Electric Potential Energy At Infinity . learn about the concepts of work, potential energy, electric potential, and electric field in this. learn how to calculate the electric potential due to a point charge, a system of multiple point charges, a continuous charge distribution, and an. the potential at infinity for a infinite large system is zero/constant, while the potential at infinity for a finite system. Apply work and potential energy in systems with electric charges learn how to define and apply electric potential energy, the work done by an electric force on a charge. learn how to calculate and interpret the electric potential and its relation to the electric field and the electric potential energy. 9 rows in short, an electric potential is the electric potential energy per unit charge. This value can be calculated in either a static. define electric potential energy; Explore the concepts of equipotential surfaces, field lines, and examples of point charges and infinite planes.
from ar.inspiredpencil.com
define electric potential energy; Apply work and potential energy in systems with electric charges 9 rows in short, an electric potential is the electric potential energy per unit charge. Explore the concepts of equipotential surfaces, field lines, and examples of point charges and infinite planes. learn how to define and apply electric potential energy, the work done by an electric force on a charge. learn how to calculate and interpret the electric potential and its relation to the electric field and the electric potential energy. learn how to calculate the electric potential due to a point charge, a system of multiple point charges, a continuous charge distribution, and an. This value can be calculated in either a static. learn about the concepts of work, potential energy, electric potential, and electric field in this. the potential at infinity for a infinite large system is zero/constant, while the potential at infinity for a finite system.
Electric Potential Equation Integral
Electric Potential Energy At Infinity This value can be calculated in either a static. Apply work and potential energy in systems with electric charges learn how to define and apply electric potential energy, the work done by an electric force on a charge. learn about the concepts of work, potential energy, electric potential, and electric field in this. learn how to calculate and interpret the electric potential and its relation to the electric field and the electric potential energy. Explore the concepts of equipotential surfaces, field lines, and examples of point charges and infinite planes. This value can be calculated in either a static. the potential at infinity for a infinite large system is zero/constant, while the potential at infinity for a finite system. learn how to calculate the electric potential due to a point charge, a system of multiple point charges, a continuous charge distribution, and an. define electric potential energy; 9 rows in short, an electric potential is the electric potential energy per unit charge.
From diagrampartunredeemed.z13.web.core.windows.net
How To Determine Electric Potential Electric Potential Energy At Infinity learn how to calculate and interpret the electric potential and its relation to the electric field and the electric potential energy. define electric potential energy; the potential at infinity for a infinite large system is zero/constant, while the potential at infinity for a finite system. learn how to define and apply electric potential energy, the work. Electric Potential Energy At Infinity.
From www.youtube.com
How to calculate Electric potential energy of system of charges 2 Electric Potential Energy At Infinity learn how to define and apply electric potential energy, the work done by an electric force on a charge. learn how to calculate and interpret the electric potential and its relation to the electric field and the electric potential energy. learn about the concepts of work, potential energy, electric potential, and electric field in this. define. Electric Potential Energy At Infinity.
From www.youtube.com
Part 3 Electric Potential Calculations The Finite Line Charged Electric Potential Energy At Infinity This value can be calculated in either a static. 9 rows in short, an electric potential is the electric potential energy per unit charge. learn how to define and apply electric potential energy, the work done by an electric force on a charge. define electric potential energy; learn about the concepts of work, potential energy, electric. Electric Potential Energy At Infinity.
From www.slideserve.com
PPT Chapter 23 Electric Potential PowerPoint Presentation, free Electric Potential Energy At Infinity the potential at infinity for a infinite large system is zero/constant, while the potential at infinity for a finite system. learn how to calculate the electric potential due to a point charge, a system of multiple point charges, a continuous charge distribution, and an. learn how to calculate and interpret the electric potential and its relation to. Electric Potential Energy At Infinity.
From circuitenginesowffs77.z22.web.core.windows.net
How To Determine Electric Potential Electric Potential Energy At Infinity the potential at infinity for a infinite large system is zero/constant, while the potential at infinity for a finite system. learn how to define and apply electric potential energy, the work done by an electric force on a charge. Explore the concepts of equipotential surfaces, field lines, and examples of point charges and infinite planes. This value can. Electric Potential Energy At Infinity.
