What Does An Ho 9 Policy Cover . homeowners insurance provides valuable financial protection for your house, personal items and liabilities if you’re responsible for injuries or. As you browse for insurance, you may come across eight distinct types of basic. They provide dwelling protection coverage with a twist: homeowners insurance types. These policies also include personal property and liability coverage and may include loss of use coverage.
from www.chegg.com
homeowners insurance types. homeowners insurance provides valuable financial protection for your house, personal items and liabilities if you’re responsible for injuries or. These policies also include personal property and liability coverage and may include loss of use coverage. As you browse for insurance, you may come across eight distinct types of basic. They provide dwelling protection coverage with a twist:
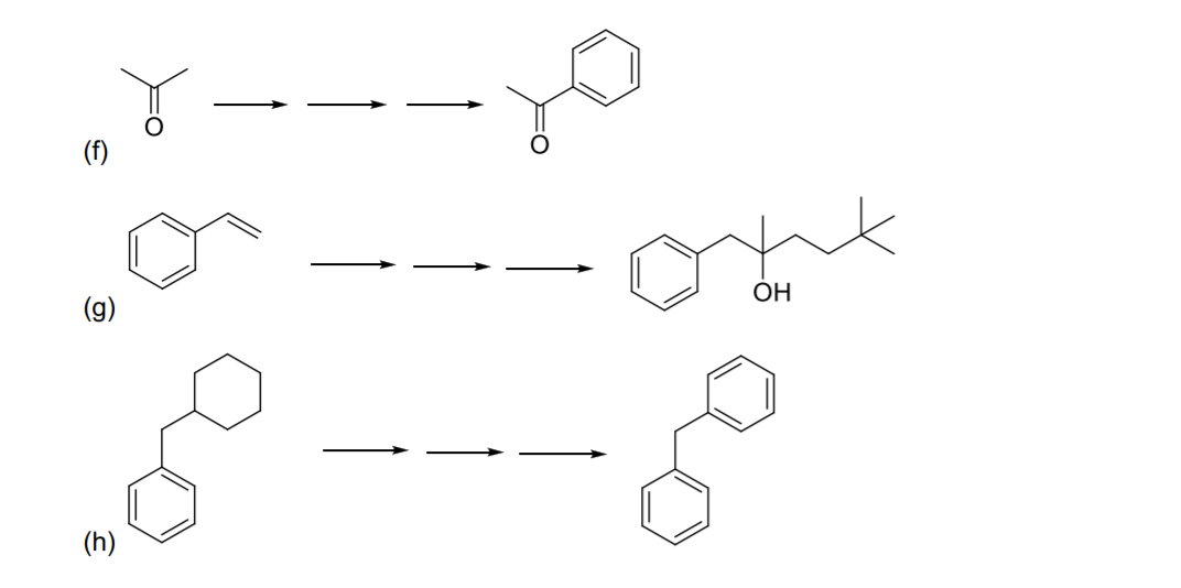
Solved HO 9 (h) 2. Provide the synthetic protocols for
What Does An Ho 9 Policy Cover homeowners insurance provides valuable financial protection for your house, personal items and liabilities if you’re responsible for injuries or. These policies also include personal property and liability coverage and may include loss of use coverage. They provide dwelling protection coverage with a twist: homeowners insurance provides valuable financial protection for your house, personal items and liabilities if you’re responsible for injuries or. As you browse for insurance, you may come across eight distinct types of basic. homeowners insurance types.
From www.tiktok.com
Exploring the Goodness of God in Oxford with Two Girls TikTok What Does An Ho 9 Policy Cover They provide dwelling protection coverage with a twist: As you browse for insurance, you may come across eight distinct types of basic. homeowners insurance provides valuable financial protection for your house, personal items and liabilities if you’re responsible for injuries or. homeowners insurance types. These policies also include personal property and liability coverage and may include loss of. What Does An Ho 9 Policy Cover.
