How Many Energy Levels Does Bromine Have . Bromine (br) energy levels of neutral bromine ( br i ) configuration : Electron binding energies for bromine. 4 p4 ( 3 p)5 s 4 p. 4 p5 2 p° 3 / 2 0.00 t63 1 / 2 3685.24 t63. The binding energies are quoted. Electronegativity (pauling scale) the tendency. Ionization energy chart of all the elements is given below. The energy released when an electron is added to the neutral atom and a negative ion is formed. All values of electron binding energies are given in ev. First ionization energy, second ionization energy as well as third.
from www.coursehero.com
The energy released when an electron is added to the neutral atom and a negative ion is formed. 4 p5 2 p° 3 / 2 0.00 t63 1 / 2 3685.24 t63. Bromine (br) energy levels of neutral bromine ( br i ) configuration : Ionization energy chart of all the elements is given below. First ionization energy, second ionization energy as well as third. Electronegativity (pauling scale) the tendency. The binding energies are quoted. Electron binding energies for bromine. All values of electron binding energies are given in ev. 4 p4 ( 3 p)5 s 4 p.
[Solved] Draw an energy level diagram for bromine (3 marks) Course Hero
How Many Energy Levels Does Bromine Have 4 p5 2 p° 3 / 2 0.00 t63 1 / 2 3685.24 t63. Ionization energy chart of all the elements is given below. 4 p5 2 p° 3 / 2 0.00 t63 1 / 2 3685.24 t63. First ionization energy, second ionization energy as well as third. Electron binding energies for bromine. All values of electron binding energies are given in ev. The binding energies are quoted. Bromine (br) energy levels of neutral bromine ( br i ) configuration : The energy released when an electron is added to the neutral atom and a negative ion is formed. Electronegativity (pauling scale) the tendency. 4 p4 ( 3 p)5 s 4 p.
From fphoto.photoshelter.com
science element bromine Fundamental Photographs The Art of Science How Many Energy Levels Does Bromine Have Ionization energy chart of all the elements is given below. Electron binding energies for bromine. First ionization energy, second ionization energy as well as third. The binding energies are quoted. 4 p5 2 p° 3 / 2 0.00 t63 1 / 2 3685.24 t63. 4 p4 ( 3 p)5 s 4 p. All values of electron binding energies are given. How Many Energy Levels Does Bromine Have.
From chemistryguru.com.sg
Electrophilic Addition with Aqueous Bromine How Many Energy Levels Does Bromine Have All values of electron binding energies are given in ev. Electron binding energies for bromine. First ionization energy, second ionization energy as well as third. 4 p5 2 p° 3 / 2 0.00 t63 1 / 2 3685.24 t63. Ionization energy chart of all the elements is given below. The binding energies are quoted. Bromine (br) energy levels of neutral. How Many Energy Levels Does Bromine Have.
From srkrkzbhxtdlh.blogspot.com
How Many Valence Electrons Does Bromine Have Bromine is a group viia How Many Energy Levels Does Bromine Have Electronegativity (pauling scale) the tendency. Bromine (br) energy levels of neutral bromine ( br i ) configuration : The binding energies are quoted. 4 p4 ( 3 p)5 s 4 p. All values of electron binding energies are given in ev. Ionization energy chart of all the elements is given below. 4 p5 2 p° 3 / 2 0.00 t63. How Many Energy Levels Does Bromine Have.
From diagramlisthavens.z21.web.core.windows.net
Sulfur Bohr Diagram How Many Energy Levels Does Bromine Have The binding energies are quoted. 4 p5 2 p° 3 / 2 0.00 t63 1 / 2 3685.24 t63. Bromine (br) energy levels of neutral bromine ( br i ) configuration : Electron binding energies for bromine. Ionization energy chart of all the elements is given below. 4 p4 ( 3 p)5 s 4 p. Electronegativity (pauling scale) the tendency.. How Many Energy Levels Does Bromine Have.
From www.dreamstime.com
Bromine Atom, with Mass and Energy Levels. Stock Vector Illustration How Many Energy Levels Does Bromine Have The energy released when an electron is added to the neutral atom and a negative ion is formed. All values of electron binding energies are given in ev. The binding energies are quoted. Electron binding energies for bromine. Electronegativity (pauling scale) the tendency. 4 p4 ( 3 p)5 s 4 p. Bromine (br) energy levels of neutral bromine ( br. How Many Energy Levels Does Bromine Have.