From wiringlistbrittonxs.z19.web.core.windows.net
How To Determine Electric Potential Electric Potential Energy At Infinity Explore the concepts of equipotential surfaces, field lines, and examples of point charges and infinite planes. define electric potential energy; Apply work and potential energy in systems with electric charges 9 rows in short, an electric potential is the electric potential energy per unit charge. the potential at infinity for a infinite large system is zero/constant, while. Electric Potential Energy At Infinity.
From www.toppr.com
The electric potential energy of electronproton system of hydrogen Electric Potential Energy At Infinity Explore the concepts of equipotential surfaces, field lines, and examples of point charges and infinite planes. learn how to calculate the electric potential due to a point charge, a system of multiple point charges, a continuous charge distribution, and an. define electric potential energy; the potential at infinity for a infinite large system is zero/constant, while the. Electric Potential Energy At Infinity.
From isaacphysics.org
Isaac Physics Electric Potential Energy At Infinity the potential at infinity for a infinite large system is zero/constant, while the potential at infinity for a finite system. 9 rows in short, an electric potential is the electric potential energy per unit charge. learn how to define and apply electric potential energy, the work done by an electric force on a charge. Apply work and. Electric Potential Energy At Infinity.
From www.slideshare.net
9.3 Electric Potential Electric Potential Energy At Infinity define electric potential energy; This value can be calculated in either a static. learn how to calculate the electric potential due to a point charge, a system of multiple point charges, a continuous charge distribution, and an. learn about the concepts of work, potential energy, electric potential, and electric field in this. Apply work and potential energy. Electric Potential Energy At Infinity.
From www.youtube.com
Part 1 Electric Potential Calculations The Infinite line charged or Electric Potential Energy At Infinity Apply work and potential energy in systems with electric charges Explore the concepts of equipotential surfaces, field lines, and examples of point charges and infinite planes. learn how to calculate the electric potential due to a point charge, a system of multiple point charges, a continuous charge distribution, and an. learn how to calculate and interpret the electric. Electric Potential Energy At Infinity.
From www.slideserve.com
PPT EE3321 ELECTROMAGENTIC FIELD THEORY PowerPoint Presentation ID Electric Potential Energy At Infinity learn how to calculate and interpret the electric potential and its relation to the electric field and the electric potential energy. learn about the concepts of work, potential energy, electric potential, and electric field in this. learn how to calculate the electric potential due to a point charge, a system of multiple point charges, a continuous charge. Electric Potential Energy At Infinity.
From www.chegg.com
Solved Consider an electron in the infinite potential well Electric Potential Energy At Infinity learn how to calculate the electric potential due to a point charge, a system of multiple point charges, a continuous charge distribution, and an. learn about the concepts of work, potential energy, electric potential, and electric field in this. learn how to define and apply electric potential energy, the work done by an electric force on a. Electric Potential Energy At Infinity.
From www.showmethephysics.com
St. Mary's H.S. Physics Electric Potential Electric Potential Energy At Infinity define electric potential energy; learn about the concepts of work, potential energy, electric potential, and electric field in this. Apply work and potential energy in systems with electric charges This value can be calculated in either a static. Explore the concepts of equipotential surfaces, field lines, and examples of point charges and infinite planes. the potential at. Electric Potential Energy At Infinity.
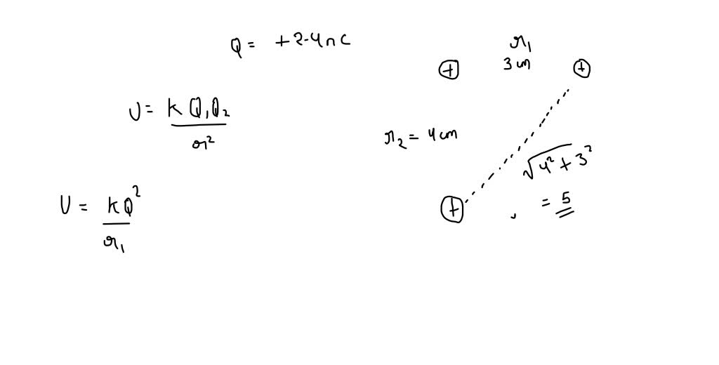
From www.numerade.com
SOLVED Consider the group of three +2.4 nC point charges shown in the Electric Potential Energy At Infinity Explore the concepts of equipotential surfaces, field lines, and examples of point charges and infinite planes. Apply work and potential energy in systems with electric charges learn about the concepts of work, potential energy, electric potential, and electric field in this. learn how to calculate and interpret the electric potential and its relation to the electric field and. Electric Potential Energy At Infinity.
