Equation In Standard Form Of A Line Whose Intercepts Are Fractions . The standard form of a linear equation is ax+by=c. For the equation of a line in the standard form, $$ ax + by = c $$ where $$ a \ne 0 $$ and $$ b \ne 0$$, you can use the formulas below to find the. First we solve the equation \ (2x +3y = 6\) for \ (y\). A, b, and c are constants, while x and y are variables. How to write a linear equation in. Standard form is useful for solving systems of equations and for determining intercepts; Begin by isolating all terms containing y on one side of the equation, moving or. Standard form of an equation is: Solve the equation \ (2x +3y = 6\) for \ (y\) and plot the result. The only main benefit of standard form is that it is slightly easier to compute the intercepts of the line; Let’s go over some examples of how to write the equation of a straight line in linear form [latex]y = mx + b [/latex]. And in turn, graph the line.
from www.flexiprep.com
How to write a linear equation in. Let’s go over some examples of how to write the equation of a straight line in linear form [latex]y = mx + b [/latex]. The only main benefit of standard form is that it is slightly easier to compute the intercepts of the line; Begin by isolating all terms containing y on one side of the equation, moving or. First we solve the equation \ (2x +3y = 6\) for \ (y\). For the equation of a line in the standard form, $$ ax + by = c $$ where $$ a \ne 0 $$ and $$ b \ne 0$$, you can use the formulas below to find the. Solve the equation \ (2x +3y = 6\) for \ (y\) and plot the result. Standard form of an equation is: And in turn, graph the line. A, b, and c are constants, while x and y are variables.
NCERT Class 11 Mathematics Solutions Chapter 10 Straight Lines
Equation In Standard Form Of A Line Whose Intercepts Are Fractions Solve the equation \ (2x +3y = 6\) for \ (y\) and plot the result. The standard form of a linear equation is ax+by=c. For the equation of a line in the standard form, $$ ax + by = c $$ where $$ a \ne 0 $$ and $$ b \ne 0$$, you can use the formulas below to find the. How to write a linear equation in. First we solve the equation \ (2x +3y = 6\) for \ (y\). Solve the equation \ (2x +3y = 6\) for \ (y\) and plot the result. Begin by isolating all terms containing y on one side of the equation, moving or. Standard form is useful for solving systems of equations and for determining intercepts; And in turn, graph the line. Let’s go over some examples of how to write the equation of a straight line in linear form [latex]y = mx + b [/latex]. A, b, and c are constants, while x and y are variables. Standard form of an equation is: The only main benefit of standard form is that it is slightly easier to compute the intercepts of the line;
From www.pinterest.com
standard form linear equation templates linearequationsstandardform Equation In Standard Form Of A Line Whose Intercepts Are Fractions And in turn, graph the line. Begin by isolating all terms containing y on one side of the equation, moving or. Let’s go over some examples of how to write the equation of a straight line in linear form [latex]y = mx + b [/latex]. Solve the equation \ (2x +3y = 6\) for \ (y\) and plot the result.. Equation In Standard Form Of A Line Whose Intercepts Are Fractions.
From printablelibbrained.z13.web.core.windows.net
Graph Slope Intercept Form Worksheet Equation In Standard Form Of A Line Whose Intercepts Are Fractions The only main benefit of standard form is that it is slightly easier to compute the intercepts of the line; And in turn, graph the line. Standard form is useful for solving systems of equations and for determining intercepts; The standard form of a linear equation is ax+by=c. Solve the equation \ (2x +3y = 6\) for \ (y\) and. Equation In Standard Form Of A Line Whose Intercepts Are Fractions.
From www.slideserve.com
PPT STANDARD FORM OF A LINEAR EQUATION Day 1 PowerPoint Presentation Equation In Standard Form Of A Line Whose Intercepts Are Fractions And in turn, graph the line. Begin by isolating all terms containing y on one side of the equation, moving or. First we solve the equation \ (2x +3y = 6\) for \ (y\). Standard form of an equation is: A, b, and c are constants, while x and y are variables. Solve the equation \ (2x +3y = 6\). Equation In Standard Form Of A Line Whose Intercepts Are Fractions.
