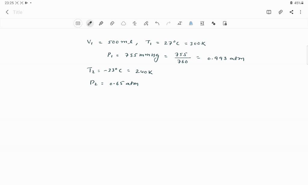
Combined Gas Law Problem A Balloon Is Filled With 500.0 Ml . As the balloon rises in. What volume, in milliliters, will it. A balloon is filled with 500.0 ml of helium at a temperature of 27â°c and 755 mm hg. As the balloon rises in the. Q.12 combined gas law problem: A balloon is filled with 500.0 ml of helium at a temperature of 27 degrees celsius and 755 mmhg. What volume, in milliliters, will it have when it. A balloon is filled with 500.0 ml of helium at a temperature of 27 and 755 mm hg. A balloon is filled with 500.0 ml of helium at a temperature of 27â°c and 755 mmhg. Understanding the combined gas law:. A balloon is filled with 500.0 ml of helium at a temperature of 27 degreec and 755 mmhg. The formula for the combined gas law is used to solve for the final volume (v2) of the helium in the balloon.
from studylib.net
As the balloon rises in the. A balloon is filled with 500.0 ml of helium at a temperature of 27 degrees celsius and 755 mmhg. What volume, in milliliters, will it have when it. A balloon is filled with 500.0 ml of helium at a temperature of 27 and 755 mm hg. Q.12 combined gas law problem: A balloon is filled with 500.0 ml of helium at a temperature of 27â°c and 755 mmhg. A balloon is filled with 500.0 ml of helium at a temperature of 27â°c and 755 mm hg. As the balloon rises in. A balloon is filled with 500.0 ml of helium at a temperature of 27 degreec and 755 mmhg. Understanding the combined gas law:.
WS 3 Combined Gas Law Problems for SY 13 14a
Combined Gas Law Problem A Balloon Is Filled With 500.0 Ml Q.12 combined gas law problem: What volume, in milliliters, will it. As the balloon rises in the. Understanding the combined gas law:. As the balloon rises in. A balloon is filled with 500.0 ml of helium at a temperature of 27 and 755 mm hg. A balloon is filled with 500.0 ml of helium at a temperature of 27 degreec and 755 mmhg. A balloon is filled with 500.0 ml of helium at a temperature of 27â°c and 755 mmhg. The formula for the combined gas law is used to solve for the final volume (v2) of the helium in the balloon. What volume, in milliliters, will it have when it. A balloon is filled with 500.0 ml of helium at a temperature of 27 degrees celsius and 755 mmhg. Q.12 combined gas law problem: A balloon is filled with 500.0 ml of helium at a temperature of 27â°c and 755 mm hg.
From learningclignensembleu9.z22.web.core.windows.net
Combined Gas Law Explained Combined Gas Law Problem A Balloon Is Filled With 500.0 Ml A balloon is filled with 500.0 ml of helium at a temperature of 27 degrees celsius and 755 mmhg. A balloon is filled with 500.0 ml of helium at a temperature of 27 and 755 mm hg. As the balloon rises in. A balloon is filled with 500.0 ml of helium at a temperature of 27â°c and 755 mm hg.. Combined Gas Law Problem A Balloon Is Filled With 500.0 Ml.
From www.slideserve.com
PPT Gases PowerPoint Presentation, free download ID4326922 Combined Gas Law Problem A Balloon Is Filled With 500.0 Ml As the balloon rises in. A balloon is filled with 500.0 ml of helium at a temperature of 27â°c and 755 mmhg. A balloon is filled with 500.0 ml of helium at a temperature of 27 degreec and 755 mmhg. What volume, in milliliters, will it have when it. A balloon is filled with 500.0 ml of helium at a. Combined Gas Law Problem A Balloon Is Filled With 500.0 Ml.
From www.slideshare.net
Chapter 10.3 The Gas Laws Combined Gas Law Problem A Balloon Is Filled With 500.0 Ml The formula for the combined gas law is used to solve for the final volume (v2) of the helium in the balloon. Q.12 combined gas law problem: A balloon is filled with 500.0 ml of helium at a temperature of 27 degrees celsius and 755 mmhg. Understanding the combined gas law:. A balloon is filled with 500.0 ml of helium. Combined Gas Law Problem A Balloon Is Filled With 500.0 Ml.
