of ways. How To Get My Sat Scores From 2017.
From www.slideserve.com
PPT How are Digital SAT scores calculated PowerPoint Presentation How To Get My Sat Scores From 2017 Your full name used during the test. Once your scores are ready, you'll be able to access them in a detailed online score report from within your college board account. Your sat score will be a three or four digit score between 600 and 2400. View your sat scores and score report from your college board account. Note that you. How To Get My Sat Scores From 2017.
From www.collegeadvisor.com
What is a good SAT score, ACT score, and PSAT score? Best Info How To Get My Sat Scores From 2017 Interpret the details in your score and score insights online. Your full name used during the test. Yes, you can access your sat scores from years ago. We go through each of these in more detail below. There are a couple of ways you can get old sat scores from the college board. Visit the college board website (collegeboard.org) and. How To Get My Sat Scores From 2017.
From www.tffn.net
How Long Does it Take to Get SAT Scores Back? Exploring the Timeline How To Get My Sat Scores From 2017 Your sat score will be a three or four digit score between 600 and 2400. Remember which college admissions test you took: There are a couple of ways you can get old sat scores from the college board. Your act score will be a two digit number from 0 to 36. Note that you cannot send old sat scores via. How To Get My Sat Scores From 2017.
From www.youtube.com
QWLTW SAT Scores YouTube How To Get My Sat Scores From 2017 Visit the college board website (collegeboard.org) and log in to your account. Yes, you can access your sat scores from years ago. Your full name used during the test. Finding your old sat scores only takes a few steps. The approximate date of the exam or when you. To initiate the score retrieval process, you’ll need some essential information: Your. How To Get My Sat Scores From 2017.
From blog.prepscholar.com
How Long Does It Take to Get SAT Scores Back? · PrepScholar How To Get My Sat Scores From 2017 View your sat scores and score report from your college board account. Finding your old sat scores only takes a few steps. Once your scores are ready, you'll be able to access them in a detailed online score report from within your college board account. We go through each of these in more detail below. Send scores to colleges or. How To Get My Sat Scores From 2017.
From sat101.co
How To Find My SAT Scores From Years Ago SAT 101 How To Get My Sat Scores From 2017 Note that you cannot send old sat scores via your online. To initiate the score retrieval process, you’ll need some essential information: Your full name used during the test. The approximate date of the exam or when you. There are a couple of ways you can get old sat scores from the college board. View your sat scores and score. How To Get My Sat Scores From 2017.
From stayinformedgroup.com
How To Calculate SAT Score All you need to know Stay Informed Group How To Get My Sat Scores From 2017 Once your scores are ready, you'll be able to access them in a detailed online score report from within your college board account. Send scores to colleges or other. To initiate the score retrieval process, you’ll need some essential information: Remember which college admissions test you took: To find your past sat scores, just follow these steps: Yes, you can. How To Get My Sat Scores From 2017.
From youreduguru.com
Are SAT scores required for specific classes? Course Requirements How To Get My Sat Scores From 2017 Visit the college board website (collegeboard.org) and log in to your account. The college board, the organization responsible for the sat, maintains. Note that you cannot send old sat scores via your online. To initiate the score retrieval process, you’ll need some essential information: To find your past sat scores, just follow these steps: View your sat scores and score. How To Get My Sat Scores From 2017.
From www.chegg.com
Solved The comparisons of Scholastic Aptitude Test (SAT) How To Get My Sat Scores From 2017 Visit the college board website (collegeboard.org) and log in to your account. To find your past sat scores, just follow these steps: Your full name used during the test. We go through each of these in more detail below. The approximate date of the exam or when you. Your sat score will be a three or four digit score between. How To Get My Sat Scores From 2017.
From www.eliteprep.com
Share Your SAT Scores — Elite Educational Institute How To Get My Sat Scores From 2017 Yes, you can access your sat scores from years ago. Once your scores are ready, you'll be able to access them in a detailed online score report from within your college board account. Your sat score will be a three or four digit score between 600 and 2400. There are a couple of ways you can get old sat scores. How To Get My Sat Scores From 2017.