From tvemhaber.com
Slope Intercept Form Versus Standard Form Reasons Why Slope Intercept Equation In Standard Form Of A Line Whose Intercepts Are Fractions Let’s go over some examples of how to write the equation of a straight line in linear form [latex]y = mx + b [/latex]. The only main benefit of standard form is that it is slightly easier to compute the intercepts of the line; Standard form is useful for solving systems of equations and for determining intercepts; How to write. Equation In Standard Form Of A Line Whose Intercepts Are Fractions.
From fyonegztk.blob.core.windows.net
Line Equation Intercept Form at Lourdes Scott blog Equation In Standard Form Of A Line Whose Intercepts Are Fractions First we solve the equation \ (2x +3y = 6\) for \ (y\). The standard form of a linear equation is ax+by=c. Standard form is useful for solving systems of equations and for determining intercepts; Standard form of an equation is: The only main benefit of standard form is that it is slightly easier to compute the intercepts of the. Equation In Standard Form Of A Line Whose Intercepts Are Fractions.
From www.tessshebaylo.com
Slope Intercept Form Of The Equation A Line Perpendicular Tessshebaylo Equation In Standard Form Of A Line Whose Intercepts Are Fractions Standard form is useful for solving systems of equations and for determining intercepts; Standard form of an equation is: The standard form of a linear equation is ax+by=c. Begin by isolating all terms containing y on one side of the equation, moving or. First we solve the equation \ (2x +3y = 6\) for \ (y\). A, b, and c. Equation In Standard Form Of A Line Whose Intercepts Are Fractions.
From www.youtube.com
How to Find the X and Y Intercept of a Line ( Example 1 ) Intermediate Equation In Standard Form Of A Line Whose Intercepts Are Fractions The standard form of a linear equation is ax+by=c. A, b, and c are constants, while x and y are variables. First we solve the equation \ (2x +3y = 6\) for \ (y\). The only main benefit of standard form is that it is slightly easier to compute the intercepts of the line; How to write a linear equation. Equation In Standard Form Of A Line Whose Intercepts Are Fractions.
From learningzonegregorin2m.z4.web.core.windows.net
Interpreting Slope And Yintercept Worksheet Equation In Standard Form Of A Line Whose Intercepts Are Fractions A, b, and c are constants, while x and y are variables. First we solve the equation \ (2x +3y = 6\) for \ (y\). The standard form of a linear equation is ax+by=c. Begin by isolating all terms containing y on one side of the equation, moving or. Standard form of an equation is: Standard form is useful for. Equation In Standard Form Of A Line Whose Intercepts Are Fractions.
From learningschoolsneakers.z14.web.core.windows.net
Slope Intercept Form Parallel Equation In Standard Form Of A Line Whose Intercepts Are Fractions A, b, and c are constants, while x and y are variables. For the equation of a line in the standard form, $$ ax + by = c $$ where $$ a \ne 0 $$ and $$ b \ne 0$$, you can use the formulas below to find the. And in turn, graph the line. Let’s go over some examples. Equation In Standard Form Of A Line Whose Intercepts Are Fractions.
From mathsathome.com
How to Find x and y Axis Intercepts Equation In Standard Form Of A Line Whose Intercepts Are Fractions And in turn, graph the line. The standard form of a linear equation is ax+by=c. Solve the equation \ (2x +3y = 6\) for \ (y\) and plot the result. Standard form of an equation is: First we solve the equation \ (2x +3y = 6\) for \ (y\). Let’s go over some examples of how to write the equation. Equation In Standard Form Of A Line Whose Intercepts Are Fractions.
From www.flexiprep.com
NCERT Class 11 Mathematics Solutions Chapter 10 Straight Lines Equation In Standard Form Of A Line Whose Intercepts Are Fractions A, b, and c are constants, while x and y are variables. For the equation of a line in the standard form, $$ ax + by = c $$ where $$ a \ne 0 $$ and $$ b \ne 0$$, you can use the formulas below to find the. Let’s go over some examples of how to write the equation. Equation In Standard Form Of A Line Whose Intercepts Are Fractions.
