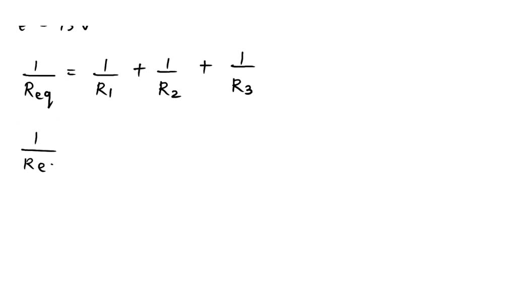
Resistors R1 R2 And R3 Are Connected In Parallel . in the following resistors in parallel circuit the resistors r1, r2 and r3 are all connected together in parallel between the two. circuit schematic for resistors connected in parallel. this parallel resistor calculator is a tool for determining the equivalent resistance of a circuit with up. (b) suppose that r1 , r2. if three resistors r1 , r2 and r3 are connected in parallel, the total electrical resistance is determined by the equation. two resistors connected in series \((r_1, \, r_2)\) are connected to two resistors that are connected in parallel \((r_3, \, r_4)\). three resistors of resistances r 1 , r 2 and r 3 are connected (i) in series, and (ii) in parallel. (a) three resistors r1, r2 and r3 are connected in parallel and the combination is connected to a battery, ammeter, voltmeter and key. This tool was designed to help you quickly calculate the equivalent resistance of up to 6.
from www.numerade.com
two resistors connected in series \((r_1, \, r_2)\) are connected to two resistors that are connected in parallel \((r_3, \, r_4)\). circuit schematic for resistors connected in parallel. This tool was designed to help you quickly calculate the equivalent resistance of up to 6. (b) suppose that r1 , r2. this parallel resistor calculator is a tool for determining the equivalent resistance of a circuit with up. three resistors of resistances r 1 , r 2 and r 3 are connected (i) in series, and (ii) in parallel. if three resistors r1 , r2 and r3 are connected in parallel, the total electrical resistance is determined by the equation. in the following resistors in parallel circuit the resistors r1, r2 and r3 are all connected together in parallel between the two. (a) three resistors r1, r2 and r3 are connected in parallel and the combination is connected to a battery, ammeter, voltmeter and key.
SOLVED Three identical resistors (R1, R2, R3 = 6Ω) are connected in
Resistors R1 R2 And R3 Are Connected In Parallel two resistors connected in series \((r_1, \, r_2)\) are connected to two resistors that are connected in parallel \((r_3, \, r_4)\). this parallel resistor calculator is a tool for determining the equivalent resistance of a circuit with up. two resistors connected in series \((r_1, \, r_2)\) are connected to two resistors that are connected in parallel \((r_3, \, r_4)\). if three resistors r1 , r2 and r3 are connected in parallel, the total electrical resistance is determined by the equation. This tool was designed to help you quickly calculate the equivalent resistance of up to 6. circuit schematic for resistors connected in parallel. (a) three resistors r1, r2 and r3 are connected in parallel and the combination is connected to a battery, ammeter, voltmeter and key. three resistors of resistances r 1 , r 2 and r 3 are connected (i) in series, and (ii) in parallel. in the following resistors in parallel circuit the resistors r1, r2 and r3 are all connected together in parallel between the two. (b) suppose that r1 , r2.
From brainly.in
Three resistors R1,R2 and R3 are connected in parallel and the Resistors R1 R2 And R3 Are Connected In Parallel circuit schematic for resistors connected in parallel. (b) suppose that r1 , r2. three resistors of resistances r 1 , r 2 and r 3 are connected (i) in series, and (ii) in parallel. This tool was designed to help you quickly calculate the equivalent resistance of up to 6. (a) three resistors r1, r2 and r3. Resistors R1 R2 And R3 Are Connected In Parallel.
From www.circuitdiagram.co
The Diagram Of An Electric Circuit Shows Three Parallel Resistors Resistors R1 R2 And R3 Are Connected In Parallel (a) three resistors r1, r2 and r3 are connected in parallel and the combination is connected to a battery, ammeter, voltmeter and key. two resistors connected in series \((r_1, \, r_2)\) are connected to two resistors that are connected in parallel \((r_3, \, r_4)\). if three resistors r1 , r2 and r3 are connected in parallel, the. Resistors R1 R2 And R3 Are Connected In Parallel.
