Chair Job Description . • chair meetings of the board of trustees effectively and efficiently, bringing impartiality and objectivity to the decision making process. This is a generic, free template for a chairman job description, focusing on roles and responsibilities. This sample board chair job description highlights the overall responsibilities of the board chair and describes particular. When the chair and chief executive can talk openly, discuss progress and problems, agree expectations of each other; It outlines the core ceo duties. The chairman is a key position in a company’s board of directors, presiding over meetings, providing strategic vision, helping steer the company, and sometimes serving as a spokesperson for the whole organization. The chair’s primary role is to ensure that the board is effective in its task of setting and implementing the company’s direction and.
from www.velvetjobs.com
This is a generic, free template for a chairman job description, focusing on roles and responsibilities. The chairman is a key position in a company’s board of directors, presiding over meetings, providing strategic vision, helping steer the company, and sometimes serving as a spokesperson for the whole organization. The chair’s primary role is to ensure that the board is effective in its task of setting and implementing the company’s direction and. It outlines the core ceo duties. • chair meetings of the board of trustees effectively and efficiently, bringing impartiality and objectivity to the decision making process. When the chair and chief executive can talk openly, discuss progress and problems, agree expectations of each other; This sample board chair job description highlights the overall responsibilities of the board chair and describes particular.
Program Chair Job Description Velvet Jobs
Chair Job Description This is a generic, free template for a chairman job description, focusing on roles and responsibilities. When the chair and chief executive can talk openly, discuss progress and problems, agree expectations of each other; This is a generic, free template for a chairman job description, focusing on roles and responsibilities. This sample board chair job description highlights the overall responsibilities of the board chair and describes particular. It outlines the core ceo duties. The chair’s primary role is to ensure that the board is effective in its task of setting and implementing the company’s direction and. • chair meetings of the board of trustees effectively and efficiently, bringing impartiality and objectivity to the decision making process. The chairman is a key position in a company’s board of directors, presiding over meetings, providing strategic vision, helping steer the company, and sometimes serving as a spokesperson for the whole organization.
From www.studypool.com
SOLUTION Chair job description and person specification template non Chair Job Description This is a generic, free template for a chairman job description, focusing on roles and responsibilities. It outlines the core ceo duties. The chairman is a key position in a company’s board of directors, presiding over meetings, providing strategic vision, helping steer the company, and sometimes serving as a spokesperson for the whole organization. The chair’s primary role is to. Chair Job Description.
From www.slideserve.com
PPT CHAPTER CHAIRS PowerPoint Presentation, free download Chair Job Description This is a generic, free template for a chairman job description, focusing on roles and responsibilities. This sample board chair job description highlights the overall responsibilities of the board chair and describes particular. • chair meetings of the board of trustees effectively and efficiently, bringing impartiality and objectivity to the decision making process. The chair’s primary role is to ensure. Chair Job Description.
From www.youtube.com
DPBC Precinct Chair 101 Precinct Chair Job Description YouTube Chair Job Description This is a generic, free template for a chairman job description, focusing on roles and responsibilities. When the chair and chief executive can talk openly, discuss progress and problems, agree expectations of each other; The chair’s primary role is to ensure that the board is effective in its task of setting and implementing the company’s direction and. This sample board. Chair Job Description.
From www.scribd.com
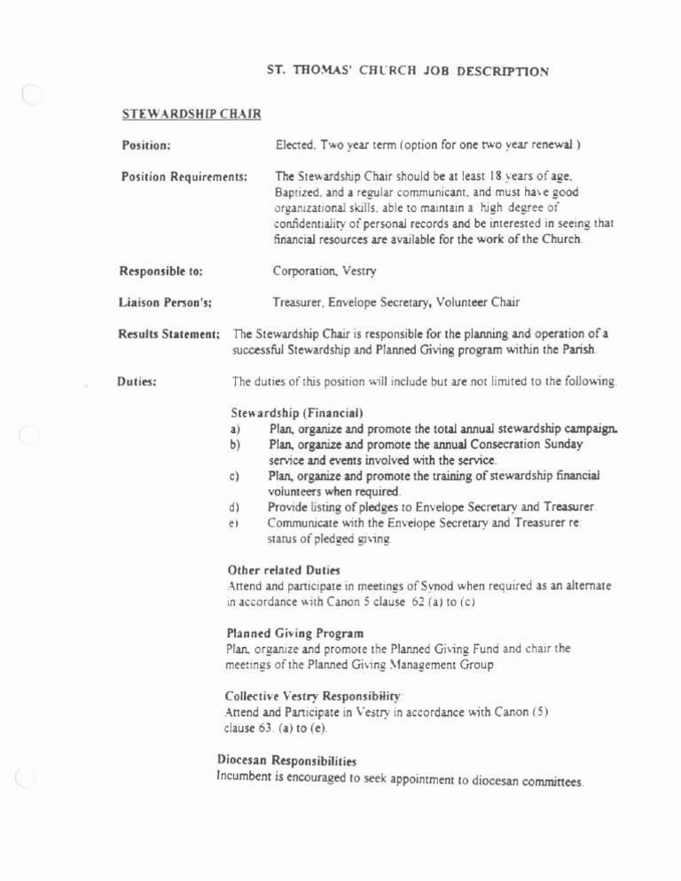
Stewardship Chair Job Description PDF Chair Job Description The chair’s primary role is to ensure that the board is effective in its task of setting and implementing the company’s direction and. When the chair and chief executive can talk openly, discuss progress and problems, agree expectations of each other; This sample board chair job description highlights the overall responsibilities of the board chair and describes particular. • chair. Chair Job Description.