From www.youtube.com
Ex Find the Equation of a Line in Slope Intercept Form Given the X and Equation In Standard Form Of A Line Whose Intercepts Are Fractions Standard form of an equation is: The only main benefit of standard form is that it is slightly easier to compute the intercepts of the line; Standard form is useful for solving systems of equations and for determining intercepts; How to write a linear equation in. First we solve the equation \ (2x +3y = 6\) for \ (y\). The. Equation In Standard Form Of A Line Whose Intercepts Are Fractions.
From www.youtube.com
Ex 2 Find the Equation of a Line in Slope Intercept Form Given Two Equation In Standard Form Of A Line Whose Intercepts Are Fractions First we solve the equation \ (2x +3y = 6\) for \ (y\). Standard form of an equation is: The standard form of a linear equation is ax+by=c. How to write a linear equation in. The only main benefit of standard form is that it is slightly easier to compute the intercepts of the line; For the equation of a. Equation In Standard Form Of A Line Whose Intercepts Are Fractions.
From printablelibvera.z13.web.core.windows.net
Finding The Equation Of A Line From A Graph Worksheets Equation In Standard Form Of A Line Whose Intercepts Are Fractions How to write a linear equation in. And in turn, graph the line. A, b, and c are constants, while x and y are variables. Standard form of an equation is: The standard form of a linear equation is ax+by=c. Let’s go over some examples of how to write the equation of a straight line in linear form [latex]y =. Equation In Standard Form Of A Line Whose Intercepts Are Fractions.
From learningzonemcguinness.z13.web.core.windows.net
Word Problems For Slope Intercept Formula Equation In Standard Form Of A Line Whose Intercepts Are Fractions For the equation of a line in the standard form, $$ ax + by = c $$ where $$ a \ne 0 $$ and $$ b \ne 0$$, you can use the formulas below to find the. The standard form of a linear equation is ax+by=c. The only main benefit of standard form is that it is slightly easier to. Equation In Standard Form Of A Line Whose Intercepts Are Fractions.
From www.flexiprep.com
NCERT Class 11 Mathematics Solutions Chapter 10 Straight Lines Equation In Standard Form Of A Line Whose Intercepts Are Fractions And in turn, graph the line. Begin by isolating all terms containing y on one side of the equation, moving or. How to write a linear equation in. First we solve the equation \ (2x +3y = 6\) for \ (y\). Standard form of an equation is: The standard form of a linear equation is ax+by=c. The only main benefit. Equation In Standard Form Of A Line Whose Intercepts Are Fractions.
From fyoknomzw.blob.core.windows.net
Find Quadratic Equation From Roots And Y Intercept Calculator at Equation In Standard Form Of A Line Whose Intercepts Are Fractions And in turn, graph the line. A, b, and c are constants, while x and y are variables. For the equation of a line in the standard form, $$ ax + by = c $$ where $$ a \ne 0 $$ and $$ b \ne 0$$, you can use the formulas below to find the. Begin by isolating all terms. Equation In Standard Form Of A Line Whose Intercepts Are Fractions.
From www.teachoo.com
Ex 9.2, 11 Find equation of line that cuts equal intercepts Equation In Standard Form Of A Line Whose Intercepts Are Fractions The only main benefit of standard form is that it is slightly easier to compute the intercepts of the line; Standard form of an equation is: First we solve the equation \ (2x +3y = 6\) for \ (y\). A, b, and c are constants, while x and y are variables. For the equation of a line in the standard. Equation In Standard Form Of A Line Whose Intercepts Are Fractions.
From dbdalrymplemicrurus.z21.web.core.windows.net
Standard Form Equation Graph Equation In Standard Form Of A Line Whose Intercepts Are Fractions How to write a linear equation in. First we solve the equation \ (2x +3y = 6\) for \ (y\). For the equation of a line in the standard form, $$ ax + by = c $$ where $$ a \ne 0 $$ and $$ b \ne 0$$, you can use the formulas below to find the. The only main. Equation In Standard Form Of A Line Whose Intercepts Are Fractions.
From www.youtube.com
Find Slope X and Y Intercept From Equation of Line YouTube Equation In Standard Form Of A Line Whose Intercepts Are Fractions First we solve the equation \ (2x +3y = 6\) for \ (y\). Standard form is useful for solving systems of equations and for determining intercepts; The standard form of a linear equation is ax+by=c. The only main benefit of standard form is that it is slightly easier to compute the intercepts of the line; Begin by isolating all terms. Equation In Standard Form Of A Line Whose Intercepts Are Fractions.