From www.doubtnut.com
Three resistors R1, R2, and R3 , and are connected in parallel. Find o Resistors R1 R2 And R3 Are Connected In Parallel (a) three resistors r1, r2 and r3 are connected in parallel and the combination is connected to a battery, ammeter, voltmeter and key. in the following resistors in parallel circuit the resistors r1, r2 and r3 are all connected together in parallel between the two. three resistors of resistances r 1 , r 2 and r 3. Resistors R1 R2 And R3 Are Connected In Parallel.
From www.numerade.com
SOLVED The diagram shows a circuit with three resistors Resistors R1 R2 And R3 Are Connected In Parallel two resistors connected in series \((r_1, \, r_2)\) are connected to two resistors that are connected in parallel \((r_3, \, r_4)\). if three resistors r1 , r2 and r3 are connected in parallel, the total electrical resistance is determined by the equation. this parallel resistor calculator is a tool for determining the equivalent resistance of a circuit. Resistors R1 R2 And R3 Are Connected In Parallel.
From byjus.com
If the equivalent resistance of R1and R2 in series and parallel be r1 Resistors R1 R2 And R3 Are Connected In Parallel two resistors connected in series \((r_1, \, r_2)\) are connected to two resistors that are connected in parallel \((r_3, \, r_4)\). if three resistors r1 , r2 and r3 are connected in parallel, the total electrical resistance is determined by the equation. this parallel resistor calculator is a tool for determining the equivalent resistance of a circuit. Resistors R1 R2 And R3 Are Connected In Parallel.
From www.numerade.com
SOLVEDAn electrical circuit contains three resistors connected in Resistors R1 R2 And R3 Are Connected In Parallel this parallel resistor calculator is a tool for determining the equivalent resistance of a circuit with up. in the following resistors in parallel circuit the resistors r1, r2 and r3 are all connected together in parallel between the two. three resistors of resistances r 1 , r 2 and r 3 are connected (i) in series, and. Resistors R1 R2 And R3 Are Connected In Parallel.
From www.sarthaks.com
Figure shows three resistor configurations R1,R2 and R3 connected to 3V Resistors R1 R2 And R3 Are Connected In Parallel (a) three resistors r1, r2 and r3 are connected in parallel and the combination is connected to a battery, ammeter, voltmeter and key. This tool was designed to help you quickly calculate the equivalent resistance of up to 6. circuit schematic for resistors connected in parallel. three resistors of resistances r 1 , r 2 and r. Resistors R1 R2 And R3 Are Connected In Parallel.
From www.chegg.com
Solved R3 R2 R1 Resistors R1 R2 And R3 Are Connected In Parallel two resistors connected in series \((r_1, \, r_2)\) are connected to two resistors that are connected in parallel \((r_3, \, r_4)\). (a) three resistors r1, r2 and r3 are connected in parallel and the combination is connected to a battery, ammeter, voltmeter and key. circuit schematic for resistors connected in parallel. three resistors of resistances r. Resistors R1 R2 And R3 Are Connected In Parallel.
From allthefancydetails.blogspot.com
Expression For Two Resistors In Parallel Resistors R1 R2 And R3 Are Connected In Parallel circuit schematic for resistors connected in parallel. if three resistors r1 , r2 and r3 are connected in parallel, the total electrical resistance is determined by the equation. in the following resistors in parallel circuit the resistors r1, r2 and r3 are all connected together in parallel between the two. (a) three resistors r1, r2 and. Resistors R1 R2 And R3 Are Connected In Parallel.
From www.toppr.com
1 Three resistors 03.1 R1, R2, R3 R1, R2, R3 are to be combined to form Resistors R1 R2 And R3 Are Connected In Parallel in the following resistors in parallel circuit the resistors r1, r2 and r3 are all connected together in parallel between the two. if three resistors r1 , r2 and r3 are connected in parallel, the total electrical resistance is determined by the equation. (a) three resistors r1, r2 and r3 are connected in parallel and the combination. Resistors R1 R2 And R3 Are Connected In Parallel.