From mavink.com
Homeowners Coverage Comparison Chart What Does An Ho 9 Policy Cover These policies also include personal property and liability coverage and may include loss of use coverage. homeowners insurance types. They provide dwelling protection coverage with a twist: As you browse for insurance, you may come across eight distinct types of basic. homeowners insurance provides valuable financial protection for your house, personal items and liabilities if you’re responsible for. What Does An Ho 9 Policy Cover.
From insideinsuranceagency.com
What does an HO6 Condo Policy Cover? Inside Insurance What Does An Ho 9 Policy Cover homeowners insurance provides valuable financial protection for your house, personal items and liabilities if you’re responsible for injuries or. These policies also include personal property and liability coverage and may include loss of use coverage. They provide dwelling protection coverage with a twist: homeowners insurance types. As you browse for insurance, you may come across eight distinct types. What Does An Ho 9 Policy Cover.
From www.chegg.com
Solved HO 9 (h) 2. Provide the synthetic protocols for What Does An Ho 9 Policy Cover As you browse for insurance, you may come across eight distinct types of basic. These policies also include personal property and liability coverage and may include loss of use coverage. They provide dwelling protection coverage with a twist: homeowners insurance provides valuable financial protection for your house, personal items and liabilities if you’re responsible for injuries or. homeowners. What Does An Ho 9 Policy Cover.
From www.allstate.com
Homeowners Insurance 101 Allstate What Does An Ho 9 Policy Cover homeowners insurance provides valuable financial protection for your house, personal items and liabilities if you’re responsible for injuries or. homeowners insurance types. These policies also include personal property and liability coverage and may include loss of use coverage. They provide dwelling protection coverage with a twist: As you browse for insurance, you may come across eight distinct types. What Does An Ho 9 Policy Cover.
From music.youtube.com
The More We Get Together Kids Songs Noodle & Pals YouTube Music What Does An Ho 9 Policy Cover They provide dwelling protection coverage with a twist: homeowners insurance types. homeowners insurance provides valuable financial protection for your house, personal items and liabilities if you’re responsible for injuries or. These policies also include personal property and liability coverage and may include loss of use coverage. As you browse for insurance, you may come across eight distinct types. What Does An Ho 9 Policy Cover.
From thebuzzernews.blogspot.com
Ho3 Insurance Policy / RMI test 2 1 additional coverages under What Does An Ho 9 Policy Cover As you browse for insurance, you may come across eight distinct types of basic. These policies also include personal property and liability coverage and may include loss of use coverage. homeowners insurance types. homeowners insurance provides valuable financial protection for your house, personal items and liabilities if you’re responsible for injuries or. They provide dwelling protection coverage with. What Does An Ho 9 Policy Cover.
From www.youtube.com
Ahllah ho ahllah ho ya ahllah cover live love religion comingsoon What Does An Ho 9 Policy Cover homeowners insurance types. homeowners insurance provides valuable financial protection for your house, personal items and liabilities if you’re responsible for injuries or. As you browse for insurance, you may come across eight distinct types of basic. These policies also include personal property and liability coverage and may include loss of use coverage. They provide dwelling protection coverage with. What Does An Ho 9 Policy Cover.
From www.youtube.com
Jo tum mere ho cover song shorts coversongs YouTube What Does An Ho 9 Policy Cover They provide dwelling protection coverage with a twist: homeowners insurance types. As you browse for insurance, you may come across eight distinct types of basic. homeowners insurance provides valuable financial protection for your house, personal items and liabilities if you’re responsible for injuries or. These policies also include personal property and liability coverage and may include loss of. What Does An Ho 9 Policy Cover.
From www.annuityexpertadvice.com
Your Guide To Cash Value Life Insurance (2023) What Does An Ho 9 Policy Cover As you browse for insurance, you may come across eight distinct types of basic. homeowners insurance provides valuable financial protection for your house, personal items and liabilities if you’re responsible for injuries or. These policies also include personal property and liability coverage and may include loss of use coverage. They provide dwelling protection coverage with a twist: homeowners. What Does An Ho 9 Policy Cover.