From hxeihwcdu.blob.core.windows.net
Standard Form Equation Of A Line With Two Points at Arthur Schuster blog Equation In Standard Form Of A Line Whose Intercepts Are Fractions A, b, and c are constants, while x and y are variables. Solve the equation \ (2x +3y = 6\) for \ (y\) and plot the result. How to write a linear equation in. Let’s go over some examples of how to write the equation of a straight line in linear form [latex]y = mx + b [/latex]. The standard. Equation In Standard Form Of A Line Whose Intercepts Are Fractions.
From www.toppr.com
Find the equations of the lines, which cut off intercepts on the axes Equation In Standard Form Of A Line Whose Intercepts Are Fractions How to write a linear equation in. Let’s go over some examples of how to write the equation of a straight line in linear form [latex]y = mx + b [/latex]. First we solve the equation \ (2x +3y = 6\) for \ (y\). Standard form is useful for solving systems of equations and for determining intercepts; The only main. Equation In Standard Form Of A Line Whose Intercepts Are Fractions.
From worksheetzoneeuphons.z14.web.core.windows.net
Equation Of A Line Part A Equation In Standard Form Of A Line Whose Intercepts Are Fractions And in turn, graph the line. First we solve the equation \ (2x +3y = 6\) for \ (y\). The standard form of a linear equation is ax+by=c. Let’s go over some examples of how to write the equation of a straight line in linear form [latex]y = mx + b [/latex]. Solve the equation \ (2x +3y = 6\). Equation In Standard Form Of A Line Whose Intercepts Are Fractions.
From www.cuemath.com
Standard Form of Linear Equations One and Two Variables Equation In Standard Form Of A Line Whose Intercepts Are Fractions How to write a linear equation in. First we solve the equation \ (2x +3y = 6\) for \ (y\). For the equation of a line in the standard form, $$ ax + by = c $$ where $$ a \ne 0 $$ and $$ b \ne 0$$, you can use the formulas below to find the. Standard form of. Equation In Standard Form Of A Line Whose Intercepts Are Fractions.
From www.teachoo.com
Example 8 Line makes intercepts 3, 2 on x, yaxes Examples Equation In Standard Form Of A Line Whose Intercepts Are Fractions The only main benefit of standard form is that it is slightly easier to compute the intercepts of the line; The standard form of a linear equation is ax+by=c. Solve the equation \ (2x +3y = 6\) for \ (y\) and plot the result. Standard form of an equation is: A, b, and c are constants, while x and y. Equation In Standard Form Of A Line Whose Intercepts Are Fractions.
From www.algebra-class.com
Using the X and Y Intercepts to Graph Standard Form Equations Equation In Standard Form Of A Line Whose Intercepts Are Fractions The standard form of a linear equation is ax+by=c. Solve the equation \ (2x +3y = 6\) for \ (y\) and plot the result. Standard form is useful for solving systems of equations and for determining intercepts; And in turn, graph the line. How to write a linear equation in. Begin by isolating all terms containing y on one side. Equation In Standard Form Of A Line Whose Intercepts Are Fractions.
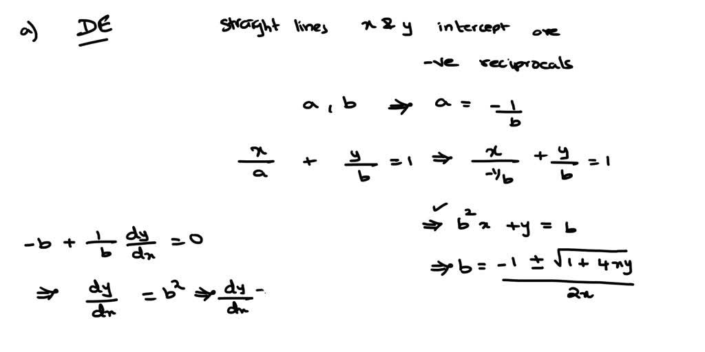
From www.numerade.com
SOLVED Find the differential equation of the following families 1 Equation In Standard Form Of A Line Whose Intercepts Are Fractions Begin by isolating all terms containing y on one side of the equation, moving or. First we solve the equation \ (2x +3y = 6\) for \ (y\). And in turn, graph the line. The standard form of a linear equation is ax+by=c. A, b, and c are constants, while x and y are variables. Let’s go over some examples. Equation In Standard Form Of A Line Whose Intercepts Are Fractions.