From www.istockphoto.com
Br Bromine Element Information Facts Properties Trends Uses And How Many Energy Levels Does Bromine Have All values of electron binding energies are given in ev. 4 p5 2 p° 3 / 2 0.00 t63 1 / 2 3685.24 t63. The energy released when an electron is added to the neutral atom and a negative ion is formed. Bromine (br) energy levels of neutral bromine ( br i ) configuration : Electron binding energies for bromine.. How Many Energy Levels Does Bromine Have.
From www.bsef.com
Innovation & Science BSEF How Many Energy Levels Does Bromine Have 4 p4 ( 3 p)5 s 4 p. The energy released when an electron is added to the neutral atom and a negative ion is formed. All values of electron binding energies are given in ev. Electron binding energies for bromine. Ionization energy chart of all the elements is given below. 4 p5 2 p° 3 / 2 0.00 t63. How Many Energy Levels Does Bromine Have.
From exoqqckld.blob.core.windows.net
How Many Energy Levels Are In Bromine at Frank Clemons blog How Many Energy Levels Does Bromine Have 4 p5 2 p° 3 / 2 0.00 t63 1 / 2 3685.24 t63. Ionization energy chart of all the elements is given below. Electron binding energies for bromine. Electronegativity (pauling scale) the tendency. Bromine (br) energy levels of neutral bromine ( br i ) configuration : The energy released when an electron is added to the neutral atom and. How Many Energy Levels Does Bromine Have.
From phootoscelebrities.com
How many valence electrons does bromine have? How Many Energy Levels Does Bromine Have Ionization energy chart of all the elements is given below. First ionization energy, second ionization energy as well as third. The energy released when an electron is added to the neutral atom and a negative ion is formed. 4 p5 2 p° 3 / 2 0.00 t63 1 / 2 3685.24 t63. All values of electron binding energies are given. How Many Energy Levels Does Bromine Have.
From periodictable.me
Bromine Electron Configuration (Br) with Orbital Diagram How Many Energy Levels Does Bromine Have Bromine (br) energy levels of neutral bromine ( br i ) configuration : All values of electron binding energies are given in ev. Electron binding energies for bromine. 4 p4 ( 3 p)5 s 4 p. First ionization energy, second ionization energy as well as third. The energy released when an electron is added to the neutral atom and a. How Many Energy Levels Does Bromine Have.
From fphoto.photoshelter.com
science element bromine Fundamental Photographs The Art of Science How Many Energy Levels Does Bromine Have All values of electron binding energies are given in ev. The energy released when an electron is added to the neutral atom and a negative ion is formed. 4 p4 ( 3 p)5 s 4 p. Ionization energy chart of all the elements is given below. First ionization energy, second ionization energy as well as third. Bromine (br) energy levels. How Many Energy Levels Does Bromine Have.
From periodictable.me
Bromine Electron Configuration (Br) with Orbital Diagram How Many Energy Levels Does Bromine Have Bromine (br) energy levels of neutral bromine ( br i ) configuration : The binding energies are quoted. Electron binding energies for bromine. 4 p4 ( 3 p)5 s 4 p. First ionization energy, second ionization energy as well as third. All values of electron binding energies are given in ev. 4 p5 2 p° 3 / 2 0.00 t63. How Many Energy Levels Does Bromine Have.
From ar.inspiredpencil.com
Bromine Valence Electrons How Many Energy Levels Does Bromine Have Electron binding energies for bromine. Electronegativity (pauling scale) the tendency. 4 p4 ( 3 p)5 s 4 p. The binding energies are quoted. Bromine (br) energy levels of neutral bromine ( br i ) configuration : All values of electron binding energies are given in ev. First ionization energy, second ionization energy as well as third. The energy released when. How Many Energy Levels Does Bromine Have.
From schematiclibmammees88.z22.web.core.windows.net
Bromine Lewis Dot Diagram How Many Energy Levels Does Bromine Have 4 p4 ( 3 p)5 s 4 p. 4 p5 2 p° 3 / 2 0.00 t63 1 / 2 3685.24 t63. Ionization energy chart of all the elements is given below. All values of electron binding energies are given in ev. The binding energies are quoted. Electron binding energies for bromine. Electronegativity (pauling scale) the tendency. First ionization energy,. How Many Energy Levels Does Bromine Have.