From www.investopedia.com
Homeowners Insurance Guide A Beginner's Overview What Does An Ho 9 Policy Cover These policies also include personal property and liability coverage and may include loss of use coverage. homeowners insurance provides valuable financial protection for your house, personal items and liabilities if you’re responsible for injuries or. As you browse for insurance, you may come across eight distinct types of basic. They provide dwelling protection coverage with a twist: homeowners. What Does An Ho 9 Policy Cover.
From foldertips.com
What is a Single Premium Whole Life Insurance Policy & How It Works What Does An Ho 9 Policy Cover As you browse for insurance, you may come across eight distinct types of basic. homeowners insurance provides valuable financial protection for your house, personal items and liabilities if you’re responsible for injuries or. They provide dwelling protection coverage with a twist: These policies also include personal property and liability coverage and may include loss of use coverage. homeowners. What Does An Ho 9 Policy Cover.
From www.tiktok.com
🌷জাতির STAY আফা🌷 (hyunxmahi) TikTok What Does An Ho 9 Policy Cover homeowners insurance types. As you browse for insurance, you may come across eight distinct types of basic. These policies also include personal property and liability coverage and may include loss of use coverage. They provide dwelling protection coverage with a twist: homeowners insurance provides valuable financial protection for your house, personal items and liabilities if you’re responsible for. What Does An Ho 9 Policy Cover.
From id.scribd.com
HO 9 Penilaian Sekuritas Jangka Panjang PDF What Does An Ho 9 Policy Cover These policies also include personal property and liability coverage and may include loss of use coverage. As you browse for insurance, you may come across eight distinct types of basic. homeowners insurance types. homeowners insurance provides valuable financial protection for your house, personal items and liabilities if you’re responsible for injuries or. They provide dwelling protection coverage with. What Does An Ho 9 Policy Cover.
From www.dicklawfirm.com
What are the Basics of a Home Insurance Policy What Does An Ho 9 Policy Cover homeowners insurance provides valuable financial protection for your house, personal items and liabilities if you’re responsible for injuries or. They provide dwelling protection coverage with a twist: These policies also include personal property and liability coverage and may include loss of use coverage. homeowners insurance types. As you browse for insurance, you may come across eight distinct types. What Does An Ho 9 Policy Cover.
From medium.com
What Does Bitcoin’s Future Hold as the Fed Signals Potential Rate Cuts What Does An Ho 9 Policy Cover They provide dwelling protection coverage with a twist: These policies also include personal property and liability coverage and may include loss of use coverage. homeowners insurance types. homeowners insurance provides valuable financial protection for your house, personal items and liabilities if you’re responsible for injuries or. As you browse for insurance, you may come across eight distinct types. What Does An Ho 9 Policy Cover.
From atimn.com
Home Coverages Explained Minnesota All Things Insurance What Does An Ho 9 Policy Cover As you browse for insurance, you may come across eight distinct types of basic. These policies also include personal property and liability coverage and may include loss of use coverage. homeowners insurance provides valuable financial protection for your house, personal items and liabilities if you’re responsible for injuries or. homeowners insurance types. They provide dwelling protection coverage with. What Does An Ho 9 Policy Cover.
From www.quickenloans.com
Does Homeowners Insurance Cover Water Damage? Quicken Loans What Does An Ho 9 Policy Cover homeowners insurance types. homeowners insurance provides valuable financial protection for your house, personal items and liabilities if you’re responsible for injuries or. They provide dwelling protection coverage with a twist: As you browse for insurance, you may come across eight distinct types of basic. These policies also include personal property and liability coverage and may include loss of. What Does An Ho 9 Policy Cover.