From faspurple.weebly.com
Standard form equation faspurple Equation In Standard Form Of A Line Whose Intercepts Are Fractions Standard form of an equation is: The only main benefit of standard form is that it is slightly easier to compute the intercepts of the line; For the equation of a line in the standard form, $$ ax + by = c $$ where $$ a \ne 0 $$ and $$ b \ne 0$$, you can use the formulas below. Equation In Standard Form Of A Line Whose Intercepts Are Fractions.
From mathsathome.com
How to Find x and y Axis Intercepts Equation In Standard Form Of A Line Whose Intercepts Are Fractions How to write a linear equation in. First we solve the equation \ (2x +3y = 6\) for \ (y\). A, b, and c are constants, while x and y are variables. Let’s go over some examples of how to write the equation of a straight line in linear form [latex]y = mx + b [/latex]. Standard form of an. Equation In Standard Form Of A Line Whose Intercepts Are Fractions.
From fyoonsdvj.blob.core.windows.net
What Is The Slope Intercept Form Formula at Jay Villegas blog Equation In Standard Form Of A Line Whose Intercepts Are Fractions A, b, and c are constants, while x and y are variables. Solve the equation \ (2x +3y = 6\) for \ (y\) and plot the result. The only main benefit of standard form is that it is slightly easier to compute the intercepts of the line; How to write a linear equation in. And in turn, graph the line.. Equation In Standard Form Of A Line Whose Intercepts Are Fractions.
From fyohovfbe.blob.core.windows.net
Standard Form Line Equation From Two Points at Ruth Queener blog Equation In Standard Form Of A Line Whose Intercepts Are Fractions A, b, and c are constants, while x and y are variables. First we solve the equation \ (2x +3y = 6\) for \ (y\). For the equation of a line in the standard form, $$ ax + by = c $$ where $$ a \ne 0 $$ and $$ b \ne 0$$, you can use the formulas below to. Equation In Standard Form Of A Line Whose Intercepts Are Fractions.
From www.vrogue.co
Standard Form Linear Equation vrogue.co Equation In Standard Form Of A Line Whose Intercepts Are Fractions Begin by isolating all terms containing y on one side of the equation, moving or. A, b, and c are constants, while x and y are variables. Standard form is useful for solving systems of equations and for determining intercepts; First we solve the equation \ (2x +3y = 6\) for \ (y\). How to write a linear equation in.. Equation In Standard Form Of A Line Whose Intercepts Are Fractions.
From www.tessshebaylo.com
How To Write A Linear Equation In Standard Form From Point Slope Equation In Standard Form Of A Line Whose Intercepts Are Fractions First we solve the equation \ (2x +3y = 6\) for \ (y\). The only main benefit of standard form is that it is slightly easier to compute the intercepts of the line; And in turn, graph the line. Solve the equation \ (2x +3y = 6\) for \ (y\) and plot the result. For the equation of a line. Equation In Standard Form Of A Line Whose Intercepts Are Fractions.
From www.youtube.com
Equation of a straight line given sum of intercepts and a point Equation In Standard Form Of A Line Whose Intercepts Are Fractions And in turn, graph the line. A, b, and c are constants, while x and y are variables. The only main benefit of standard form is that it is slightly easier to compute the intercepts of the line; Standard form of an equation is: Standard form is useful for solving systems of equations and for determining intercepts; Let’s go over. Equation In Standard Form Of A Line Whose Intercepts Are Fractions.
From www.youtube.com
Ex 2 Find the Equation of a Line in Standard Form Given Two Points Equation In Standard Form Of A Line Whose Intercepts Are Fractions The standard form of a linear equation is ax+by=c. The only main benefit of standard form is that it is slightly easier to compute the intercepts of the line; And in turn, graph the line. Standard form is useful for solving systems of equations and for determining intercepts; Solve the equation \ (2x +3y = 6\) for \ (y\) and. Equation In Standard Form Of A Line Whose Intercepts Are Fractions.