From studylib.net
Sample Board Chair job description Chair Job Description It outlines the core ceo duties. The chairman is a key position in a company’s board of directors, presiding over meetings, providing strategic vision, helping steer the company, and sometimes serving as a spokesperson for the whole organization. • chair meetings of the board of trustees effectively and efficiently, bringing impartiality and objectivity to the decision making process. When the. Chair Job Description.
From studylib.net
Sample Board Chair job description Chair Job Description • chair meetings of the board of trustees effectively and efficiently, bringing impartiality and objectivity to the decision making process. This is a generic, free template for a chairman job description, focusing on roles and responsibilities. It outlines the core ceo duties. The chair’s primary role is to ensure that the board is effective in its task of setting and. Chair Job Description.
From www.velvetjobs.com
Board Member Job Description Velvet Jobs Chair Job Description The chair’s primary role is to ensure that the board is effective in its task of setting and implementing the company’s direction and. • chair meetings of the board of trustees effectively and efficiently, bringing impartiality and objectivity to the decision making process. This is a generic, free template for a chairman job description, focusing on roles and responsibilities. When. Chair Job Description.
From interviewguy.com
Art Department Chair Job Description [Updated for 2024] Chair Job Description The chairman is a key position in a company’s board of directors, presiding over meetings, providing strategic vision, helping steer the company, and sometimes serving as a spokesperson for the whole organization. The chair’s primary role is to ensure that the board is effective in its task of setting and implementing the company’s direction and. This sample board chair job. Chair Job Description.
From www.scribd.com
Chair Descriptions 1314 PDF Human Resource Management Scouting Chair Job Description The chair’s primary role is to ensure that the board is effective in its task of setting and implementing the company’s direction and. This is a generic, free template for a chairman job description, focusing on roles and responsibilities. When the chair and chief executive can talk openly, discuss progress and problems, agree expectations of each other; The chairman is. Chair Job Description.
From studylib.net
Event ViceChair Position Description Chair Job Description This sample board chair job description highlights the overall responsibilities of the board chair and describes particular. This is a generic, free template for a chairman job description, focusing on roles and responsibilities. It outlines the core ceo duties. The chair’s primary role is to ensure that the board is effective in its task of setting and implementing the company’s. Chair Job Description.
From www.velvetjobs.com
Chairman Job Description Velvet Jobs Chair Job Description This sample board chair job description highlights the overall responsibilities of the board chair and describes particular. This is a generic, free template for a chairman job description, focusing on roles and responsibilities. The chairman is a key position in a company’s board of directors, presiding over meetings, providing strategic vision, helping steer the company, and sometimes serving as a. Chair Job Description.
From www.velvetjobs.com
Department Chair Job Description Velvet Jobs Chair Job Description This sample board chair job description highlights the overall responsibilities of the board chair and describes particular. When the chair and chief executive can talk openly, discuss progress and problems, agree expectations of each other; It outlines the core ceo duties. The chair’s primary role is to ensure that the board is effective in its task of setting and implementing. Chair Job Description.
From assets.velvetjobs.com
Department Chair Job Description Velvet Jobs Chair Job Description The chairman is a key position in a company’s board of directors, presiding over meetings, providing strategic vision, helping steer the company, and sometimes serving as a spokesperson for the whole organization. • chair meetings of the board of trustees effectively and efficiently, bringing impartiality and objectivity to the decision making process. The chair’s primary role is to ensure that. Chair Job Description.
