A Model Rocket Has A Mass Of 0.2 Kg . Mass of model rocket is 0.12 kg. The mass of the second rocket should be 0.4 kg. Velocity of the rocket is 60 m/s at 1.2 sec. The nose cone, payload, recovery system, frame, engine, and fins. To determine the mass of the second rocket, we need to use newton's second law of. The first entry in the mass column should be the initial mass of the rocket plus propellant, or 0.255 kg. A model rocket has a mass of 0.2 kg, with a motor that can provide a force of 100 n. Net force = ma = thrust. The entry in this column once the thrust. A second model rocket is being built with the. The first model rocket has a mass of 0.2 kg and is powered by a motor that can provide a force of 200 n. The acceleration of an object is inversely proportional to its mass when the force acting on it remains constant. Force due to gravity is 1.2 n. A model rocket is a combination of many parts: Using newton's second law of.
from www.toppr.com
Velocity of the rocket is 60 m/s at 1.2 sec. The first entry in the mass column should be the initial mass of the rocket plus propellant, or 0.255 kg. The entry in this column once the thrust. The nose cone, payload, recovery system, frame, engine, and fins. Each part has a weight associated with it which you. The first model rocket has a mass of 0.2 kg and is powered by a motor that can provide a force of 200 n. Force due to gravity is 1.2 n. To determine the mass of the second rocket, we need to use newton's second law of. Mass of model rocket is 0.12 kg. Using newton's second law of.
A rocket has a mass of 21000 kg of which 15000 kg is fuel. The rocket
A Model Rocket Has A Mass Of 0.2 Kg A model rocket has a mass of 0.2 kg, with a motor that can provide a force of 100 n. A model rocket is a combination of many parts: To determine the mass of the second rocket, we need to use newton's second law of. The mass of the second rocket should be 0.4 kg. Each part has a weight associated with it which you. The acceleration of an object is inversely proportional to its mass when the force acting on it remains constant. Net force = ma = thrust. A second model rocket is being built with the. The first entry in the mass column should be the initial mass of the rocket plus propellant, or 0.255 kg. The first model rocket has a mass of 0.2 kg and is powered by a motor that can provide a force of 200 n. The entry in this column once the thrust. Velocity of the rocket is 60 m/s at 1.2 sec. Using newton's second law of. Mass of model rocket is 0.12 kg. Force due to gravity is 1.2 n. The nose cone, payload, recovery system, frame, engine, and fins.
From www.numerade.com
A rocket has a mass of 80,000 kg and accelerates at a rate of 35 m/s2 A Model Rocket Has A Mass Of 0.2 Kg The nose cone, payload, recovery system, frame, engine, and fins. The mass of the second rocket should be 0.4 kg. The first entry in the mass column should be the initial mass of the rocket plus propellant, or 0.255 kg. A model rocket has a mass of 0.2 kg, with a motor that can provide a force of 100 n.. A Model Rocket Has A Mass Of 0.2 Kg.
From www.toppr.com
A model rocket engine has an average thrust of 5.26 N . It has an A Model Rocket Has A Mass Of 0.2 Kg A model rocket has a mass of 0.2 kg, with a motor that can provide a force of 100 n. Velocity of the rocket is 60 m/s at 1.2 sec. The first model rocket has a mass of 0.2 kg and is powered by a motor that can provide a force of 200 n. The nose cone, payload, recovery system,. A Model Rocket Has A Mass Of 0.2 Kg.
From www.youtube.com
Ideal Rocket Equation (Calculus To Find Velocity Of Rocket) Assuming No A Model Rocket Has A Mass Of 0.2 Kg Velocity of the rocket is 60 m/s at 1.2 sec. To determine the mass of the second rocket, we need to use newton's second law of. Each part has a weight associated with it which you. The acceleration of an object is inversely proportional to its mass when the force acting on it remains constant. The nose cone, payload, recovery. A Model Rocket Has A Mass Of 0.2 Kg.
From www.coursehero.com
[Solved] A 0.5 oz model rocket is launched vertically from rest at time A Model Rocket Has A Mass Of 0.2 Kg The nose cone, payload, recovery system, frame, engine, and fins. The mass of the second rocket should be 0.4 kg. A model rocket is a combination of many parts: The first model rocket has a mass of 0.2 kg and is powered by a motor that can provide a force of 200 n. A second model rocket is being built. A Model Rocket Has A Mass Of 0.2 Kg.
