The Element Bromine At Room Temperature Is Liquid . Bromine is the only nonmetallic liquid element. Francium, cesium, gallium, and rubidium (all metals). Bromine is liquid at room temperature. Bromine is the only nonmetallic element on the periodic table that is a liquid near room temperature. Bromine is the only nonmetallic element that is liquid at ordinary temperatures. Bromine is used in many fire retardant compounds. Four other elements are liquids at temperatures slightly warmer than room temperature: The only other element that is a liquid at room temperature is mercury. Only two elements on the periodic table are liquid elements at technically designated room temperature: Mercury (a metal) and bromine (a halogen). Bromine is a chemical element with the symbol br and atomic number 35. Its melting point is 265.8 k (−7.2 °c, 19 °f), while its boiling point is 332.0 k (58.8 °c, 137.8 °f). It has a very unpleasant, pungent and choking smell. It is the only non. It is reddish brown in color.
from www.numerade.com
Bromine is the only nonmetallic element on the periodic table that is a liquid near room temperature. Only two elements on the periodic table are liquid elements at technically designated room temperature: Bromine is the only nonmetallic element that is liquid at ordinary temperatures. It has a very unpleasant, pungent and choking smell. Bromine is the only nonmetallic liquid element. Its melting point is 265.8 k (−7.2 °c, 19 °f), while its boiling point is 332.0 k (58.8 °c, 137.8 °f). Bromine is used in many fire retardant compounds. It is reddish brown in color. Four other elements are liquids at temperatures slightly warmer than room temperature: It is the only non.
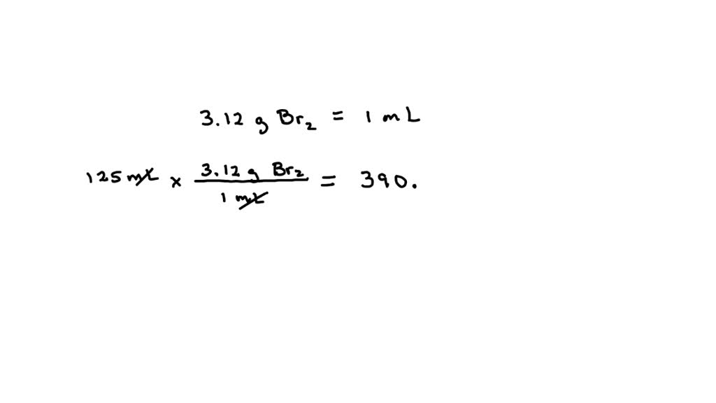
SOLVED The element bromine at room temperature is a liquid with a
The Element Bromine At Room Temperature Is Liquid Only two elements on the periodic table are liquid elements at technically designated room temperature: Bromine is liquid at room temperature. Its melting point is 265.8 k (−7.2 °c, 19 °f), while its boiling point is 332.0 k (58.8 °c, 137.8 °f). It has a very unpleasant, pungent and choking smell. Only two elements on the periodic table are liquid elements at technically designated room temperature: It is the only non. Bromine is the only nonmetallic element that is liquid at ordinary temperatures. Bromine is the only nonmetallic element on the periodic table that is a liquid near room temperature. Bromine is a chemical element with the symbol br and atomic number 35. Four other elements are liquids at temperatures slightly warmer than room temperature: Bromine is used in many fire retardant compounds. The only other element that is a liquid at room temperature is mercury. Francium, cesium, gallium, and rubidium (all metals). Bromine is the only nonmetallic liquid element. Mercury (a metal) and bromine (a halogen). It is reddish brown in color.
From www.numerade.com
SOLVED The element bromine at room temperature is a liquid with a The Element Bromine At Room Temperature Is Liquid Mercury (a metal) and bromine (a halogen). Bromine is the only nonmetallic element on the periodic table that is a liquid near room temperature. Four other elements are liquids at temperatures slightly warmer than room temperature: Bromine is the only nonmetallic element that is liquid at ordinary temperatures. Its melting point is 265.8 k (−7.2 °c, 19 °f), while its. The Element Bromine At Room Temperature Is Liquid.