From www.coursehero.com
[Solved] Draw an energy level diagram for bromine. Course Hero How Many Energy Levels Does Bromine Have All values of electron binding energies are given in ev. Electron binding energies for bromine. Ionization energy chart of all the elements is given below. Bromine (br) energy levels of neutral bromine ( br i ) configuration : 4 p5 2 p° 3 / 2 0.00 t63 1 / 2 3685.24 t63. 4 p4 ( 3 p)5 s 4 p.. How Many Energy Levels Does Bromine Have.
From www.nuclear-power.com
Bromine Electron Affinity Electronegativity Ionization Energy of How Many Energy Levels Does Bromine Have First ionization energy, second ionization energy as well as third. The energy released when an electron is added to the neutral atom and a negative ion is formed. Ionization energy chart of all the elements is given below. Electronegativity (pauling scale) the tendency. 4 p4 ( 3 p)5 s 4 p. All values of electron binding energies are given in. How Many Energy Levels Does Bromine Have.
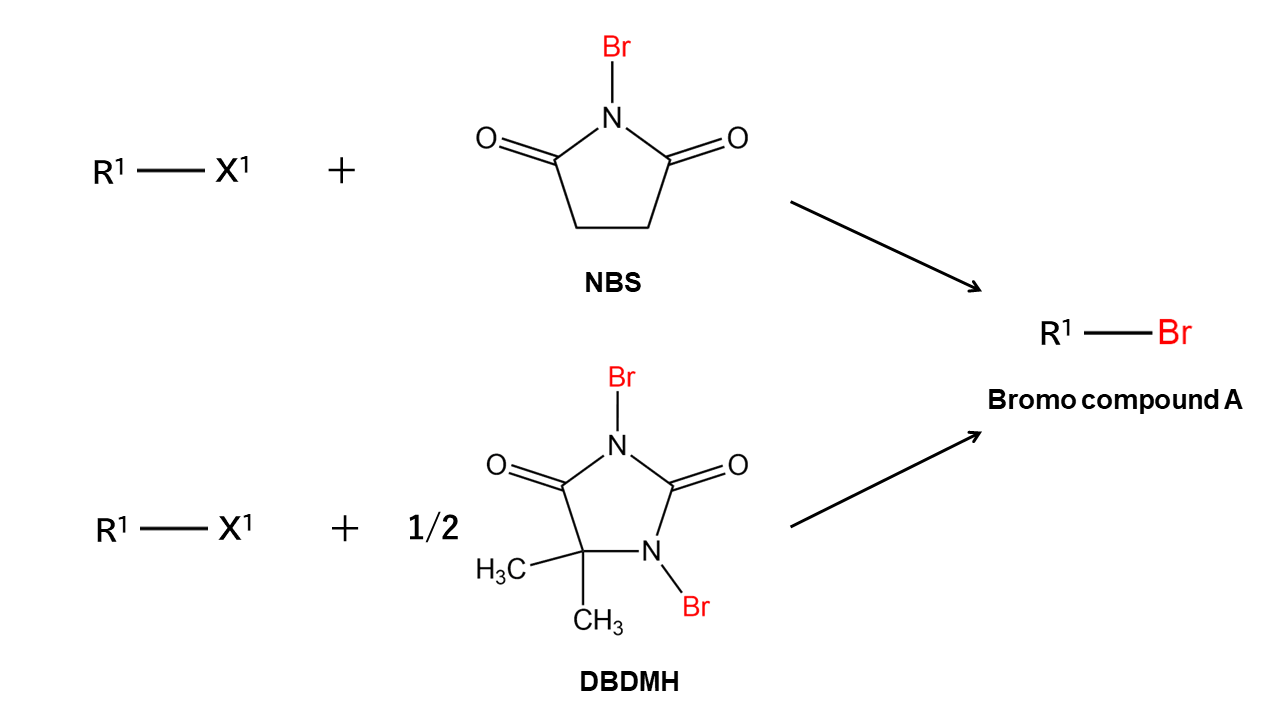
From chemia.manac-inc.co.jp
DBDMH over the requested brominating agent and How Many Energy Levels Does Bromine Have Electronegativity (pauling scale) the tendency. The energy released when an electron is added to the neutral atom and a negative ion is formed. The binding energies are quoted. Bromine (br) energy levels of neutral bromine ( br i ) configuration : 4 p5 2 p° 3 / 2 0.00 t63 1 / 2 3685.24 t63. First ionization energy, second ionization. How Many Energy Levels Does Bromine Have.