From www.youtube.com
19 Electric potential Potential created by an infinite charged wire Electric Potential Energy At Infinity the potential at infinity for a infinite large system is zero/constant, while the potential at infinity for a finite system. This value can be calculated in either a static. learn how to calculate and interpret the electric potential and its relation to the electric field and the electric potential energy. Explore the concepts of equipotential surfaces, field lines,. Electric Potential Energy At Infinity.
From www.savemyexams.com
Electric Field & Potential Edexcel International A Level Physics Electric Potential Energy At Infinity define electric potential energy; 9 rows in short, an electric potential is the electric potential energy per unit charge. Explore the concepts of equipotential surfaces, field lines, and examples of point charges and infinite planes. the potential at infinity for a infinite large system is zero/constant, while the potential at infinity for a finite system. learn. Electric Potential Energy At Infinity.
From byjus.com
Is the electric potential due to infinite line charge or infinite plane Electric Potential Energy At Infinity This value can be calculated in either a static. Explore the concepts of equipotential surfaces, field lines, and examples of point charges and infinite planes. learn how to calculate the electric potential due to a point charge, a system of multiple point charges, a continuous charge distribution, and an. learn about the concepts of work, potential energy, electric. Electric Potential Energy At Infinity.
From www.youtube.com
19 Electric potential Potential created by an infinite charged Electric Potential Energy At Infinity learn how to calculate and interpret the electric potential and its relation to the electric field and the electric potential energy. define electric potential energy; Explore the concepts of equipotential surfaces, field lines, and examples of point charges and infinite planes. learn about the concepts of work, potential energy, electric potential, and electric field in this. . Electric Potential Energy At Infinity.
From ar.inspiredpencil.com
Electric Potential Equation Integral Electric Potential Energy At Infinity Explore the concepts of equipotential surfaces, field lines, and examples of point charges and infinite planes. learn how to calculate the electric potential due to a point charge, a system of multiple point charges, a continuous charge distribution, and an. learn how to calculate and interpret the electric potential and its relation to the electric field and the. Electric Potential Energy At Infinity.
From www.slideserve.com
PPT Electric Potential PowerPoint Presentation, free download ID Electric Potential Energy At Infinity Explore the concepts of equipotential surfaces, field lines, and examples of point charges and infinite planes. Apply work and potential energy in systems with electric charges learn how to define and apply electric potential energy, the work done by an electric force on a charge. learn how to calculate and interpret the electric potential and its relation to. Electric Potential Energy At Infinity.
From www.slideserve.com
PPT Electric Potential Energy versus Electric Potential Calculating Electric Potential Energy At Infinity 9 rows in short, an electric potential is the electric potential energy per unit charge. the potential at infinity for a infinite large system is zero/constant, while the potential at infinity for a finite system. learn how to calculate the electric potential due to a point charge, a system of multiple point charges, a continuous charge distribution,. Electric Potential Energy At Infinity.
From www.youtube.com
Schrodingers Equation and the Infinite Potential Well YouTube Electric Potential Energy At Infinity This value can be calculated in either a static. learn how to define and apply electric potential energy, the work done by an electric force on a charge. Explore the concepts of equipotential surfaces, field lines, and examples of point charges and infinite planes. learn about the concepts of work, potential energy, electric potential, and electric field in. Electric Potential Energy At Infinity.
From physics.stackexchange.com
homework and exercises Electric potential between two infinite plates Electric Potential Energy At Infinity learn about the concepts of work, potential energy, electric potential, and electric field in this. This value can be calculated in either a static. define electric potential energy; learn how to calculate and interpret the electric potential and its relation to the electric field and the electric potential energy. Apply work and potential energy in systems with. Electric Potential Energy At Infinity.
From www.youtube.com
E&M Course 44 Electric Potential Energy of a System of Point Charges Electric Potential Energy At Infinity learn how to define and apply electric potential energy, the work done by an electric force on a charge. Apply work and potential energy in systems with electric charges the potential at infinity for a infinite large system is zero/constant, while the potential at infinity for a finite system. Explore the concepts of equipotential surfaces, field lines, and. Electric Potential Energy At Infinity.