From izayahteenglish.blogspot.com
Bromine at Room Temperature IzayahteEnglish The Element Bromine At Room Temperature Is Liquid Bromine is liquid at room temperature. It is the only non. Only two elements on the periodic table are liquid elements at technically designated room temperature: Mercury (a metal) and bromine (a halogen). Francium, cesium, gallium, and rubidium (all metals). Bromine is a chemical element with the symbol br and atomic number 35. Bromine is used in many fire retardant. The Element Bromine At Room Temperature Is Liquid.
From brainly.com
At room temperature, the element bromine is a liquid with a density of The Element Bromine At Room Temperature Is Liquid Bromine is liquid at room temperature. The only other element that is a liquid at room temperature is mercury. Mercury (a metal) and bromine (a halogen). Bromine is the only nonmetallic element on the periodic table that is a liquid near room temperature. Bromine is used in many fire retardant compounds. Its melting point is 265.8 k (−7.2 °c, 19. The Element Bromine At Room Temperature Is Liquid.
From utedzz.blogspot.com
Periodic Table Liquids At Room Temperature Periodic Table Timeline The Element Bromine At Room Temperature Is Liquid Only two elements on the periodic table are liquid elements at technically designated room temperature: It is reddish brown in color. Its melting point is 265.8 k (−7.2 °c, 19 °f), while its boiling point is 332.0 k (58.8 °c, 137.8 °f). Mercury (a metal) and bromine (a halogen). Bromine is the only nonmetallic liquid element. Four other elements are. The Element Bromine At Room Temperature Is Liquid.
From donnaxispence.blogspot.com
2 Elements That Are Liquid at Room Temperature The Element Bromine At Room Temperature Is Liquid Bromine is the only nonmetallic element that is liquid at ordinary temperatures. Bromine is used in many fire retardant compounds. It has a very unpleasant, pungent and choking smell. The only other element that is a liquid at room temperature is mercury. Only two elements on the periodic table are liquid elements at technically designated room temperature: It is the. The Element Bromine At Room Temperature Is Liquid.
From www.numerade.com
SOLVED The image below shows the phase diagram of bromine, which The Element Bromine At Room Temperature Is Liquid Bromine is used in many fire retardant compounds. Mercury (a metal) and bromine (a halogen). Its melting point is 265.8 k (−7.2 °c, 19 °f), while its boiling point is 332.0 k (58.8 °c, 137.8 °f). Four other elements are liquids at temperatures slightly warmer than room temperature: Bromine is the only nonmetallic liquid element. Francium, cesium, gallium, and rubidium. The Element Bromine At Room Temperature Is Liquid.
From slideplayer.com
Bellwork Chapter Pretest ppt download The Element Bromine At Room Temperature Is Liquid The only other element that is a liquid at room temperature is mercury. Francium, cesium, gallium, and rubidium (all metals). Four other elements are liquids at temperatures slightly warmer than room temperature: Its melting point is 265.8 k (−7.2 °c, 19 °f), while its boiling point is 332.0 k (58.8 °c, 137.8 °f). It has a very unpleasant, pungent and. The Element Bromine At Room Temperature Is Liquid.
From www.numerade.com
SOLVED The element bromine at room temperature is a liquid with a The Element Bromine At Room Temperature Is Liquid Bromine is used in many fire retardant compounds. Mercury (a metal) and bromine (a halogen). Four other elements are liquids at temperatures slightly warmer than room temperature: Bromine is the only nonmetallic element on the periodic table that is a liquid near room temperature. Bromine is liquid at room temperature. It is the only non. Francium, cesium, gallium, and rubidium. The Element Bromine At Room Temperature Is Liquid.
From www.youtube.com
Bromine Br and mercury Hg are the only elements that are liquids at The Element Bromine At Room Temperature Is Liquid Mercury (a metal) and bromine (a halogen). It has a very unpleasant, pungent and choking smell. Bromine is the only nonmetallic element on the periodic table that is a liquid near room temperature. Four other elements are liquids at temperatures slightly warmer than room temperature: Francium, cesium, gallium, and rubidium (all metals). Bromine is the only nonmetallic liquid element. Bromine. The Element Bromine At Room Temperature Is Liquid.
From studiousguy.com
Bromine (Br) Properties & Uses StudiousGuy The Element Bromine At Room Temperature Is Liquid Four other elements are liquids at temperatures slightly warmer than room temperature: It has a very unpleasant, pungent and choking smell. Bromine is the only nonmetallic element that is liquid at ordinary temperatures. Mercury (a metal) and bromine (a halogen). It is the only non. It is reddish brown in color. Its melting point is 265.8 k (−7.2 °c, 19. The Element Bromine At Room Temperature Is Liquid.
