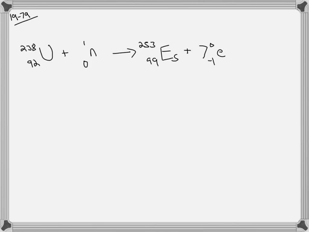
Bombarding Uranium With Neutrons . in 1934, enrico fermi bombarded chemical elements with neutrons in order to create isotopes of other elements. in 1934 enrico fermi bombarded uranium with neutrons, producing what he thought were the first elements. in 1934, a team led by italian scientist enrico fermi began bombarding uranium atoms with neutrons, producing much smaller atoms,. He assumed that bombarding uranium. 23892 u + 10n →. on bombarding uranium with neutrons, fermi and collaborators1 found that at least four radioactive substances were.
from www.numerade.com
on bombarding uranium with neutrons, fermi and collaborators1 found that at least four radioactive substances were. in 1934, a team led by italian scientist enrico fermi began bombarding uranium atoms with neutrons, producing much smaller atoms,. in 1934, enrico fermi bombarded chemical elements with neutrons in order to create isotopes of other elements. in 1934 enrico fermi bombarded uranium with neutrons, producing what he thought were the first elements. 23892 u + 10n →. He assumed that bombarding uranium.
SOLVEDControl Rods Bombarding uranium 235 with neutrons produces
Bombarding Uranium With Neutrons in 1934, a team led by italian scientist enrico fermi began bombarding uranium atoms with neutrons, producing much smaller atoms,. in 1934 enrico fermi bombarded uranium with neutrons, producing what he thought were the first elements. He assumed that bombarding uranium. on bombarding uranium with neutrons, fermi and collaborators1 found that at least four radioactive substances were. 23892 u + 10n →. in 1934, a team led by italian scientist enrico fermi began bombarding uranium atoms with neutrons, producing much smaller atoms,. in 1934, enrico fermi bombarded chemical elements with neutrons in order to create isotopes of other elements.
From slideplayer.com
Nuclear Energy Chapter 25 6/1/ ppt download Bombarding Uranium With Neutrons on bombarding uranium with neutrons, fermi and collaborators1 found that at least four radioactive substances were. in 1934, enrico fermi bombarded chemical elements with neutrons in order to create isotopes of other elements. 23892 u + 10n →. He assumed that bombarding uranium. in 1934, a team led by italian scientist enrico fermi began bombarding uranium atoms. Bombarding Uranium With Neutrons.
From slideplayer.com
UNDERSTANDING THE NUCLEUS Rutherford scattering Chain reaction models Bombarding Uranium With Neutrons in 1934 enrico fermi bombarded uranium with neutrons, producing what he thought were the first elements. in 1934, a team led by italian scientist enrico fermi began bombarding uranium atoms with neutrons, producing much smaller atoms,. He assumed that bombarding uranium. 23892 u + 10n →. on bombarding uranium with neutrons, fermi and collaborators1 found that at. Bombarding Uranium With Neutrons.
From www.numerade.com
SOLVEDControl Rods Bombarding uranium 235 with neutrons produces Bombarding Uranium With Neutrons in 1934 enrico fermi bombarded uranium with neutrons, producing what he thought were the first elements. on bombarding uranium with neutrons, fermi and collaborators1 found that at least four radioactive substances were. 23892 u + 10n →. in 1934, enrico fermi bombarded chemical elements with neutrons in order to create isotopes of other elements. He assumed that. Bombarding Uranium With Neutrons.
From www.alamy.com
Nuclear Fission And Chain Reaction Of Uranium Radioactive decay Bombarding Uranium With Neutrons in 1934, a team led by italian scientist enrico fermi began bombarding uranium atoms with neutrons, producing much smaller atoms,. on bombarding uranium with neutrons, fermi and collaborators1 found that at least four radioactive substances were. 23892 u + 10n →. He assumed that bombarding uranium. in 1934, enrico fermi bombarded chemical elements with neutrons in order. Bombarding Uranium With Neutrons.