From www.toppr.com
(a) Three Three resistors R1, R2 and R3 are connected in parallel and Resistors R1 R2 And R3 Are Connected In Parallel (a) three resistors r1, r2 and r3 are connected in parallel and the combination is connected to a battery, ammeter, voltmeter and key. This tool was designed to help you quickly calculate the equivalent resistance of up to 6. circuit schematic for resistors connected in parallel. in the following resistors in parallel circuit the resistors r1, r2. Resistors R1 R2 And R3 Are Connected In Parallel.
From www.toppr.com
Three resistors R1, R2 and Re combination is connected to a b R. R, and Resistors R1 R2 And R3 Are Connected In Parallel if three resistors r1 , r2 and r3 are connected in parallel, the total electrical resistance is determined by the equation. (b) suppose that r1 , r2. this parallel resistor calculator is a tool for determining the equivalent resistance of a circuit with up. This tool was designed to help you quickly calculate the equivalent resistance of up. Resistors R1 R2 And R3 Are Connected In Parallel.
From brainly.in
Three resistors R1 ,R2 and R3 are connected in parallel and combination Resistors R1 R2 And R3 Are Connected In Parallel circuit schematic for resistors connected in parallel. This tool was designed to help you quickly calculate the equivalent resistance of up to 6. two resistors connected in series \((r_1, \, r_2)\) are connected to two resistors that are connected in parallel \((r_3, \, r_4)\). in the following resistors in parallel circuit the resistors r1, r2 and r3. Resistors R1 R2 And R3 Are Connected In Parallel.
From www.numerade.com
SOLVED "Resistors R1, R2, R3 having values 5?, 10 ?, 30 ? respectively Resistors R1 R2 And R3 Are Connected In Parallel this parallel resistor calculator is a tool for determining the equivalent resistance of a circuit with up. in the following resistors in parallel circuit the resistors r1, r2 and r3 are all connected together in parallel between the two. (a) three resistors r1, r2 and r3 are connected in parallel and the combination is connected to a. Resistors R1 R2 And R3 Are Connected In Parallel.
From www.toppr.com
31. Draw diagram showing three resistors R1, R2 and R3 in series. i)Two Resistors R1 R2 And R3 Are Connected In Parallel two resistors connected in series \((r_1, \, r_2)\) are connected to two resistors that are connected in parallel \((r_3, \, r_4)\). (b) suppose that r1 , r2. This tool was designed to help you quickly calculate the equivalent resistance of up to 6. if three resistors r1 , r2 and r3 are connected in parallel, the total electrical. Resistors R1 R2 And R3 Are Connected In Parallel.
From www.numerade.com
SOLVED Three identical resistors (R1, R2, R3 = 6Ω) are connected in Resistors R1 R2 And R3 Are Connected In Parallel This tool was designed to help you quickly calculate the equivalent resistance of up to 6. two resistors connected in series \((r_1, \, r_2)\) are connected to two resistors that are connected in parallel \((r_3, \, r_4)\). circuit schematic for resistors connected in parallel. if three resistors r1 , r2 and r3 are connected in parallel, the. Resistors R1 R2 And R3 Are Connected In Parallel.
From www.numerade.com
SOLVED Given four resistors R1 = 100 ohms, R2 = 250 ohms, R3 = 350 Resistors R1 R2 And R3 Are Connected In Parallel (b) suppose that r1 , r2. three resistors of resistances r 1 , r 2 and r 3 are connected (i) in series, and (ii) in parallel. two resistors connected in series \((r_1, \, r_2)\) are connected to two resistors that are connected in parallel \((r_3, \, r_4)\). this parallel resistor calculator is a tool for determining. Resistors R1 R2 And R3 Are Connected In Parallel.
From developer.wildernesslabs.co
Resistors in Parallel Wilderness Labs Developer Portal Resistors R1 R2 And R3 Are Connected In Parallel circuit schematic for resistors connected in parallel. (a) three resistors r1, r2 and r3 are connected in parallel and the combination is connected to a battery, ammeter, voltmeter and key. (b) suppose that r1 , r2. in the following resistors in parallel circuit the resistors r1, r2 and r3 are all connected together in parallel between the. Resistors R1 R2 And R3 Are Connected In Parallel.