From www.toppr.com
A rocket has a mass of 100 kg . 90 A Model Rocket Has A Mass Of 0.2 Kg Net force = ma = thrust. Mass of model rocket is 0.12 kg. Each part has a weight associated with it which you. To determine the mass of the second rocket, we need to use newton's second law of. Force due to gravity is 1.2 n. The nose cone, payload, recovery system, frame, engine, and fins. The first model rocket. A Model Rocket Has A Mass Of 0.2 Kg.
From www.numerade.com
SOLVED A rocket has a mass of 100 kg. 90 of this is fuel. It ejects A Model Rocket Has A Mass Of 0.2 Kg The first entry in the mass column should be the initial mass of the rocket plus propellant, or 0.255 kg. Net force = ma = thrust. Each part has a weight associated with it which you. A model rocket has a mass of 0.2 kg, with a motor that can provide a force of 100 n. A model rocket is. A Model Rocket Has A Mass Of 0.2 Kg.
From www.numerade.com
A large rocket has a mass of 2.00 ×10^6 kg at takeoff, and its engines A Model Rocket Has A Mass Of 0.2 Kg Net force = ma = thrust. The acceleration of an object is inversely proportional to its mass when the force acting on it remains constant. The entry in this column once the thrust. The mass of the second rocket should be 0.4 kg. A model rocket has a mass of 0.2 kg, with a motor that can provide a force. A Model Rocket Has A Mass Of 0.2 Kg.
From en.wikipedia.org
Model rocket Wikipedia A Model Rocket Has A Mass Of 0.2 Kg Net force = ma = thrust. Mass of model rocket is 0.12 kg. The mass of the second rocket should be 0.4 kg. A model rocket has a mass of 0.2 kg, with a motor that can provide a force of 100 n. The first entry in the mass column should be the initial mass of the rocket plus propellant,. A Model Rocket Has A Mass Of 0.2 Kg.
From www.youtube.com
A rocket of initial mass m ( including fuel) ejects mass at a constant A Model Rocket Has A Mass Of 0.2 Kg A model rocket is a combination of many parts: The entry in this column once the thrust. Force due to gravity is 1.2 n. Each part has a weight associated with it which you. Net force = ma = thrust. To determine the mass of the second rocket, we need to use newton's second law of. The first model rocket. A Model Rocket Has A Mass Of 0.2 Kg.
From slidetodoc.com
Rocket Propulsion Contents Review Types of Rockets Examples A Model Rocket Has A Mass Of 0.2 Kg The acceleration of an object is inversely proportional to its mass when the force acting on it remains constant. A model rocket is a combination of many parts: Velocity of the rocket is 60 m/s at 1.2 sec. The first entry in the mass column should be the initial mass of the rocket plus propellant, or 0.255 kg. The entry. A Model Rocket Has A Mass Of 0.2 Kg.
From askfilo.com
A rocket has a mass of 100 kg. It ejects fuel vapours at the rate of 1 kg.. A Model Rocket Has A Mass Of 0.2 Kg Using newton's second law of. To determine the mass of the second rocket, we need to use newton's second law of. Each part has a weight associated with it which you. The mass of the second rocket should be 0.4 kg. The acceleration of an object is inversely proportional to its mass when the force acting on it remains constant.. A Model Rocket Has A Mass Of 0.2 Kg.
From www.chegg.com
Solved Rocket Man. A test rocket has a mass of 2711 kg at A Model Rocket Has A Mass Of 0.2 Kg A model rocket is a combination of many parts: The mass of the second rocket should be 0.4 kg. The acceleration of an object is inversely proportional to its mass when the force acting on it remains constant. A second model rocket is being built with the. Each part has a weight associated with it which you. The first entry. A Model Rocket Has A Mass Of 0.2 Kg.
From www.numerade.com
SOLVED 'A model rocket has mass of 8.0 kg During its launch; the A Model Rocket Has A Mass Of 0.2 Kg The first model rocket has a mass of 0.2 kg and is powered by a motor that can provide a force of 200 n. Each part has a weight associated with it which you. The acceleration of an object is inversely proportional to its mass when the force acting on it remains constant. The nose cone, payload, recovery system, frame,. A Model Rocket Has A Mass Of 0.2 Kg.