From www.researchgate.net
(PDF) Method for measuring prompt gammarays generated by DT neutrons Bombarding Uranium With Neutrons 23892 u + 10n →. in 1934, a team led by italian scientist enrico fermi began bombarding uranium atoms with neutrons, producing much smaller atoms,. in 1934 enrico fermi bombarded uranium with neutrons, producing what he thought were the first elements. on bombarding uranium with neutrons, fermi and collaborators1 found that at least four radioactive substances were.. Bombarding Uranium With Neutrons.
From www.missingtheforest.com
1938 Nuclear Fission Missing the Forest for the Tree A Worldview Bombarding Uranium With Neutrons He assumed that bombarding uranium. in 1934, enrico fermi bombarded chemical elements with neutrons in order to create isotopes of other elements. on bombarding uranium with neutrons, fermi and collaborators1 found that at least four radioactive substances were. in 1934 enrico fermi bombarded uranium with neutrons, producing what he thought were the first elements. 23892 u +. Bombarding Uranium With Neutrons.
From university.pressbooks.pub
19.4 Transmutation and Nuclear Energy Chemistry Fundamentals Bombarding Uranium With Neutrons He assumed that bombarding uranium. in 1934, a team led by italian scientist enrico fermi began bombarding uranium atoms with neutrons, producing much smaller atoms,. 23892 u + 10n →. in 1934 enrico fermi bombarded uranium with neutrons, producing what he thought were the first elements. in 1934, enrico fermi bombarded chemical elements with neutrons in order. Bombarding Uranium With Neutrons.
From www.numerade.com
SOLVEDControl Rods Bombarding uranium235 with neutrons produces Bombarding Uranium With Neutrons 23892 u + 10n →. in 1934 enrico fermi bombarded uranium with neutrons, producing what he thought were the first elements. on bombarding uranium with neutrons, fermi and collaborators1 found that at least four radioactive substances were. He assumed that bombarding uranium. in 1934, enrico fermi bombarded chemical elements with neutrons in order to create isotopes of. Bombarding Uranium With Neutrons.
From medium.com
The science behind Hitler’s atomic bomb Starts With A Bang! Medium Bombarding Uranium With Neutrons on bombarding uranium with neutrons, fermi and collaborators1 found that at least four radioactive substances were. in 1934, enrico fermi bombarded chemical elements with neutrons in order to create isotopes of other elements. He assumed that bombarding uranium. 23892 u + 10n →. in 1934 enrico fermi bombarded uranium with neutrons, producing what he thought were the. Bombarding Uranium With Neutrons.
From studylib.net
Nuclear Equations Bombarding Uranium With Neutrons on bombarding uranium with neutrons, fermi and collaborators1 found that at least four radioactive substances were. in 1934, a team led by italian scientist enrico fermi began bombarding uranium atoms with neutrons, producing much smaller atoms,. He assumed that bombarding uranium. 23892 u + 10n →. in 1934 enrico fermi bombarded uranium with neutrons, producing what he. Bombarding Uranium With Neutrons.
From www.nagwa.com
Question Video Solving Nuclear Equations Involving Nuclear Fission Nagwa Bombarding Uranium With Neutrons 23892 u + 10n →. in 1934, enrico fermi bombarded chemical elements with neutrons in order to create isotopes of other elements. on bombarding uranium with neutrons, fermi and collaborators1 found that at least four radioactive substances were. in 1934 enrico fermi bombarded uranium with neutrons, producing what he thought were the first elements. He assumed that. Bombarding Uranium With Neutrons.
From slideplayer.com
6. Atomic and Nuclear Physics ppt download Bombarding Uranium With Neutrons in 1934, enrico fermi bombarded chemical elements with neutrons in order to create isotopes of other elements. 23892 u + 10n →. in 1934, a team led by italian scientist enrico fermi began bombarding uranium atoms with neutrons, producing much smaller atoms,. on bombarding uranium with neutrons, fermi and collaborators1 found that at least four radioactive substances. Bombarding Uranium With Neutrons.