From studylib.net
WS 3 Combined Gas Law Problems for SY 13 14a Combined Gas Law Problem A Balloon Is Filled With 500.0 Ml A balloon is filled with 500.0 ml of helium at a temperature of 27â°c and 755 mmhg. Understanding the combined gas law:. A balloon is filled with 500.0 ml of helium at a temperature of 27 degreec and 755 mmhg. As the balloon rises in. A balloon is filled with 500.0 ml of helium at a temperature of 27 and. Combined Gas Law Problem A Balloon Is Filled With 500.0 Ml.
From www.studypool.com
SOLUTION Combined gas law equations Studypool Combined Gas Law Problem A Balloon Is Filled With 500.0 Ml What volume, in milliliters, will it have when it. The formula for the combined gas law is used to solve for the final volume (v2) of the helium in the balloon. What volume, in milliliters, will it. Understanding the combined gas law:. A balloon is filled with 500.0 ml of helium at a temperature of 27 degreec and 755 mmhg.. Combined Gas Law Problem A Balloon Is Filled With 500.0 Ml.
From www.slideshare.net
Notes gas laws Combined Gas Law Problem A Balloon Is Filled With 500.0 Ml A balloon is filled with 500.0 ml of helium at a temperature of 27 and 755 mm hg. A balloon is filled with 500.0 ml of helium at a temperature of 27â°c and 755 mm hg. Understanding the combined gas law:. As the balloon rises in. What volume, in milliliters, will it. A balloon is filled with 500.0 ml of. Combined Gas Law Problem A Balloon Is Filled With 500.0 Ml.
From www.numerade.com
SOLVED Combined gas law problem A balloon filled with 500.0 mL of Combined Gas Law Problem A Balloon Is Filled With 500.0 Ml As the balloon rises in. A balloon is filled with 500.0 ml of helium at a temperature of 27 and 755 mm hg. What volume, in milliliters, will it have when it. The formula for the combined gas law is used to solve for the final volume (v2) of the helium in the balloon. What volume, in milliliters, will it.. Combined Gas Law Problem A Balloon Is Filled With 500.0 Ml.
From studylib.net
Combined Gas Law Problems Combined Gas Law Problem A Balloon Is Filled With 500.0 Ml What volume, in milliliters, will it have when it. As the balloon rises in. As the balloon rises in the. A balloon is filled with 500.0 ml of helium at a temperature of 27â°c and 755 mm hg. Understanding the combined gas law:. A balloon is filled with 500.0 ml of helium at a temperature of 27 degreec and 755. Combined Gas Law Problem A Balloon Is Filled With 500.0 Ml.
From slideplayer.com
Combined Gas Law Equation Problems ppt download Combined Gas Law Problem A Balloon Is Filled With 500.0 Ml What volume, in milliliters, will it. As the balloon rises in the. A balloon is filled with 500.0 ml of helium at a temperature of 27 and 755 mm hg. Q.12 combined gas law problem: A balloon is filled with 500.0 ml of helium at a temperature of 27â°c and 755 mm hg. What volume, in milliliters, will it have. Combined Gas Law Problem A Balloon Is Filled With 500.0 Ml.
From www.showme.com
W34D4 combined gas law examples Science, Chemistry, Gases ShowMe Combined Gas Law Problem A Balloon Is Filled With 500.0 Ml As the balloon rises in the. A balloon is filled with 500.0 ml of helium at a temperature of 27â°c and 755 mm hg. The formula for the combined gas law is used to solve for the final volume (v2) of the helium in the balloon. Q.12 combined gas law problem: Understanding the combined gas law:. What volume, in milliliters,. Combined Gas Law Problem A Balloon Is Filled With 500.0 Ml.
From worksheetlibmasten.z13.web.core.windows.net
Combined Gas Law Explained Combined Gas Law Problem A Balloon Is Filled With 500.0 Ml What volume, in milliliters, will it have when it. A balloon is filled with 500.0 ml of helium at a temperature of 27 and 755 mm hg. A balloon is filled with 500.0 ml of helium at a temperature of 27â°c and 755 mmhg. What volume, in milliliters, will it. As the balloon rises in. As the balloon rises in. Combined Gas Law Problem A Balloon Is Filled With 500.0 Ml.