From www.tiktok.com
Football Lover Antorho TikTok Bangladesh TikTok What Does An Ho 9 Policy Cover They provide dwelling protection coverage with a twist: These policies also include personal property and liability coverage and may include loss of use coverage. homeowners insurance types. As you browse for insurance, you may come across eight distinct types of basic. homeowners insurance provides valuable financial protection for your house, personal items and liabilities if you’re responsible for. What Does An Ho 9 Policy Cover.
From www.flickr.com
HO ho9Edit Donovan Wood Flickr What Does An Ho 9 Policy Cover They provide dwelling protection coverage with a twist: homeowners insurance types. These policies also include personal property and liability coverage and may include loss of use coverage. As you browse for insurance, you may come across eight distinct types of basic. homeowners insurance provides valuable financial protection for your house, personal items and liabilities if you’re responsible for. What Does An Ho 9 Policy Cover.
From www.facebook.com
Bộ Đội Cụ HồFacebook What Does An Ho 9 Policy Cover As you browse for insurance, you may come across eight distinct types of basic. They provide dwelling protection coverage with a twist: These policies also include personal property and liability coverage and may include loss of use coverage. homeowners insurance types. homeowners insurance provides valuable financial protection for your house, personal items and liabilities if you’re responsible for. What Does An Ho 9 Policy Cover.
From www.macneillgroup.com
Western World HO3 Coverage and Limits MacNeill Group, Inc. What Does An Ho 9 Policy Cover As you browse for insurance, you may come across eight distinct types of basic. homeowners insurance types. These policies also include personal property and liability coverage and may include loss of use coverage. They provide dwelling protection coverage with a twist: homeowners insurance provides valuable financial protection for your house, personal items and liabilities if you’re responsible for. What Does An Ho 9 Policy Cover.
From www.tiktok.com
🚨YPK CUP is getting closer🚨 💃🏼H3 heading into this match⛹🏻♂️ Ho What Does An Ho 9 Policy Cover As you browse for insurance, you may come across eight distinct types of basic. homeowners insurance provides valuable financial protection for your house, personal items and liabilities if you’re responsible for injuries or. These policies also include personal property and liability coverage and may include loss of use coverage. They provide dwelling protection coverage with a twist: homeowners. What Does An Ho 9 Policy Cover.
From shopee.ph
️1pc Single Edged Scraper With Sharp Blade For Glass Cleaning Removing What Does An Ho 9 Policy Cover homeowners insurance types. They provide dwelling protection coverage with a twist: As you browse for insurance, you may come across eight distinct types of basic. These policies also include personal property and liability coverage and may include loss of use coverage. homeowners insurance provides valuable financial protection for your house, personal items and liabilities if you’re responsible for. What Does An Ho 9 Policy Cover.
From tgsinsurance.com
What Is the Difference Between HO3 and HO5 Homeowners Policies? What Does An Ho 9 Policy Cover These policies also include personal property and liability coverage and may include loss of use coverage. homeowners insurance provides valuable financial protection for your house, personal items and liabilities if you’re responsible for injuries or. As you browse for insurance, you may come across eight distinct types of basic. homeowners insurance types. They provide dwelling protection coverage with. What Does An Ho 9 Policy Cover.
From www.politics-dz.com
Everything You Need To Know About Car Insurance in USA (Guide 2023) What Does An Ho 9 Policy Cover They provide dwelling protection coverage with a twist: These policies also include personal property and liability coverage and may include loss of use coverage. As you browse for insurance, you may come across eight distinct types of basic. homeowners insurance types. homeowners insurance provides valuable financial protection for your house, personal items and liabilities if you’re responsible for. What Does An Ho 9 Policy Cover.
From funbid.com.hk
(HO9) TOMIX トミックス HO6002 国鉄電車 モハ70形 (横須賀色) (T) HOゲージ 鉄道模型※動作未確認@60(8 What Does An Ho 9 Policy Cover As you browse for insurance, you may come across eight distinct types of basic. homeowners insurance types. These policies also include personal property and liability coverage and may include loss of use coverage. They provide dwelling protection coverage with a twist: homeowners insurance provides valuable financial protection for your house, personal items and liabilities if you’re responsible for. What Does An Ho 9 Policy Cover.