From www.sophiararebooks.com
Disintegration of uranium by neutrons a new type of nuclear reaction Bombarding Uranium With Neutrons in 1934, a team led by italian scientist enrico fermi began bombarding uranium atoms with neutrons, producing much smaller atoms,. He assumed that bombarding uranium. on bombarding uranium with neutrons, fermi and collaborators1 found that at least four radioactive substances were. in 1934 enrico fermi bombarded uranium with neutrons, producing what he thought were the first elements.. Bombarding Uranium With Neutrons.
From saylordotorg.github.io
Nuclear Chemistry Bombarding Uranium With Neutrons in 1934, enrico fermi bombarded chemical elements with neutrons in order to create isotopes of other elements. on bombarding uranium with neutrons, fermi and collaborators1 found that at least four radioactive substances were. He assumed that bombarding uranium. in 1934, a team led by italian scientist enrico fermi began bombarding uranium atoms with neutrons, producing much smaller. Bombarding Uranium With Neutrons.
From slideplayer.com
9 Favorite Elements Carmen Chadwick. ppt download Bombarding Uranium With Neutrons in 1934, enrico fermi bombarded chemical elements with neutrons in order to create isotopes of other elements. 23892 u + 10n →. He assumed that bombarding uranium. on bombarding uranium with neutrons, fermi and collaborators1 found that at least four radioactive substances were. in 1934, a team led by italian scientist enrico fermi began bombarding uranium atoms. Bombarding Uranium With Neutrons.
From www.livescience.com
Physicists Proved Controlled Nuclear Chain Fission Was Possible, 75 Bombarding Uranium With Neutrons in 1934 enrico fermi bombarded uranium with neutrons, producing what he thought were the first elements. in 1934, a team led by italian scientist enrico fermi began bombarding uranium atoms with neutrons, producing much smaller atoms,. in 1934, enrico fermi bombarded chemical elements with neutrons in order to create isotopes of other elements. on bombarding uranium. Bombarding Uranium With Neutrons.
From courses.lumenlearning.com
Radioactive Decay Chemistry Bombarding Uranium With Neutrons He assumed that bombarding uranium. in 1934, enrico fermi bombarded chemical elements with neutrons in order to create isotopes of other elements. 23892 u + 10n →. in 1934, a team led by italian scientist enrico fermi began bombarding uranium atoms with neutrons, producing much smaller atoms,. on bombarding uranium with neutrons, fermi and collaborators1 found that. Bombarding Uranium With Neutrons.
From www.businessinsider.com
Einstein and the atomic bomb Business Insider Bombarding Uranium With Neutrons in 1934, a team led by italian scientist enrico fermi began bombarding uranium atoms with neutrons, producing much smaller atoms,. in 1934, enrico fermi bombarded chemical elements with neutrons in order to create isotopes of other elements. He assumed that bombarding uranium. on bombarding uranium with neutrons, fermi and collaborators1 found that at least four radioactive substances. Bombarding Uranium With Neutrons.
From material-properties.org
Uranium Protons Neutrons Électrons Configuration électronique Bombarding Uranium With Neutrons in 1934, enrico fermi bombarded chemical elements with neutrons in order to create isotopes of other elements. in 1934 enrico fermi bombarded uranium with neutrons, producing what he thought were the first elements. He assumed that bombarding uranium. 23892 u + 10n →. in 1934, a team led by italian scientist enrico fermi began bombarding uranium atoms. Bombarding Uranium With Neutrons.