From cheriybarbaraanne.pages.dev
When Will Sat Scores Be Released 2024 Release Date Berte Celisse How To Get My Sat Scores From 2017 Your sat score will be a three or four digit score between 600 and 2400. Remember which college admissions test you took: View your sat scores and score report from your college board account. Your full name used during the test. The approximate date of the exam or when you. There are a couple of ways you can get old. How To Get My Sat Scores From 2017.
From www.youtube.com
How I improved my SAT essay by 7 points tips from a 1600 scorer YouTube How To Get My Sat Scores From 2017 Finding your old sat scores only takes a few steps. To initiate the score retrieval process, you’ll need some essential information: Yes, you can access your sat scores from years ago. There are a couple of ways you can get old sat scores from the college board. The college board, the organization responsible for the sat, maintains. We go through. How To Get My Sat Scores From 2017.
From www.youtube.com
SAT Scores On The Wonder Years YouTube How To Get My Sat Scores From 2017 Note that you cannot send old sat scores via your online. Finding your old sat scores only takes a few steps. Interpret the details in your score and score insights online. Visit the college board website (collegeboard.org) and log in to your account. Once your scores are ready, you'll be able to access them in a detailed online score report. How To Get My Sat Scores From 2017.
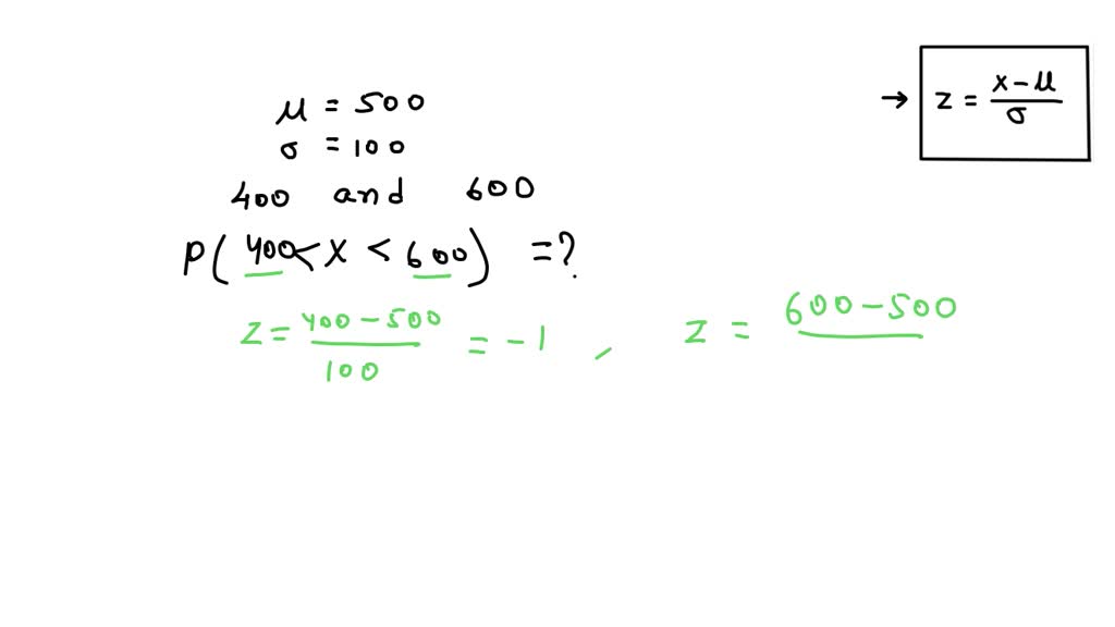
From www.numerade.com
SOLVED SAT scores have a mean of 500 and a standard deviation of 100 How To Get My Sat Scores From 2017 Finding your old sat scores only takes a few steps. To initiate the score retrieval process, you’ll need some essential information: Visit the college board website (collegeboard.org) and log in to your account. Your sat score will be a three or four digit score between 600 and 2400. There are a couple of ways you can get old sat scores. How To Get My Sat Scores From 2017.
From crackamerica.com
SAT score release When and how to access your scores? CrackAmerica How To Get My Sat Scores From 2017 Remember which college admissions test you took: Send scores to colleges or other. We go through each of these in more detail below. There are a couple of ways you can get old sat scores from the college board. Finding your old sat scores only takes a few steps. Your sat score will be a three or four digit score. How To Get My Sat Scores From 2017.