From periodictable.me
2000pxElectron_configuration_bromine.svg Dynamic Periodic Table of How Many Energy Levels Does Bromine Have Electron binding energies for bromine. The binding energies are quoted. 4 p5 2 p° 3 / 2 0.00 t63 1 / 2 3685.24 t63. All values of electron binding energies are given in ev. Electronegativity (pauling scale) the tendency. Bromine (br) energy levels of neutral bromine ( br i ) configuration : Ionization energy chart of all the elements is. How Many Energy Levels Does Bromine Have.
From www.numerade.com
SOLVED "Draw the mechanism for the bromination reaction.Pyridinium How Many Energy Levels Does Bromine Have The binding energies are quoted. Bromine (br) energy levels of neutral bromine ( br i ) configuration : First ionization energy, second ionization energy as well as third. Ionization energy chart of all the elements is given below. 4 p5 2 p° 3 / 2 0.00 t63 1 / 2 3685.24 t63. Electron binding energies for bromine. 4 p4 (. How Many Energy Levels Does Bromine Have.
From sciencing.com
Energy Level Definition, Equation (w/ Diagrams) Sciencing How Many Energy Levels Does Bromine Have All values of electron binding energies are given in ev. Electronegativity (pauling scale) the tendency. The binding energies are quoted. First ionization energy, second ionization energy as well as third. 4 p4 ( 3 p)5 s 4 p. Bromine (br) energy levels of neutral bromine ( br i ) configuration : The energy released when an electron is added to. How Many Energy Levels Does Bromine Have.
From slideplayer.com
Development of the Modern Periodic Table ppt download How Many Energy Levels Does Bromine Have First ionization energy, second ionization energy as well as third. The binding energies are quoted. The energy released when an electron is added to the neutral atom and a negative ion is formed. 4 p4 ( 3 p)5 s 4 p. Bromine (br) energy levels of neutral bromine ( br i ) configuration : 4 p5 2 p° 3 /. How Many Energy Levels Does Bromine Have.
From www.coursehero.com
[Solved] Draw an energy level diagram for bromine (3 marks) Course Hero How Many Energy Levels Does Bromine Have Electronegativity (pauling scale) the tendency. 4 p4 ( 3 p)5 s 4 p. 4 p5 2 p° 3 / 2 0.00 t63 1 / 2 3685.24 t63. The binding energies are quoted. Electron binding energies for bromine. First ionization energy, second ionization energy as well as third. The energy released when an electron is added to the neutral atom and. How Many Energy Levels Does Bromine Have.
From periodictable.me
Bromine Valence Electrons Bromine Valency (Br) Dot Diagram How Many Energy Levels Does Bromine Have 4 p4 ( 3 p)5 s 4 p. Bromine (br) energy levels of neutral bromine ( br i ) configuration : The energy released when an electron is added to the neutral atom and a negative ion is formed. First ionization energy, second ionization energy as well as third. Electron binding energies for bromine. Electronegativity (pauling scale) the tendency. Ionization. How Many Energy Levels Does Bromine Have.
From valenceelectrons.com
How Many Valence Electrons Does Bromine (Br) Have? How Many Energy Levels Does Bromine Have All values of electron binding energies are given in ev. The energy released when an electron is added to the neutral atom and a negative ion is formed. Bromine (br) energy levels of neutral bromine ( br i ) configuration : Ionization energy chart of all the elements is given below. Electron binding energies for bromine. 4 p5 2 p°. How Many Energy Levels Does Bromine Have.
From www.museoinclusivo.com
Exploring How Many Energy Levels Does Aluminum Have Aluminum Profile Blog How Many Energy Levels Does Bromine Have Ionization energy chart of all the elements is given below. Electron binding energies for bromine. First ionization energy, second ionization energy as well as third. All values of electron binding energies are given in ev. Electronegativity (pauling scale) the tendency. Bromine (br) energy levels of neutral bromine ( br i ) configuration : 4 p5 2 p° 3 / 2. How Many Energy Levels Does Bromine Have.
From smk-tpz-web-api-1325663342.ap-south-1.elb.amazonaws.com
Periodic Table Element Comparison Compare Sulfur vs Vanadium How Many Energy Levels Does Bromine Have Electron binding energies for bromine. First ionization energy, second ionization energy as well as third. 4 p5 2 p° 3 / 2 0.00 t63 1 / 2 3685.24 t63. 4 p4 ( 3 p)5 s 4 p. Electronegativity (pauling scale) the tendency. Ionization energy chart of all the elements is given below. Bromine (br) energy levels of neutral bromine (. How Many Energy Levels Does Bromine Have.