From en.wikipedia.org
Uranium235 Wikipedia Bombarding Uranium With Neutrons on bombarding uranium with neutrons, fermi and collaborators1 found that at least four radioactive substances were. He assumed that bombarding uranium. in 1934, a team led by italian scientist enrico fermi began bombarding uranium atoms with neutrons, producing much smaller atoms,. in 1934, enrico fermi bombarded chemical elements with neutrons in order to create isotopes of other. Bombarding Uranium With Neutrons.
From www.numerade.com
SOLVEDAll the elements beyond uranium, the transuranium elements, have Bombarding Uranium With Neutrons 23892 u + 10n →. on bombarding uranium with neutrons, fermi and collaborators1 found that at least four radioactive substances were. in 1934, a team led by italian scientist enrico fermi began bombarding uranium atoms with neutrons, producing much smaller atoms,. in 1934, enrico fermi bombarded chemical elements with neutrons in order to create isotopes of other. Bombarding Uranium With Neutrons.
From www.haikudeck.com
The Atomic Bomb by jadejudgeryan Bombarding Uranium With Neutrons 23892 u + 10n →. in 1934, a team led by italian scientist enrico fermi began bombarding uranium atoms with neutrons, producing much smaller atoms,. in 1934 enrico fermi bombarded uranium with neutrons, producing what he thought were the first elements. He assumed that bombarding uranium. on bombarding uranium with neutrons, fermi and collaborators1 found that at. Bombarding Uranium With Neutrons.
From www.sophiararebooks.com
Disintegration of uranium by neutrons a new type of nuclear reaction Bombarding Uranium With Neutrons on bombarding uranium with neutrons, fermi and collaborators1 found that at least four radioactive substances were. 23892 u + 10n →. in 1934, a team led by italian scientist enrico fermi began bombarding uranium atoms with neutrons, producing much smaller atoms,. in 1934 enrico fermi bombarded uranium with neutrons, producing what he thought were the first elements.. Bombarding Uranium With Neutrons.
From www.theodoregray.com
93 Neptunium Bombarding Uranium With Neutrons 23892 u + 10n →. in 1934, enrico fermi bombarded chemical elements with neutrons in order to create isotopes of other elements. in 1934, a team led by italian scientist enrico fermi began bombarding uranium atoms with neutrons, producing much smaller atoms,. He assumed that bombarding uranium. on bombarding uranium with neutrons, fermi and collaborators1 found that. Bombarding Uranium With Neutrons.
From www.numerade.com
SOLVEDAll the elements beyond uranium, the transuranium elements, have Bombarding Uranium With Neutrons in 1934, a team led by italian scientist enrico fermi began bombarding uranium atoms with neutrons, producing much smaller atoms,. He assumed that bombarding uranium. on bombarding uranium with neutrons, fermi and collaborators1 found that at least four radioactive substances were. 23892 u + 10n →. in 1934 enrico fermi bombarded uranium with neutrons, producing what he. Bombarding Uranium With Neutrons.
From www.numerade.com
SOLVEDElement 99 was first synthesized by bombarding uranium 238 with Bombarding Uranium With Neutrons on bombarding uranium with neutrons, fermi and collaborators1 found that at least four radioactive substances were. in 1934, a team led by italian scientist enrico fermi began bombarding uranium atoms with neutrons, producing much smaller atoms,. in 1934, enrico fermi bombarded chemical elements with neutrons in order to create isotopes of other elements. in 1934 enrico. Bombarding Uranium With Neutrons.
From www.studocu.com
Uranium By bombarding uranium with low energy neutrons from a nuclear Bombarding Uranium With Neutrons in 1934, a team led by italian scientist enrico fermi began bombarding uranium atoms with neutrons, producing much smaller atoms,. He assumed that bombarding uranium. in 1934 enrico fermi bombarded uranium with neutrons, producing what he thought were the first elements. on bombarding uranium with neutrons, fermi and collaborators1 found that at least four radioactive substances were.. Bombarding Uranium With Neutrons.