From collegeinfodesk.com
How To Get Old SAT Scores A Comprehensive Guide College Info Desk How To Get My Sat Scores From 2017 Yes, you can access your sat scores from years ago. Remember which college admissions test you took: There are a couple of ways you can get old sat scores from the college board. We go through each of these in more detail below. The approximate date of the exam or when you. The college board, the organization responsible for the. How To Get My Sat Scores From 2017.
From aftoncullen.blogspot.com
Sat score calculator 2020 AftonCullen How To Get My Sat Scores From 2017 Send scores to colleges or other. To initiate the score retrieval process, you’ll need some essential information: Visit the college board website (collegeboard.org) and log in to your account. Your act score will be a two digit number from 0 to 36. Yes, you can access your sat scores from years ago. To find your past sat scores, just follow. How To Get My Sat Scores From 2017.
From www.chegg.com
Solved The College Board provided comparisons of Scholastic How To Get My Sat Scores From 2017 Your act score will be a two digit number from 0 to 36. Note that you cannot send old sat scores via your online. To initiate the score retrieval process, you’ll need some essential information: Finding your old sat scores only takes a few steps. Remember which college admissions test you took: Visit the college board website (collegeboard.org) and log. How To Get My Sat Scores From 2017.
From twitter.com
College Board on Twitter "Scores from the October 1 SAT will be How To Get My Sat Scores From 2017 Finding your old sat scores only takes a few steps. Visit the college board website (collegeboard.org) and log in to your account. Note that you cannot send old sat scores via your online. Interpret the details in your score and score insights online. There are a couple of ways you can get old sat scores from the college board. To. How To Get My Sat Scores From 2017.
From youreduguru.com
Can't find SAT scores on College Board? Troubleshooting Tips. How To Get My Sat Scores From 2017 Finding your old sat scores only takes a few steps. Your sat score will be a three or four digit score between 600 and 2400. Visit the college board website (collegeboard.org) and log in to your account. The college board, the organization responsible for the sat, maintains. Note that you cannot send old sat scores via your online. Remember which. How To Get My Sat Scores From 2017.
From www.chegg.com
Solved The College Board provided comparisons of Scholastic How To Get My Sat Scores From 2017 Once your scores are ready, you'll be able to access them in a detailed online score report from within your college board account. Visit the college board website (collegeboard.org) and log in to your account. View your sat scores and score report from your college board account. Your full name used during the test. The approximate date of the exam. How To Get My Sat Scores From 2017.
From soflotutors.com
An Ultimate Guide To The Digital SAT Scores How To Get My Sat Scores From 2017 We go through each of these in more detail below. Visit the college board website (collegeboard.org) and log in to your account. To initiate the score retrieval process, you’ll need some essential information: Remember which college admissions test you took: Your act score will be a two digit number from 0 to 36. View your sat scores and score report. How To Get My Sat Scores From 2017.
From simplcan.com
States with the Highest and Lowest SAT Scores in 2023 / Average ACT How To Get My Sat Scores From 2017 Your full name used during the test. Once your scores are ready, you'll be able to access them in a detailed online score report from within your college board account. Yes, you can access your sat scores from years ago. Your act score will be a two digit number from 0 to 36. Remember which college admissions test you took:. How To Get My Sat Scores From 2017.
From severnvale-academy.blogspot.com
How To Get Unofficial Sat Scores Severnvale Academy How To Get My Sat Scores From 2017 To initiate the score retrieval process, you’ll need some essential information: Your sat score will be a three or four digit score between 600 and 2400. The college board, the organization responsible for the sat, maintains. Once your scores are ready, you'll be able to access them in a detailed online score report from within your college board account. View. How To Get My Sat Scores From 2017.
From www.collegetransitions.com
How To Get Old SAT Scores College Transitions How To Get My Sat Scores From 2017 We go through each of these in more detail below. Remember which college admissions test you took: Once your scores are ready, you'll be able to access them in a detailed online score report from within your college board account. The college board, the organization responsible for the sat, maintains. Visit the college board website (collegeboard.org) and log in to. How To Get My Sat Scores From 2017.