From printablefullnaiad.z19.web.core.windows.net
Sample Problem Of Combined Gas Law Combined Gas Law Problem A Balloon Is Filled With 500.0 Ml Q.12 combined gas law problem: A balloon is filled with 500.0 ml of helium at a temperature of 27 and 755 mm hg. A balloon is filled with 500.0 ml of helium at a temperature of 27 degrees celsius and 755 mmhg. The formula for the combined gas law is used to solve for the final volume (v2) of the. Combined Gas Law Problem A Balloon Is Filled With 500.0 Ml.
From slidetodoc.com
The Combined Gas Law The Combined Gas Law Combined Gas Law Problem A Balloon Is Filled With 500.0 Ml A balloon is filled with 500.0 ml of helium at a temperature of 27â°c and 755 mm hg. What volume, in milliliters, will it. A balloon is filled with 500.0 ml of helium at a temperature of 27â°c and 755 mmhg. Q.12 combined gas law problem: What volume, in milliliters, will it have when it. The formula for the combined. Combined Gas Law Problem A Balloon Is Filled With 500.0 Ml.
From www.chegg.com
Solved Gas Laws Weather Balloon A balloon filled with 0.25 Combined Gas Law Problem A Balloon Is Filled With 500.0 Ml A balloon is filled with 500.0 ml of helium at a temperature of 27â°c and 755 mmhg. What volume, in milliliters, will it have when it. Understanding the combined gas law:. The formula for the combined gas law is used to solve for the final volume (v2) of the helium in the balloon. As the balloon rises in the. What. Combined Gas Law Problem A Balloon Is Filled With 500.0 Ml.
From www.youtube.com
Chem 143 Algebra For Combined Gas Law Problems YouTube Combined Gas Law Problem A Balloon Is Filled With 500.0 Ml A balloon is filled with 500.0 ml of helium at a temperature of 27â°c and 755 mmhg. A balloon is filled with 500.0 ml of helium at a temperature of 27â°c and 755 mm hg. As the balloon rises in the. What volume, in milliliters, will it have when it. The formula for the combined gas law is used to. Combined Gas Law Problem A Balloon Is Filled With 500.0 Ml.
From www.slideserve.com
PPT The Gas Laws PowerPoint Presentation, free download ID5763508 Combined Gas Law Problem A Balloon Is Filled With 500.0 Ml A balloon is filled with 500.0 ml of helium at a temperature of 27â°c and 755 mmhg. What volume, in milliliters, will it have when it. As the balloon rises in the. A balloon is filled with 500.0 ml of helium at a temperature of 27â°c and 755 mm hg. Q.12 combined gas law problem: The formula for the combined. Combined Gas Law Problem A Balloon Is Filled With 500.0 Ml.
From slideplayer.com
Boyle’s Law P α 1/V This means Pressure and Volume are INVERSELY Combined Gas Law Problem A Balloon Is Filled With 500.0 Ml As the balloon rises in. What volume, in milliliters, will it. A balloon is filled with 500.0 ml of helium at a temperature of 27 degrees celsius and 755 mmhg. A balloon is filled with 500.0 ml of helium at a temperature of 27 degreec and 755 mmhg. Q.12 combined gas law problem: A balloon is filled with 500.0 ml. Combined Gas Law Problem A Balloon Is Filled With 500.0 Ml.
From quizzschooldrenching.z14.web.core.windows.net
Sample Problem Of Combined Gas Law Combined Gas Law Problem A Balloon Is Filled With 500.0 Ml As the balloon rises in. The formula for the combined gas law is used to solve for the final volume (v2) of the helium in the balloon. What volume, in milliliters, will it. Understanding the combined gas law:. A balloon is filled with 500.0 ml of helium at a temperature of 27 degrees celsius and 755 mmhg. A balloon is. Combined Gas Law Problem A Balloon Is Filled With 500.0 Ml.
From quizzschooldrenching.z14.web.core.windows.net
Combined Gas Law Explained Combined Gas Law Problem A Balloon Is Filled With 500.0 Ml A balloon is filled with 500.0 ml of helium at a temperature of 27 degreec and 755 mmhg. As the balloon rises in. A balloon is filled with 500.0 ml of helium at a temperature of 27 and 755 mm hg. The formula for the combined gas law is used to solve for the final volume (v2) of the helium. Combined Gas Law Problem A Balloon Is Filled With 500.0 Ml.