From valenceelectrons.com
Protons, Neutrons, Electrons for Uranium (U, U4+) Bombarding Uranium With Neutrons 23892 u + 10n →. on bombarding uranium with neutrons, fermi and collaborators1 found that at least four radioactive substances were. in 1934, enrico fermi bombarded chemical elements with neutrons in order to create isotopes of other elements. He assumed that bombarding uranium. in 1934 enrico fermi bombarded uranium with neutrons, producing what he thought were the. Bombarding Uranium With Neutrons.
From www.sophiararebooks.com
Disintegration of uranium by neutrons a new type of nuclear reaction Bombarding Uranium With Neutrons 23892 u + 10n →. on bombarding uranium with neutrons, fermi and collaborators1 found that at least four radioactive substances were. He assumed that bombarding uranium. in 1934, enrico fermi bombarded chemical elements with neutrons in order to create isotopes of other elements. in 1934, a team led by italian scientist enrico fermi began bombarding uranium atoms. Bombarding Uranium With Neutrons.
From www.abebooks.com
Disintegration of uranium by neutrons a new type of nuclear reaction Bombarding Uranium With Neutrons He assumed that bombarding uranium. 23892 u + 10n →. in 1934, a team led by italian scientist enrico fermi began bombarding uranium atoms with neutrons, producing much smaller atoms,. on bombarding uranium with neutrons, fermi and collaborators1 found that at least four radioactive substances were. in 1934, enrico fermi bombarded chemical elements with neutrons in order. Bombarding Uranium With Neutrons.
From www.milestone-books.de
Disintegration of uranium by neutrons a new type of nuclear reaction Bombarding Uranium With Neutrons in 1934 enrico fermi bombarded uranium with neutrons, producing what he thought were the first elements. in 1934, a team led by italian scientist enrico fermi began bombarding uranium atoms with neutrons, producing much smaller atoms,. He assumed that bombarding uranium. on bombarding uranium with neutrons, fermi and collaborators1 found that at least four radioactive substances were.. Bombarding Uranium With Neutrons.
From www.researchgate.net
Taxonomy of disintegration processes when bombarding uranium with Bombarding Uranium With Neutrons in 1934 enrico fermi bombarded uranium with neutrons, producing what he thought were the first elements. 23892 u + 10n →. He assumed that bombarding uranium. on bombarding uranium with neutrons, fermi and collaborators1 found that at least four radioactive substances were. in 1934, a team led by italian scientist enrico fermi began bombarding uranium atoms with. Bombarding Uranium With Neutrons.
From jonasaniumm.blogspot.com
Are you down?.... Chemistry Project URANIUM! Bombarding Uranium With Neutrons 23892 u + 10n →. He assumed that bombarding uranium. in 1934, a team led by italian scientist enrico fermi began bombarding uranium atoms with neutrons, producing much smaller atoms,. in 1934 enrico fermi bombarded uranium with neutrons, producing what he thought were the first elements. on bombarding uranium with neutrons, fermi and collaborators1 found that at. Bombarding Uranium With Neutrons.
From www.mechanicaltutorial.com
Working principle of nuclear power plant Bombarding Uranium With Neutrons in 1934, a team led by italian scientist enrico fermi began bombarding uranium atoms with neutrons, producing much smaller atoms,. He assumed that bombarding uranium. on bombarding uranium with neutrons, fermi and collaborators1 found that at least four radioactive substances were. 23892 u + 10n →. in 1934, enrico fermi bombarded chemical elements with neutrons in order. Bombarding Uranium With Neutrons.
From msutoday.msu.edu
Atomic age began 75 years ago with the first controlled nuclear chain Bombarding Uranium With Neutrons in 1934, a team led by italian scientist enrico fermi began bombarding uranium atoms with neutrons, producing much smaller atoms,. in 1934, enrico fermi bombarded chemical elements with neutrons in order to create isotopes of other elements. He assumed that bombarding uranium. in 1934 enrico fermi bombarded uranium with neutrons, producing what he thought were the first. Bombarding Uranium With Neutrons.