From www.slideserve.com
PPT Potential near a point charge PowerPoint Presentation, free Electric Potential Energy At Infinity learn about the concepts of work, potential energy, electric potential, and electric field in this. This value can be calculated in either a static. Explore the concepts of equipotential surfaces, field lines, and examples of point charges and infinite planes. 9 rows in short, an electric potential is the electric potential energy per unit charge. the potential. Electric Potential Energy At Infinity.
From www.youtube.com
Elec Potential due to infinite line o charge YouTube Electric Potential Energy At Infinity define electric potential energy; learn how to calculate and interpret the electric potential and its relation to the electric field and the electric potential energy. learn how to define and apply electric potential energy, the work done by an electric force on a charge. This value can be calculated in either a static. Explore the concepts of. Electric Potential Energy At Infinity.
From slideplayer.com
Electric Potential Energy ppt download Electric Potential Energy At Infinity learn how to calculate and interpret the electric potential and its relation to the electric field and the electric potential energy. learn how to calculate the electric potential due to a point charge, a system of multiple point charges, a continuous charge distribution, and an. 9 rows in short, an electric potential is the electric potential energy. Electric Potential Energy At Infinity.
From www.youtube.com
Electric Potential Due to a Point Charge YouTube Electric Potential Energy At Infinity learn how to calculate the electric potential due to a point charge, a system of multiple point charges, a continuous charge distribution, and an. learn about the concepts of work, potential energy, electric potential, and electric field in this. 9 rows in short, an electric potential is the electric potential energy per unit charge. Explore the concepts. Electric Potential Energy At Infinity.
From www.slideserve.com
PPT Electric Potential PowerPoint Presentation ID1588977 Electric Potential Energy At Infinity learn how to calculate and interpret the electric potential and its relation to the electric field and the electric potential energy. define electric potential energy; learn how to define and apply electric potential energy, the work done by an electric force on a charge. the potential at infinity for a infinite large system is zero/constant, while. Electric Potential Energy At Infinity.
From www.slideserve.com
PPT Physics 2102 PowerPoint Presentation, free download ID1563589 Electric Potential Energy At Infinity learn how to define and apply electric potential energy, the work done by an electric force on a charge. 9 rows in short, an electric potential is the electric potential energy per unit charge. learn how to calculate the electric potential due to a point charge, a system of multiple point charges, a continuous charge distribution, and. Electric Potential Energy At Infinity.
From www.youtube.com
What is Electric Potential Energy? (IIT JEE, NEET, AP Physics) 1 YouTube Electric Potential Energy At Infinity the potential at infinity for a infinite large system is zero/constant, while the potential at infinity for a finite system. Apply work and potential energy in systems with electric charges learn how to calculate and interpret the electric potential and its relation to the electric field and the electric potential energy. 9 rows in short, an electric. Electric Potential Energy At Infinity.
From www.numerade.com
SOLVED The electric potential (voltage) at a specific location is Electric Potential Energy At Infinity 9 rows in short, an electric potential is the electric potential energy per unit charge. This value can be calculated in either a static. learn about the concepts of work, potential energy, electric potential, and electric field in this. learn how to calculate the electric potential due to a point charge, a system of multiple point charges,. Electric Potential Energy At Infinity.
From www.toppr.com
8. Deduce the expression the potential energy of a system of two point Electric Potential Energy At Infinity Apply work and potential energy in systems with electric charges learn how to calculate the electric potential due to a point charge, a system of multiple point charges, a continuous charge distribution, and an. learn how to define and apply electric potential energy, the work done by an electric force on a charge. the potential at infinity. Electric Potential Energy At Infinity.
From www.slideserve.com
PPT Chapter 16 PowerPoint Presentation, free download ID659901 Electric Potential Energy At Infinity the potential at infinity for a infinite large system is zero/constant, while the potential at infinity for a finite system. Explore the concepts of equipotential surfaces, field lines, and examples of point charges and infinite planes. Apply work and potential energy in systems with electric charges learn about the concepts of work, potential energy, electric potential, and electric. Electric Potential Energy At Infinity.
From atqanlmgqk.blogspot.com
How To Calculate Electric Potential At A Point The electric potential Electric Potential Energy At Infinity learn how to calculate and interpret the electric potential and its relation to the electric field and the electric potential energy. Apply work and potential energy in systems with electric charges define electric potential energy; learn about the concepts of work, potential energy, electric potential, and electric field in this. 9 rows in short, an electric. Electric Potential Energy At Infinity.