From brainly.in
Deduce the expression for the equivalent resistance of the parallel Resistors R1 R2 And R3 Are Connected In Parallel in the following resistors in parallel circuit the resistors r1, r2 and r3 are all connected together in parallel between the two. three resistors of resistances r 1 , r 2 and r 3 are connected (i) in series, and (ii) in parallel. This tool was designed to help you quickly calculate the equivalent resistance of up to. Resistors R1 R2 And R3 Are Connected In Parallel.
From brainly.in
Draw a diagram of the electric circuit in which the resistor R1 R2 R3 Resistors R1 R2 And R3 Are Connected In Parallel three resistors of resistances r 1 , r 2 and r 3 are connected (i) in series, and (ii) in parallel. This tool was designed to help you quickly calculate the equivalent resistance of up to 6. if three resistors r1 , r2 and r3 are connected in parallel, the total electrical resistance is determined by the equation.. Resistors R1 R2 And R3 Are Connected In Parallel.
From www.meritnation.com
derive expression for equivalent resistance when three resistors of Resistors R1 R2 And R3 Are Connected In Parallel if three resistors r1 , r2 and r3 are connected in parallel, the total electrical resistance is determined by the equation. This tool was designed to help you quickly calculate the equivalent resistance of up to 6. three resistors of resistances r 1 , r 2 and r 3 are connected (i) in series, and (ii) in parallel.. Resistors R1 R2 And R3 Are Connected In Parallel.
From www.toppr.com
Three resistors R1, R2 , and R3 are connected as shown below.The Resistors R1 R2 And R3 Are Connected In Parallel if three resistors r1 , r2 and r3 are connected in parallel, the total electrical resistance is determined by the equation. in the following resistors in parallel circuit the resistors r1, r2 and r3 are all connected together in parallel between the two. (b) suppose that r1 , r2. (a) three resistors r1, r2 and r3 are. Resistors R1 R2 And R3 Are Connected In Parallel.
From brainly.in
Resistor of resistance r1 r2 and r3 are connected in series and in Resistors R1 R2 And R3 Are Connected In Parallel two resistors connected in series \((r_1, \, r_2)\) are connected to two resistors that are connected in parallel \((r_3, \, r_4)\). three resistors of resistances r 1 , r 2 and r 3 are connected (i) in series, and (ii) in parallel. This tool was designed to help you quickly calculate the equivalent resistance of up to 6.. Resistors R1 R2 And R3 Are Connected In Parallel.
From philschatz.com
Resistors in Series and Parallel · Physics Resistors R1 R2 And R3 Are Connected In Parallel (b) suppose that r1 , r2. (a) three resistors r1, r2 and r3 are connected in parallel and the combination is connected to a battery, ammeter, voltmeter and key. two resistors connected in series \((r_1, \, r_2)\) are connected to two resistors that are connected in parallel \((r_3, \, r_4)\). this parallel resistor calculator is a tool. Resistors R1 R2 And R3 Are Connected In Parallel.
From www.chegg.com
Solved 2. Three resistors (R1, R2, and R3) are connected in Resistors R1 R2 And R3 Are Connected In Parallel this parallel resistor calculator is a tool for determining the equivalent resistance of a circuit with up. if three resistors r1 , r2 and r3 are connected in parallel, the total electrical resistance is determined by the equation. (b) suppose that r1 , r2. two resistors connected in series \((r_1, \, r_2)\) are connected to two resistors. Resistors R1 R2 And R3 Are Connected In Parallel.
From brainly.in
(a)Three resistors R1, R2 and R3 are connected in parallel and Resistors R1 R2 And R3 Are Connected In Parallel This tool was designed to help you quickly calculate the equivalent resistance of up to 6. two resistors connected in series \((r_1, \, r_2)\) are connected to two resistors that are connected in parallel \((r_3, \, r_4)\). in the following resistors in parallel circuit the resistors r1, r2 and r3 are all connected together in parallel between the. Resistors R1 R2 And R3 Are Connected In Parallel.
From brainly.in
Three resistors R1 ,R2,R3 are connected in parallel to a source of Resistors R1 R2 And R3 Are Connected In Parallel three resistors of resistances r 1 , r 2 and r 3 are connected (i) in series, and (ii) in parallel. (a) three resistors r1, r2 and r3 are connected in parallel and the combination is connected to a battery, ammeter, voltmeter and key. this parallel resistor calculator is a tool for determining the equivalent resistance of. Resistors R1 R2 And R3 Are Connected In Parallel.