From www.numerade.com
SOLVEDModel rockets have tiny engines that fire for around 2 seconds A Model Rocket Has A Mass Of 0.2 Kg A second model rocket is being built with the. The nose cone, payload, recovery system, frame, engine, and fins. The first model rocket has a mass of 0.2 kg and is powered by a motor that can provide a force of 200 n. Mass of model rocket is 0.12 kg. A model rocket has a mass of 0.2 kg, with. A Model Rocket Has A Mass Of 0.2 Kg.
From pressbooks.bccampus.ca
8.7 Introduction to Rocket Propulsion College Physics OpenStax A Model Rocket Has A Mass Of 0.2 Kg Each part has a weight associated with it which you. Using newton's second law of. The mass of the second rocket should be 0.4 kg. The first model rocket has a mass of 0.2 kg and is powered by a motor that can provide a force of 200 n. To determine the mass of the second rocket, we need to. A Model Rocket Has A Mass Of 0.2 Kg.
From www.toppr.com
A rocket has a mass of 100 kg . 90 A Model Rocket Has A Mass Of 0.2 Kg Each part has a weight associated with it which you. Force due to gravity is 1.2 n. Mass of model rocket is 0.12 kg. The entry in this column once the thrust. The nose cone, payload, recovery system, frame, engine, and fins. A second model rocket is being built with the. A model rocket has a mass of 0.2 kg,. A Model Rocket Has A Mass Of 0.2 Kg.
From www.numerade.com
⏩SOLVEDA 0.2 lb model rocket is launched vertically from rest at A Model Rocket Has A Mass Of 0.2 Kg The acceleration of an object is inversely proportional to its mass when the force acting on it remains constant. Mass of model rocket is 0.12 kg. The entry in this column once the thrust. A model rocket has a mass of 0.2 kg, with a motor that can provide a force of 100 n. Using newton's second law of. The. A Model Rocket Has A Mass Of 0.2 Kg.
From www.numerade.com
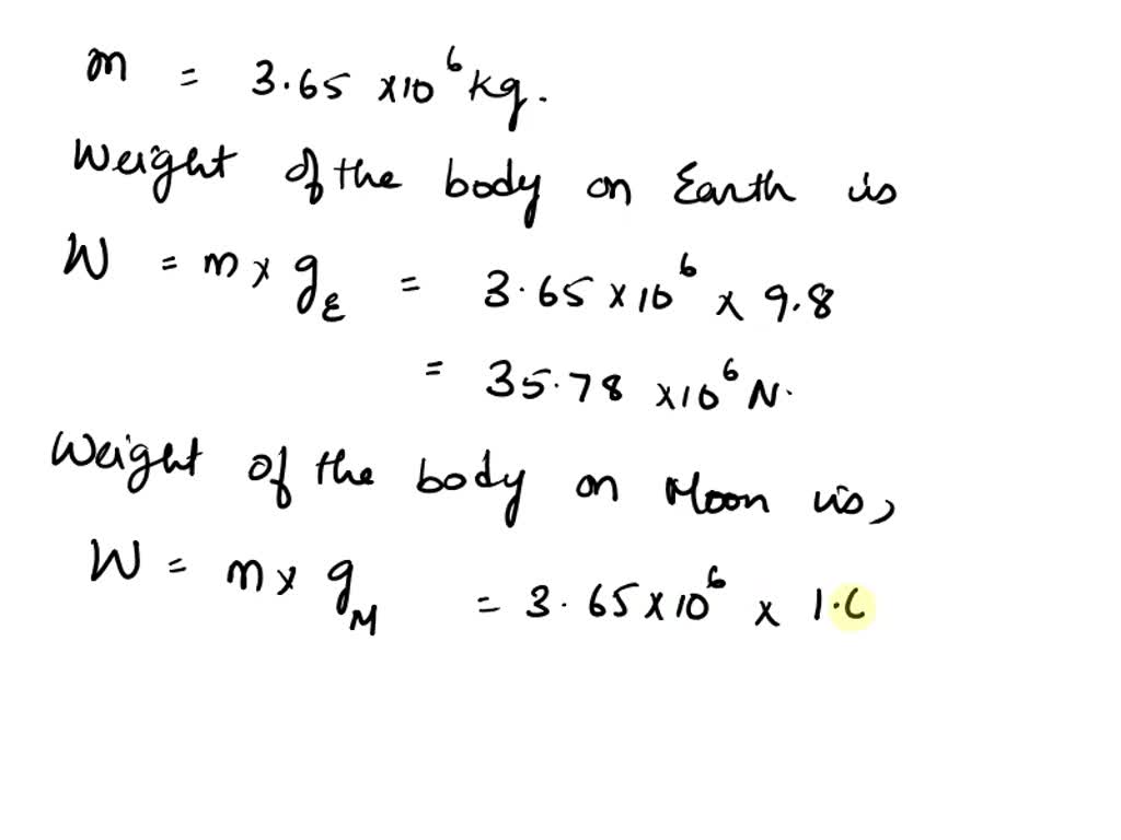
SOLVED A rocket has a mass of 3.65 x 10^6 kg on Earth. Specify its A Model Rocket Has A Mass Of 0.2 Kg Mass of model rocket is 0.12 kg. The first entry in the mass column should be the initial mass of the rocket plus propellant, or 0.255 kg. Using newton's second law of. A second model rocket is being built with the. A model rocket is a combination of many parts: The entry in this column once the thrust. Net force. A Model Rocket Has A Mass Of 0.2 Kg.