From www.livescience.com
Facts About Bromine Live Science The Element Bromine At Room Temperature Is Liquid Four other elements are liquids at temperatures slightly warmer than room temperature: It has a very unpleasant, pungent and choking smell. Bromine is the only nonmetallic liquid element. Mercury (a metal) and bromine (a halogen). It is reddish brown in color. Only two elements on the periodic table are liquid elements at technically designated room temperature: It is the only. The Element Bromine At Room Temperature Is Liquid.
From exoslzzod.blob.core.windows.net
What Appearance Of Bromine At Room Temperature at Henry Moses blog The Element Bromine At Room Temperature Is Liquid It has a very unpleasant, pungent and choking smell. Four other elements are liquids at temperatures slightly warmer than room temperature: Only two elements on the periodic table are liquid elements at technically designated room temperature: Bromine is liquid at room temperature. Its melting point is 265.8 k (−7.2 °c, 19 °f), while its boiling point is 332.0 k (58.8. The Element Bromine At Room Temperature Is Liquid.
From wilsontepineda.blogspot.com
Bromine at Room Temperature WilsontePineda The Element Bromine At Room Temperature Is Liquid Bromine is used in many fire retardant compounds. Mercury (a metal) and bromine (a halogen). Four other elements are liquids at temperatures slightly warmer than room temperature: Francium, cesium, gallium, and rubidium (all metals). Bromine is the only nonmetallic element that is liquid at ordinary temperatures. Bromine is liquid at room temperature. It is reddish brown in color. The only. The Element Bromine At Room Temperature Is Liquid.
From www.pinterest.com
Bromine a halogen, liquid at room temperature; corrosive, toxic with The Element Bromine At Room Temperature Is Liquid Mercury (a metal) and bromine (a halogen). It is the only non. Francium, cesium, gallium, and rubidium (all metals). It has a very unpleasant, pungent and choking smell. Bromine is a chemical element with the symbol br and atomic number 35. The only other element that is a liquid at room temperature is mercury. Bromine is the only nonmetallic liquid. The Element Bromine At Room Temperature Is Liquid.
From www.thoughtco.com
What Element in the Halide Family is a Liquid? The Element Bromine At Room Temperature Is Liquid Bromine is a chemical element with the symbol br and atomic number 35. Bromine is used in many fire retardant compounds. Only two elements on the periodic table are liquid elements at technically designated room temperature: Four other elements are liquids at temperatures slightly warmer than room temperature: It has a very unpleasant, pungent and choking smell. Its melting point. The Element Bromine At Room Temperature Is Liquid.
From fphoto.photoshelter.com
bromine phases transition chemistry element Fundamental Photographs The Element Bromine At Room Temperature Is Liquid Mercury (a metal) and bromine (a halogen). It has a very unpleasant, pungent and choking smell. It is reddish brown in color. Bromine is liquid at room temperature. The only other element that is a liquid at room temperature is mercury. Four other elements are liquids at temperatures slightly warmer than room temperature: Francium, cesium, gallium, and rubidium (all metals).. The Element Bromine At Room Temperature Is Liquid.
From www.slideserve.com
PPT Group 7 Elements PowerPoint Presentation ID1553178 The Element Bromine At Room Temperature Is Liquid Bromine is a chemical element with the symbol br and atomic number 35. Bromine is the only nonmetallic liquid element. Bromine is liquid at room temperature. Its melting point is 265.8 k (−7.2 °c, 19 °f), while its boiling point is 332.0 k (58.8 °c, 137.8 °f). Four other elements are liquids at temperatures slightly warmer than room temperature: Bromine. The Element Bromine At Room Temperature Is Liquid.
From www.numerade.com
The element bromine at room temperature is a liquid with a density of 3 The Element Bromine At Room Temperature Is Liquid Bromine is a chemical element with the symbol br and atomic number 35. Bromine is the only nonmetallic element on the periodic table that is a liquid near room temperature. It is the only non. It has a very unpleasant, pungent and choking smell. Francium, cesium, gallium, and rubidium (all metals). Four other elements are liquids at temperatures slightly warmer. The Element Bromine At Room Temperature Is Liquid.