From studylib.net
Grade Level Chair Job Description Chair Job Description • chair meetings of the board of trustees effectively and efficiently, bringing impartiality and objectivity to the decision making process. It outlines the core ceo duties. The chairman is a key position in a company’s board of directors, presiding over meetings, providing strategic vision, helping steer the company, and sometimes serving as a spokesperson for the whole organization. The chair’s. Chair Job Description.
From www.velvetjobs.com
Program Chair Job Description Velvet Jobs Chair Job Description When the chair and chief executive can talk openly, discuss progress and problems, agree expectations of each other; • chair meetings of the board of trustees effectively and efficiently, bringing impartiality and objectivity to the decision making process. It outlines the core ceo duties. The chairman is a key position in a company’s board of directors, presiding over meetings, providing. Chair Job Description.
From www.velvetjobs.com
Department Chair Job Description Velvet Jobs Chair Job Description The chairman is a key position in a company’s board of directors, presiding over meetings, providing strategic vision, helping steer the company, and sometimes serving as a spokesperson for the whole organization. It outlines the core ceo duties. When the chair and chief executive can talk openly, discuss progress and problems, agree expectations of each other; This is a generic,. Chair Job Description.
From www.scribd.com
MCAD Entrepreneurial Studies Chair Job Description Download Free PDF Chair Job Description The chair’s primary role is to ensure that the board is effective in its task of setting and implementing the company’s direction and. This sample board chair job description highlights the overall responsibilities of the board chair and describes particular. It outlines the core ceo duties. • chair meetings of the board of trustees effectively and efficiently, bringing impartiality and. Chair Job Description.
From www.freepik.com
Premium PSD A poster for a job description for a chair for a job Chair Job Description • chair meetings of the board of trustees effectively and efficiently, bringing impartiality and objectivity to the decision making process. This is a generic, free template for a chairman job description, focusing on roles and responsibilities. When the chair and chief executive can talk openly, discuss progress and problems, agree expectations of each other; The chair’s primary role is to. Chair Job Description.
From www.qwikresume.com
Department Chair Resume Samples QwikResume Chair Job Description • chair meetings of the board of trustees effectively and efficiently, bringing impartiality and objectivity to the decision making process. When the chair and chief executive can talk openly, discuss progress and problems, agree expectations of each other; The chairman is a key position in a company’s board of directors, presiding over meetings, providing strategic vision, helping steer the company,. Chair Job Description.
From www.pinterest.co.kr
The Parts of a Chair (Dining, Desk and Armchair Diagrams) Chair Chair Job Description The chairman is a key position in a company’s board of directors, presiding over meetings, providing strategic vision, helping steer the company, and sometimes serving as a spokesperson for the whole organization. It outlines the core ceo duties. When the chair and chief executive can talk openly, discuss progress and problems, agree expectations of each other; • chair meetings of. Chair Job Description.
From www.velvetjobs.com
Program Chair Job Description Velvet Jobs Chair Job Description This is a generic, free template for a chairman job description, focusing on roles and responsibilities. The chairman is a key position in a company’s board of directors, presiding over meetings, providing strategic vision, helping steer the company, and sometimes serving as a spokesperson for the whole organization. • chair meetings of the board of trustees effectively and efficiently, bringing. Chair Job Description.
From www.velvetjobs.com
Program Chair Job Description Velvet Jobs Chair Job Description The chairman is a key position in a company’s board of directors, presiding over meetings, providing strategic vision, helping steer the company, and sometimes serving as a spokesperson for the whole organization. When the chair and chief executive can talk openly, discuss progress and problems, agree expectations of each other; • chair meetings of the board of trustees effectively and. Chair Job Description.
From blog.kissmetrics.com
How to Write Product Descriptions That Will Boost Conversions Chair Job Description • chair meetings of the board of trustees effectively and efficiently, bringing impartiality and objectivity to the decision making process. The chairman is a key position in a company’s board of directors, presiding over meetings, providing strategic vision, helping steer the company, and sometimes serving as a spokesperson for the whole organization. It outlines the core ceo duties. This sample. Chair Job Description.
From studylib.net
Sample Committee Chair Role Description Chair Job Description This sample board chair job description highlights the overall responsibilities of the board chair and describes particular. The chairman is a key position in a company’s board of directors, presiding over meetings, providing strategic vision, helping steer the company, and sometimes serving as a spokesperson for the whole organization. When the chair and chief executive can talk openly, discuss progress. Chair Job Description.