From www.slideserve.com
PPT The Combined and Ideal Gas Laws PowerPoint Presentation, free Combined Gas Law Problem A Balloon Is Filled With 500.0 Ml As the balloon rises in. Understanding the combined gas law:. As the balloon rises in the. The formula for the combined gas law is used to solve for the final volume (v2) of the helium in the balloon. A balloon is filled with 500.0 ml of helium at a temperature of 27 and 755 mm hg. A balloon is filled. Combined Gas Law Problem A Balloon Is Filled With 500.0 Ml.
From www.slideserve.com
PPT The Combined Gas Law PowerPoint Presentation, free download ID Combined Gas Law Problem A Balloon Is Filled With 500.0 Ml What volume, in milliliters, will it. What volume, in milliliters, will it have when it. Understanding the combined gas law:. A balloon is filled with 500.0 ml of helium at a temperature of 27â°c and 755 mm hg. As the balloon rises in the. A balloon is filled with 500.0 ml of helium at a temperature of 27 degreec and. Combined Gas Law Problem A Balloon Is Filled With 500.0 Ml.
From www.slideserve.com
PPT Combined Gas Law PowerPoint Presentation, free download ID2214919 Combined Gas Law Problem A Balloon Is Filled With 500.0 Ml As the balloon rises in the. Q.12 combined gas law problem: Understanding the combined gas law:. A balloon is filled with 500.0 ml of helium at a temperature of 27 degrees celsius and 755 mmhg. What volume, in milliliters, will it have when it. As the balloon rises in. A balloon is filled with 500.0 ml of helium at a. Combined Gas Law Problem A Balloon Is Filled With 500.0 Ml.
From www.showme.com
Combined Gas Law Problem Fundamental JMC SP2017 Gas Laws Combined Gas Law Problem A Balloon Is Filled With 500.0 Ml What volume, in milliliters, will it have when it. As the balloon rises in. A balloon is filled with 500.0 ml of helium at a temperature of 27â°c and 755 mmhg. As the balloon rises in the. A balloon is filled with 500.0 ml of helium at a temperature of 27â°c and 755 mm hg. What volume, in milliliters, will. Combined Gas Law Problem A Balloon Is Filled With 500.0 Ml.
From www.numerade.com
SOLVED Combined gas law problem A balloon is filled with 500.0 mL of Combined Gas Law Problem A Balloon Is Filled With 500.0 Ml A balloon is filled with 500.0 ml of helium at a temperature of 27 and 755 mm hg. A balloon is filled with 500.0 ml of helium at a temperature of 27 degreec and 755 mmhg. As the balloon rises in the. As the balloon rises in. A balloon is filled with 500.0 ml of helium at a temperature of. Combined Gas Law Problem A Balloon Is Filled With 500.0 Ml.
From learningnevestamyq.z21.web.core.windows.net
Combined Gas Law Problems With Answers Pdf Combined Gas Law Problem A Balloon Is Filled With 500.0 Ml As the balloon rises in. What volume, in milliliters, will it have when it. Understanding the combined gas law:. A balloon is filled with 500.0 ml of helium at a temperature of 27â°c and 755 mmhg. What volume, in milliliters, will it. Q.12 combined gas law problem: A balloon is filled with 500.0 ml of helium at a temperature of. Combined Gas Law Problem A Balloon Is Filled With 500.0 Ml.
From www.slideserve.com
PPT The Behavior of Gases PowerPoint Presentation, free download ID Combined Gas Law Problem A Balloon Is Filled With 500.0 Ml Understanding the combined gas law:. The formula for the combined gas law is used to solve for the final volume (v2) of the helium in the balloon. As the balloon rises in. A balloon is filled with 500.0 ml of helium at a temperature of 27 degrees celsius and 755 mmhg. What volume, in milliliters, will it have when it.. Combined Gas Law Problem A Balloon Is Filled With 500.0 Ml.
From lessondunn.z19.web.core.windows.net
Sample Problem Of Combined Gas Law Combined Gas Law Problem A Balloon Is Filled With 500.0 Ml What volume, in milliliters, will it have when it. A balloon is filled with 500.0 ml of helium at a temperature of 27 degrees celsius and 755 mmhg. As the balloon rises in the. A balloon is filled with 500.0 ml of helium at a temperature of 27 and 755 mm hg. The formula for the combined gas law is. Combined Gas Law Problem A Balloon Is Filled With 500.0 Ml.