From www.nagwa.com
Question Video Calculating the Mass of a Rocket with a Known Thrust A Model Rocket Has A Mass Of 0.2 Kg To determine the mass of the second rocket, we need to use newton's second law of. The entry in this column once the thrust. Using newton's second law of. A model rocket is a combination of many parts: The first entry in the mass column should be the initial mass of the rocket plus propellant, or 0.255 kg. Velocity of. A Model Rocket Has A Mass Of 0.2 Kg.
From askfilo.com
A rotating system as shown in figure has a mass of 0.2 kg hanging from a A Model Rocket Has A Mass Of 0.2 Kg The first model rocket has a mass of 0.2 kg and is powered by a motor that can provide a force of 200 n. Each part has a weight associated with it which you. The acceleration of an object is inversely proportional to its mass when the force acting on it remains constant. To determine the mass of the second. A Model Rocket Has A Mass Of 0.2 Kg.
From www.toppr.com
A rocket has a mass of 21000 kg of which 15000 kg is fuel. The rocket A Model Rocket Has A Mass Of 0.2 Kg To determine the mass of the second rocket, we need to use newton's second law of. The acceleration of an object is inversely proportional to its mass when the force acting on it remains constant. Net force = ma = thrust. Mass of model rocket is 0.12 kg. Each part has a weight associated with it which you. Force due. A Model Rocket Has A Mass Of 0.2 Kg.
From www.toppr.com
A rocket has a mass of 100 kg . 90 of this is fuel. It ejects fuel A Model Rocket Has A Mass Of 0.2 Kg To determine the mass of the second rocket, we need to use newton's second law of. Each part has a weight associated with it which you. The entry in this column once the thrust. Force due to gravity is 1.2 n. The mass of the second rocket should be 0.4 kg. Velocity of the rocket is 60 m/s at 1.2. A Model Rocket Has A Mass Of 0.2 Kg.
From www.chegg.com
Solved Rocket Propulsion A fully fueled rocket has a mass A Model Rocket Has A Mass Of 0.2 Kg Net force = ma = thrust. A second model rocket is being built with the. Velocity of the rocket is 60 m/s at 1.2 sec. A model rocket has a mass of 0.2 kg, with a motor that can provide a force of 100 n. The entry in this column once the thrust. A model rocket is a combination of. A Model Rocket Has A Mass Of 0.2 Kg.
From www.chegg.com
Solved Question 1 A rocket has a mass of 3.65(106) kg on A Model Rocket Has A Mass Of 0.2 Kg Using newton's second law of. A model rocket has a mass of 0.2 kg, with a motor that can provide a force of 100 n. The acceleration of an object is inversely proportional to its mass when the force acting on it remains constant. Net force = ma = thrust. The mass of the second rocket should be 0.4 kg.. A Model Rocket Has A Mass Of 0.2 Kg.
From www.grc.nasa.gov
Rocket Mass Ratios A Model Rocket Has A Mass Of 0.2 Kg Mass of model rocket is 0.12 kg. A model rocket has a mass of 0.2 kg, with a motor that can provide a force of 100 n. To determine the mass of the second rocket, we need to use newton's second law of. The first model rocket has a mass of 0.2 kg and is powered by a motor that. A Model Rocket Has A Mass Of 0.2 Kg.
From www.numerade.com
SOLVEDA model solid propellant rocket has a mass of 69.6 g of which 12 A Model Rocket Has A Mass Of 0.2 Kg The nose cone, payload, recovery system, frame, engine, and fins. Mass of model rocket is 0.12 kg. A model rocket has a mass of 0.2 kg, with a motor that can provide a force of 100 n. Velocity of the rocket is 60 m/s at 1.2 sec. Each part has a weight associated with it which you. A second model. A Model Rocket Has A Mass Of 0.2 Kg.