From www.toppr.com
Three resistors R1, R2 and Re combination is connected to a b R. R, and Resistors R1 R2 And R3 Are Connected In Parallel two resistors connected in series \((r_1, \, r_2)\) are connected to two resistors that are connected in parallel \((r_3, \, r_4)\). (a) three resistors r1, r2 and r3 are connected in parallel and the combination is connected to a battery, ammeter, voltmeter and key. circuit schematic for resistors connected in parallel. This tool was designed to help. Resistors R1 R2 And R3 Are Connected In Parallel.
From www.numerade.com
SOLVED Three resistors are connected in parallel R1 = 20 W, R2 = 35 k Resistors R1 R2 And R3 Are Connected In Parallel two resistors connected in series \((r_1, \, r_2)\) are connected to two resistors that are connected in parallel \((r_3, \, r_4)\). this parallel resistor calculator is a tool for determining the equivalent resistance of a circuit with up. (a) three resistors r1, r2 and r3 are connected in parallel and the combination is connected to a battery,. Resistors R1 R2 And R3 Are Connected In Parallel.
From www.toppr.com
If R1,R2,R3 are all connected in parallel, the effective resistance Resistors R1 R2 And R3 Are Connected In Parallel three resistors of resistances r 1 , r 2 and r 3 are connected (i) in series, and (ii) in parallel. This tool was designed to help you quickly calculate the equivalent resistance of up to 6. (b) suppose that r1 , r2. this parallel resistor calculator is a tool for determining the equivalent resistance of a circuit. Resistors R1 R2 And R3 Are Connected In Parallel.
From www.numerade.com
SOLVED Three identical resistors (R1, R2, R3 = 6Ω) are connected in Resistors R1 R2 And R3 Are Connected In Parallel (a) three resistors r1, r2 and r3 are connected in parallel and the combination is connected to a battery, ammeter, voltmeter and key. circuit schematic for resistors connected in parallel. this parallel resistor calculator is a tool for determining the equivalent resistance of a circuit with up. two resistors connected in series \((r_1, \, r_2)\) are. Resistors R1 R2 And R3 Are Connected In Parallel.
From www.chegg.com
Solved Three resistors, R1=6 ohms, R2=3 ohms, and R3=3 ohms Resistors R1 R2 And R3 Are Connected In Parallel two resistors connected in series \((r_1, \, r_2)\) are connected to two resistors that are connected in parallel \((r_3, \, r_4)\). if three resistors r1 , r2 and r3 are connected in parallel, the total electrical resistance is determined by the equation. This tool was designed to help you quickly calculate the equivalent resistance of up to 6.. Resistors R1 R2 And R3 Are Connected In Parallel.
From www.youtube.com
Three resistors having resistances r1, r2 and r3 are connected as shown Resistors R1 R2 And R3 Are Connected In Parallel if three resistors r1 , r2 and r3 are connected in parallel, the total electrical resistance is determined by the equation. three resistors of resistances r 1 , r 2 and r 3 are connected (i) in series, and (ii) in parallel. this parallel resistor calculator is a tool for determining the equivalent resistance of a circuit. Resistors R1 R2 And R3 Are Connected In Parallel.
From www.numerade.com
SOLVED Three resistors R1 = 4 ohms) connected in series with two other Resistors R1 R2 And R3 Are Connected In Parallel This tool was designed to help you quickly calculate the equivalent resistance of up to 6. two resistors connected in series \((r_1, \, r_2)\) are connected to two resistors that are connected in parallel \((r_3, \, r_4)\). if three resistors r1 , r2 and r3 are connected in parallel, the total electrical resistance is determined by the equation.. Resistors R1 R2 And R3 Are Connected In Parallel.
From www.circuitdiagram.co
A Schematic Diagram Of Circuit Consisting Two Resistors Is Shown Below Resistors R1 R2 And R3 Are Connected In Parallel circuit schematic for resistors connected in parallel. if three resistors r1 , r2 and r3 are connected in parallel, the total electrical resistance is determined by the equation. in the following resistors in parallel circuit the resistors r1, r2 and r3 are all connected together in parallel between the two. (a) three resistors r1, r2 and. Resistors R1 R2 And R3 Are Connected In Parallel.