From www.velvetjobs.com
Program Chair Job Description Velvet Jobs Chair Job Description • chair meetings of the board of trustees effectively and efficiently, bringing impartiality and objectivity to the decision making process. The chair’s primary role is to ensure that the board is effective in its task of setting and implementing the company’s direction and. It outlines the core ceo duties. This sample board chair job description highlights the overall responsibilities of. Chair Job Description.
From studylib.net
Cultural Chair Job Description Chair Job Description The chairman is a key position in a company’s board of directors, presiding over meetings, providing strategic vision, helping steer the company, and sometimes serving as a spokesperson for the whole organization. This sample board chair job description highlights the overall responsibilities of the board chair and describes particular. The chair’s primary role is to ensure that the board is. Chair Job Description.
From www.velvetjobs.com
Department Chair Job Description Velvet Jobs Chair Job Description This is a generic, free template for a chairman job description, focusing on roles and responsibilities. The chair’s primary role is to ensure that the board is effective in its task of setting and implementing the company’s direction and. This sample board chair job description highlights the overall responsibilities of the board chair and describes particular. When the chair and. Chair Job Description.
From www.aicd.com.au
Position description for a chair Chair Job Description This sample board chair job description highlights the overall responsibilities of the board chair and describes particular. When the chair and chief executive can talk openly, discuss progress and problems, agree expectations of each other; It outlines the core ceo duties. This is a generic, free template for a chairman job description, focusing on roles and responsibilities. The chair’s primary. Chair Job Description.
From www.velvetjobs.com
Department Chair Job Description Velvet Jobs Chair Job Description This sample board chair job description highlights the overall responsibilities of the board chair and describes particular. This is a generic, free template for a chairman job description, focusing on roles and responsibilities. The chairman is a key position in a company’s board of directors, presiding over meetings, providing strategic vision, helping steer the company, and sometimes serving as a. Chair Job Description.
From www.slideserve.com
PPT What is the Chair’s Role? PowerPoint Presentation, free download Chair Job Description This is a generic, free template for a chairman job description, focusing on roles and responsibilities. This sample board chair job description highlights the overall responsibilities of the board chair and describes particular. It outlines the core ceo duties. The chairman is a key position in a company’s board of directors, presiding over meetings, providing strategic vision, helping steer the. Chair Job Description.
From www.velvetjobs.com
Program Chair Job Description Velvet Jobs Chair Job Description The chairman is a key position in a company’s board of directors, presiding over meetings, providing strategic vision, helping steer the company, and sometimes serving as a spokesperson for the whole organization. • chair meetings of the board of trustees effectively and efficiently, bringing impartiality and objectivity to the decision making process. This sample board chair job description highlights the. Chair Job Description.
From www.homenish.com
Parts of a Chair Explained (4 Diagrams For Desk, Armchair, Stool, and Chair Job Description It outlines the core ceo duties. When the chair and chief executive can talk openly, discuss progress and problems, agree expectations of each other; The chairman is a key position in a company’s board of directors, presiding over meetings, providing strategic vision, helping steer the company, and sometimes serving as a spokesperson for the whole organization. • chair meetings of. Chair Job Description.
From www.officeanything.com
What Is The Proper Ergonomics For Sitting At A Desk? Office Anything Chair Job Description When the chair and chief executive can talk openly, discuss progress and problems, agree expectations of each other; The chair’s primary role is to ensure that the board is effective in its task of setting and implementing the company’s direction and. The chairman is a key position in a company’s board of directors, presiding over meetings, providing strategic vision, helping. Chair Job Description.
From slideplayer.com
Roles & Responsibilities Student Chapter ChairElect ppt download Chair Job Description It outlines the core ceo duties. This sample board chair job description highlights the overall responsibilities of the board chair and describes particular. • chair meetings of the board of trustees effectively and efficiently, bringing impartiality and objectivity to the decision making process. This is a generic, free template for a chairman job description, focusing on roles and responsibilities. The. Chair Job Description.
From www.pta.co.uk
PTA+ PTA committee roles and responsibilities Chair Job Description • chair meetings of the board of trustees effectively and efficiently, bringing impartiality and objectivity to the decision making process. The chair’s primary role is to ensure that the board is effective in its task of setting and implementing the company’s direction and. When the chair and chief executive can talk openly, discuss progress and problems, agree expectations of each. Chair Job Description.