From material-properties.org
Bromine Periodic Table and Atomic Properties How Many Energy Levels Does Bromine Have The binding energies are quoted. Ionization energy chart of all the elements is given below. First ionization energy, second ionization energy as well as third. Electron binding energies for bromine. 4 p5 2 p° 3 / 2 0.00 t63 1 / 2 3685.24 t63. All values of electron binding energies are given in ev. Electronegativity (pauling scale) the tendency. 4. How Many Energy Levels Does Bromine Have.
From material-properties.org
Bromine Periodic Table and Atomic Properties How Many Energy Levels Does Bromine Have 4 p5 2 p° 3 / 2 0.00 t63 1 / 2 3685.24 t63. First ionization energy, second ionization energy as well as third. The binding energies are quoted. All values of electron binding energies are given in ev. Ionization energy chart of all the elements is given below. Electron binding energies for bromine. Electronegativity (pauling scale) the tendency. The. How Many Energy Levels Does Bromine Have.
From www.masterorganicchemistry.com
Bromination of alkenes with Br2 to give dibromides Master Organic How Many Energy Levels Does Bromine Have First ionization energy, second ionization energy as well as third. The energy released when an electron is added to the neutral atom and a negative ion is formed. The binding energies are quoted. 4 p5 2 p° 3 / 2 0.00 t63 1 / 2 3685.24 t63. Bromine (br) energy levels of neutral bromine ( br i ) configuration :. How Many Energy Levels Does Bromine Have.
From sciencenotes.org
Bromine Facts Atomic Number 35 and Element Symbol Br How Many Energy Levels Does Bromine Have Ionization energy chart of all the elements is given below. The binding energies are quoted. 4 p5 2 p° 3 / 2 0.00 t63 1 / 2 3685.24 t63. The energy released when an electron is added to the neutral atom and a negative ion is formed. All values of electron binding energies are given in ev. 4 p4 (. How Many Energy Levels Does Bromine Have.
From www.chemistrylearner.com
Bromine Facts, Symbol, Discovery, Properties, Uses How Many Energy Levels Does Bromine Have Electronegativity (pauling scale) the tendency. Electron binding energies for bromine. The energy released when an electron is added to the neutral atom and a negative ion is formed. All values of electron binding energies are given in ev. The binding energies are quoted. 4 p5 2 p° 3 / 2 0.00 t63 1 / 2 3685.24 t63. Ionization energy chart. How Many Energy Levels Does Bromine Have.
From achievetampabay.org
How Much Does Bromine Weigh? New How Many Energy Levels Does Bromine Have 4 p5 2 p° 3 / 2 0.00 t63 1 / 2 3685.24 t63. First ionization energy, second ionization energy as well as third. Bromine (br) energy levels of neutral bromine ( br i ) configuration : Electronegativity (pauling scale) the tendency. The binding energies are quoted. Electron binding energies for bromine. The energy released when an electron is added. How Many Energy Levels Does Bromine Have.
From www.alamy.com
Symbol and electron diagram for Bromine illustration Stock Vector Image How Many Energy Levels Does Bromine Have First ionization energy, second ionization energy as well as third. The binding energies are quoted. Ionization energy chart of all the elements is given below. 4 p4 ( 3 p)5 s 4 p. All values of electron binding energies are given in ev. The energy released when an electron is added to the neutral atom and a negative ion is. How Many Energy Levels Does Bromine Have.
From www.alamy.com
Bromine (Br). Diagram of the nuclear composition, electron How Many Energy Levels Does Bromine Have Bromine (br) energy levels of neutral bromine ( br i ) configuration : 4 p4 ( 3 p)5 s 4 p. First ionization energy, second ionization energy as well as third. All values of electron binding energies are given in ev. Electron binding energies for bromine. Ionization energy chart of all the elements is given below. The binding energies are. How Many Energy Levels Does Bromine Have.
From lets-talk-bromine.bsef.com
Bromine. Let’s talk bromine applications, benefits and technologies How Many Energy Levels Does Bromine Have Electronegativity (pauling scale) the tendency. 4 p4 ( 3 p)5 s 4 p. The binding energies are quoted. Electron binding energies for bromine. Bromine (br) energy levels of neutral bromine ( br i ) configuration : All values of electron binding energies are given in ev. 4 p5 2 p° 3 / 2 0.00 t63 1 / 2 3685.24 t63.. How Many Energy Levels Does Bromine Have.