From www.youtube.com
Using the Combined Gas Law to Solve for T2 YouTube Combined Gas Law Problem A Balloon Is Filled With 500.0 Ml The formula for the combined gas law is used to solve for the final volume (v2) of the helium in the balloon. A balloon is filled with 500.0 ml of helium at a temperature of 27 and 755 mm hg. Understanding the combined gas law:. What volume, in milliliters, will it have when it. Q.12 combined gas law problem: A. Combined Gas Law Problem A Balloon Is Filled With 500.0 Ml.
From quizzschooldrenching.z14.web.core.windows.net
Sample Problem Of Combined Gas Law Combined Gas Law Problem A Balloon Is Filled With 500.0 Ml Q.12 combined gas law problem: What volume, in milliliters, will it. A balloon is filled with 500.0 ml of helium at a temperature of 27 degrees celsius and 755 mmhg. Understanding the combined gas law:. As the balloon rises in. A balloon is filled with 500.0 ml of helium at a temperature of 27â°c and 755 mm hg. What volume,. Combined Gas Law Problem A Balloon Is Filled With 500.0 Ml.
From www.chegg.com
Solved Combined gas law problem A balloon is filled with Combined Gas Law Problem A Balloon Is Filled With 500.0 Ml As the balloon rises in the. The formula for the combined gas law is used to solve for the final volume (v2) of the helium in the balloon. Understanding the combined gas law:. What volume, in milliliters, will it have when it. Q.12 combined gas law problem: A balloon is filled with 500.0 ml of helium at a temperature of. Combined Gas Law Problem A Balloon Is Filled With 500.0 Ml.
From www.slideserve.com
PPT Gas Law Notes Chemistry Semester II PowerPoint Presentation, free Combined Gas Law Problem A Balloon Is Filled With 500.0 Ml What volume, in milliliters, will it have when it. Understanding the combined gas law:. Q.12 combined gas law problem: A balloon is filled with 500.0 ml of helium at a temperature of 27 degreec and 755 mmhg. A balloon is filled with 500.0 ml of helium at a temperature of 27â°c and 755 mmhg. The formula for the combined gas. Combined Gas Law Problem A Balloon Is Filled With 500.0 Ml.
From www.slideserve.com
PPT Combined Gas Law PowerPoint Presentation, free download ID3252378 Combined Gas Law Problem A Balloon Is Filled With 500.0 Ml As the balloon rises in the. What volume, in milliliters, will it. A balloon is filled with 500.0 ml of helium at a temperature of 27â°c and 755 mm hg. The formula for the combined gas law is used to solve for the final volume (v2) of the helium in the balloon. A balloon is filled with 500.0 ml of. Combined Gas Law Problem A Balloon Is Filled With 500.0 Ml.
From www.youtube.com
Practice Problem 2 Combined Gas Law YouTube Combined Gas Law Problem A Balloon Is Filled With 500.0 Ml A balloon is filled with 500.0 ml of helium at a temperature of 27 degreec and 755 mmhg. The formula for the combined gas law is used to solve for the final volume (v2) of the helium in the balloon. A balloon is filled with 500.0 ml of helium at a temperature of 27â°c and 755 mm hg. Understanding the. Combined Gas Law Problem A Balloon Is Filled With 500.0 Ml.
From printablefullnaiad.z19.web.core.windows.net
Sample Problem Of Combined Gas Law Combined Gas Law Problem A Balloon Is Filled With 500.0 Ml As the balloon rises in. What volume, in milliliters, will it have when it. As the balloon rises in the. A balloon is filled with 500.0 ml of helium at a temperature of 27 degreec and 755 mmhg. Understanding the combined gas law:. A balloon is filled with 500.0 ml of helium at a temperature of 27â°c and 755 mmhg.. Combined Gas Law Problem A Balloon Is Filled With 500.0 Ml.
From www.youtube.com
Combined Gas Law YouTube Combined Gas Law Problem A Balloon Is Filled With 500.0 Ml Understanding the combined gas law:. What volume, in milliliters, will it have when it. A balloon is filled with 500.0 ml of helium at a temperature of 27 degrees celsius and 755 mmhg. A balloon is filled with 500.0 ml of helium at a temperature of 27â°c and 755 mm hg. A balloon is filled with 500.0 ml of helium. Combined Gas Law Problem A Balloon Is Filled With 500.0 Ml.