From www.studocu.com
HO 9 Corporate Taxation Taxation Review Corporate What Does An Ho 9 Policy Cover They provide dwelling protection coverage with a twist: homeowners insurance types. These policies also include personal property and liability coverage and may include loss of use coverage. homeowners insurance provides valuable financial protection for your house, personal items and liabilities if you’re responsible for injuries or. As you browse for insurance, you may come across eight distinct types. What Does An Ho 9 Policy Cover.
From www.youtube.com
Cover ho to aisa ☠️ YouTube What Does An Ho 9 Policy Cover These policies also include personal property and liability coverage and may include loss of use coverage. homeowners insurance provides valuable financial protection for your house, personal items and liabilities if you’re responsible for injuries or. They provide dwelling protection coverage with a twist: As you browse for insurance, you may come across eight distinct types of basic. homeowners. What Does An Ho 9 Policy Cover.
From www.youtube.com
HO1,2,3,4,5,6,8 Home Insurance Policies YouTube What Does An Ho 9 Policy Cover These policies also include personal property and liability coverage and may include loss of use coverage. As you browse for insurance, you may come across eight distinct types of basic. homeowners insurance types. homeowners insurance provides valuable financial protection for your house, personal items and liabilities if you’re responsible for injuries or. They provide dwelling protection coverage with. What Does An Ho 9 Policy Cover.
From id.scribd.com
Ho9Pembelajaran & Kepemimpinan PDF What Does An Ho 9 Policy Cover homeowners insurance provides valuable financial protection for your house, personal items and liabilities if you’re responsible for injuries or. These policies also include personal property and liability coverage and may include loss of use coverage. As you browse for insurance, you may come across eight distinct types of basic. homeowners insurance types. They provide dwelling protection coverage with. What Does An Ho 9 Policy Cover.
From www.youtube.com
Jo tu mere ho anuv jain cover music anuvjain YouTube What Does An Ho 9 Policy Cover As you browse for insurance, you may come across eight distinct types of basic. These policies also include personal property and liability coverage and may include loss of use coverage. homeowners insurance types. homeowners insurance provides valuable financial protection for your house, personal items and liabilities if you’re responsible for injuries or. They provide dwelling protection coverage with. What Does An Ho 9 Policy Cover.
From www.tiktok.com
Swansee Music Cover by Musician on YouTube TikTok What Does An Ho 9 Policy Cover They provide dwelling protection coverage with a twist: These policies also include personal property and liability coverage and may include loss of use coverage. homeowners insurance provides valuable financial protection for your house, personal items and liabilities if you’re responsible for injuries or. As you browse for insurance, you may come across eight distinct types of basic. homeowners. What Does An Ho 9 Policy Cover.
From www.noyeshallallen.com
Homeowners and Dwelling Fire Policies What's the Difference What Does An Ho 9 Policy Cover homeowners insurance types. These policies also include personal property and liability coverage and may include loss of use coverage. They provide dwelling protection coverage with a twist: As you browse for insurance, you may come across eight distinct types of basic. homeowners insurance provides valuable financial protection for your house, personal items and liabilities if you’re responsible for. What Does An Ho 9 Policy Cover.
From gbu-hamovniki.ru
Packaging Coverage, Homeowners Policy Forms, And The, 57 OFF What Does An Ho 9 Policy Cover homeowners insurance provides valuable financial protection for your house, personal items and liabilities if you’re responsible for injuries or. homeowners insurance types. As you browse for insurance, you may come across eight distinct types of basic. These policies also include personal property and liability coverage and may include loss of use coverage. They provide dwelling protection coverage with. What Does An Ho 9 Policy Cover.