From www.grc.nasa.gov
Model Rocket Weight A Model Rocket Has A Mass Of 0.2 Kg The first model rocket has a mass of 0.2 kg and is powered by a motor that can provide a force of 200 n. A model rocket has a mass of 0.2 kg, with a motor that can provide a force of 100 n. The mass of the second rocket should be 0.4 kg. A model rocket is a combination. A Model Rocket Has A Mass Of 0.2 Kg.
From www.youtube.com
System of Variable Mass Rocket Propulsion YouTube A Model Rocket Has A Mass Of 0.2 Kg The entry in this column once the thrust. A model rocket is a combination of many parts: Mass of model rocket is 0.12 kg. The acceleration of an object is inversely proportional to its mass when the force acting on it remains constant. Using newton's second law of. A second model rocket is being built with the. Each part has. A Model Rocket Has A Mass Of 0.2 Kg.
From www.youtube.com
Dynamics 12.58 A twostage rocket is fired vertically from rest with A Model Rocket Has A Mass Of 0.2 Kg The acceleration of an object is inversely proportional to its mass when the force acting on it remains constant. Mass of model rocket is 0.12 kg. The first entry in the mass column should be the initial mass of the rocket plus propellant, or 0.255 kg. A second model rocket is being built with the. Force due to gravity is. A Model Rocket Has A Mass Of 0.2 Kg.
From www.chegg.com
Solved A saturn V rocket has a mass of 2.75x10^6 kg and a A Model Rocket Has A Mass Of 0.2 Kg A model rocket is a combination of many parts: The mass of the second rocket should be 0.4 kg. The nose cone, payload, recovery system, frame, engine, and fins. Net force = ma = thrust. The first model rocket has a mass of 0.2 kg and is powered by a motor that can provide a force of 200 n. Each. A Model Rocket Has A Mass Of 0.2 Kg.
From www.numerade.com
SOLVED A rocket has a mass of 3.65 × 10^6 kg on earth. Specify its A Model Rocket Has A Mass Of 0.2 Kg Velocity of the rocket is 60 m/s at 1.2 sec. A second model rocket is being built with the. The first model rocket has a mass of 0.2 kg and is powered by a motor that can provide a force of 200 n. Using newton's second law of. The first entry in the mass column should be the initial mass. A Model Rocket Has A Mass Of 0.2 Kg.
From www.chegg.com
Solved a model rocket has a mass of 0.435 kg. it is mounted A Model Rocket Has A Mass Of 0.2 Kg A model rocket is a combination of many parts: The mass of the second rocket should be 0.4 kg. The first model rocket has a mass of 0.2 kg and is powered by a motor that can provide a force of 200 n. Net force = ma = thrust. The entry in this column once the thrust. To determine the. A Model Rocket Has A Mass Of 0.2 Kg.
From www.chegg.com
Solved 5. The Estes Helicat model rocket has a mass of 99 A Model Rocket Has A Mass Of 0.2 Kg A model rocket has a mass of 0.2 kg, with a motor that can provide a force of 100 n. The mass of the second rocket should be 0.4 kg. The entry in this column once the thrust. Using newton's second law of. The first model rocket has a mass of 0.2 kg and is powered by a motor that. A Model Rocket Has A Mass Of 0.2 Kg.
From esracsulb.weebly.com
Equations For Ideal Rocket ESRA CSULB A Model Rocket Has A Mass Of 0.2 Kg The mass of the second rocket should be 0.4 kg. Net force = ma = thrust. The entry in this column once the thrust. Velocity of the rocket is 60 m/s at 1.2 sec. Force due to gravity is 1.2 n. Using newton's second law of. The first model rocket has a mass of 0.2 kg and is powered by. A Model Rocket Has A Mass Of 0.2 Kg.
From www.chegg.com
Solved 9. (30) A model rocket has a mass of m, withont A Model Rocket Has A Mass Of 0.2 Kg The acceleration of an object is inversely proportional to its mass when the force acting on it remains constant. The first model rocket has a mass of 0.2 kg and is powered by a motor that can provide a force of 200 n. To determine the mass of the second rocket, we need to use newton's second law of. Force. A Model Rocket Has A Mass Of 0.2 Kg.