From www.numerade.com
VIDEO solution 89. The element bromine at room temperature is a liquid The Element Bromine At Room Temperature Is Liquid Francium, cesium, gallium, and rubidium (all metals). It is the only non. It is reddish brown in color. Mercury (a metal) and bromine (a halogen). Only two elements on the periodic table are liquid elements at technically designated room temperature: Bromine is liquid at room temperature. Its melting point is 265.8 k (−7.2 °c, 19 °f), while its boiling point. The Element Bromine At Room Temperature Is Liquid.
From sciencenotes.org
Liquid Elements on the Periodic Table The Element Bromine At Room Temperature Is Liquid Bromine is liquid at room temperature. It is reddish brown in color. Only two elements on the periodic table are liquid elements at technically designated room temperature: The only other element that is a liquid at room temperature is mercury. Bromine is used in many fire retardant compounds. Francium, cesium, gallium, and rubidium (all metals). It is the only non.. The Element Bromine At Room Temperature Is Liquid.
From www.slideserve.com
PPT A Guided Tour of the Periodic Table PowerPoint Presentation, free The Element Bromine At Room Temperature Is Liquid It has a very unpleasant, pungent and choking smell. Bromine is the only nonmetallic element on the periodic table that is a liquid near room temperature. It is reddish brown in color. The only other element that is a liquid at room temperature is mercury. Four other elements are liquids at temperatures slightly warmer than room temperature: Bromine is the. The Element Bromine At Room Temperature Is Liquid.
From slideplayer.com
Learning Objective Describe the properties of group seven elements The Element Bromine At Room Temperature Is Liquid It is reddish brown in color. Francium, cesium, gallium, and rubidium (all metals). Its melting point is 265.8 k (−7.2 °c, 19 °f), while its boiling point is 332.0 k (58.8 °c, 137.8 °f). Bromine is the only nonmetallic element that is liquid at ordinary temperatures. It has a very unpleasant, pungent and choking smell. Bromine is the only nonmetallic. The Element Bromine At Room Temperature Is Liquid.
From www.numerade.com
SOLVED The element bromine at room temperature is a liquid with a The Element Bromine At Room Temperature Is Liquid Mercury (a metal) and bromine (a halogen). Bromine is a chemical element with the symbol br and atomic number 35. Four other elements are liquids at temperatures slightly warmer than room temperature: The only other element that is a liquid at room temperature is mercury. Francium, cesium, gallium, and rubidium (all metals). Bromine is used in many fire retardant compounds.. The Element Bromine At Room Temperature Is Liquid.
From mungfali.com
Periodic Table Of Elements States Of Matter The Element Bromine At Room Temperature Is Liquid It is the only non. It has a very unpleasant, pungent and choking smell. Francium, cesium, gallium, and rubidium (all metals). It is reddish brown in color. Four other elements are liquids at temperatures slightly warmer than room temperature: Bromine is the only nonmetallic element that is liquid at ordinary temperatures. Bromine is the only nonmetallic element on the periodic. The Element Bromine At Room Temperature Is Liquid.
From oneclass.com
OneClass Bromine is one of the few elements that is a liquid at room The Element Bromine At Room Temperature Is Liquid Bromine is the only nonmetallic element that is liquid at ordinary temperatures. Only two elements on the periodic table are liquid elements at technically designated room temperature: Bromine is used in many fire retardant compounds. It is the only non. Bromine is the only nonmetallic liquid element. Bromine is the only nonmetallic element on the periodic table that is a. The Element Bromine At Room Temperature Is Liquid.
From sciencenotes.org
Periodic Table of Natural State of Elements The Element Bromine At Room Temperature Is Liquid It has a very unpleasant, pungent and choking smell. It is the only non. Its melting point is 265.8 k (−7.2 °c, 19 °f), while its boiling point is 332.0 k (58.8 °c, 137.8 °f). Bromine is a chemical element with the symbol br and atomic number 35. Mercury (a metal) and bromine (a halogen). Bromine is the only nonmetallic. The Element Bromine At Room Temperature Is Liquid.
From www.chegg.com
Solved QUESTION 4 Bromine is a liquid at room temperature. The Element Bromine At Room Temperature Is Liquid Bromine is used in many fire retardant compounds. It is reddish brown in color. Bromine is the only nonmetallic liquid element. The only other element that is a liquid at room temperature is mercury. Bromine is liquid at room temperature. It is the only non. It has a very unpleasant, pungent and choking smell. Bromine is the only nonmetallic element. The Element Bromine At Room Temperature Is Liquid.
From slideplayer.com
The Periodic Table Trends and Patterns. ppt download The Element Bromine At Room Temperature Is Liquid Bromine is the only nonmetallic element that is liquid at ordinary temperatures. Bromine is liquid at room temperature. It is reddish brown in color. Four other elements are liquids at temperatures slightly warmer than room temperature: Mercury (a metal) and bromine (a halogen). Bromine is the only nonmetallic liquid element. Bromine is the only nonmetallic element on the periodic table. The Element Bromine At Room Temperature Is Liquid.
From www.numerade.com
SOLVEDThe element bromine at room temperature is a liquid with a The Element Bromine At Room Temperature Is Liquid Bromine is the only nonmetallic element that is liquid at ordinary temperatures. Mercury (a metal) and bromine (a halogen). Bromine is the only nonmetallic element on the periodic table that is a liquid near room temperature. It has a very unpleasant, pungent and choking smell. It is the only non. Bromine is used in many fire retardant compounds. Only two. The Element Bromine At Room Temperature Is Liquid.
From www.numerade.com
SOLVED The element bromine at room temperature is a liquid with a The Element Bromine At Room Temperature Is Liquid Only two elements on the periodic table are liquid elements at technically designated room temperature: Its melting point is 265.8 k (−7.2 °c, 19 °f), while its boiling point is 332.0 k (58.8 °c, 137.8 °f). Bromine is the only nonmetallic element that is liquid at ordinary temperatures. It is the only non. Bromine is the only nonmetallic element on. The Element Bromine At Room Temperature Is Liquid.
From eliezernewsmerritt.blogspot.com
Bromine at Room Temperature The Element Bromine At Room Temperature Is Liquid Its melting point is 265.8 k (−7.2 °c, 19 °f), while its boiling point is 332.0 k (58.8 °c, 137.8 °f). It is the only non. Francium, cesium, gallium, and rubidium (all metals). Bromine is a chemical element with the symbol br and atomic number 35. Mercury (a metal) and bromine (a halogen). It has a very unpleasant, pungent and. The Element Bromine At Room Temperature Is Liquid.
From www.bartleby.com
Answered 3 At room temperature the element… bartleby The Element Bromine At Room Temperature Is Liquid It is reddish brown in color. Francium, cesium, gallium, and rubidium (all metals). The only other element that is a liquid at room temperature is mercury. Bromine is the only nonmetallic element on the periodic table that is a liquid near room temperature. Bromine is the only nonmetallic element that is liquid at ordinary temperatures. It has a very unpleasant,. The Element Bromine At Room Temperature Is Liquid.
From www.nagwa.com
Question Video Identifying the Image That Represents Bromine at Room The Element Bromine At Room Temperature Is Liquid It has a very unpleasant, pungent and choking smell. Bromine is the only nonmetallic element on the periodic table that is a liquid near room temperature. Bromine is liquid at room temperature. Bromine is a chemical element with the symbol br and atomic number 35. Francium, cesium, gallium, and rubidium (all metals). Four other elements are liquids at temperatures slightly. The Element Bromine At Room Temperature Is Liquid.
From www.numerade.com
SOLVED The element bromine at room temperature is a liquid with The Element Bromine At Room Temperature Is Liquid Francium, cesium, gallium, and rubidium (all metals). Bromine is a chemical element with the symbol br and atomic number 35. Four other elements are liquids at temperatures slightly warmer than room temperature: Bromine is the only nonmetallic liquid element. Its melting point is 265.8 k (−7.2 °c, 19 °f), while its boiling point is 332.0 k (58.8 °c, 137.8 °f).. The Element Bromine At Room Temperature Is Liquid.
From www.chegg.com
Solved QUESTION 4 Bromine is a liquid at room temperature. The Element Bromine At Room Temperature Is Liquid Bromine is liquid at room temperature. It has a very unpleasant, pungent and choking smell. Bromine is a chemical element with the symbol br and atomic number 35. Bromine is the only nonmetallic element that is liquid at ordinary temperatures. Four other elements are liquids at temperatures slightly warmer than room temperature: Its melting point is 265.8 k (−7.2 °c,. The Element Bromine At Room Temperature Is Liquid.