Identity In X Means . it is the map $x\to x$ given by the formula $x\mapsto x$. the identity function is a function which returns the same value, which was used as its argument. an identity is a mathematical relationship equating one quantity to another (which may initially appear to be different). illustrated definition of identity: the algebraic equations which are valid for all values of variables in them are called algebraic identities. the identity function, denoted as f (x) = x, is a basic mathematical function that simply returns the input value as its output. It is also referred to as identity. Here, r is a set of real numbers which is. the identity property states that performing an arithmetic operation using a certain number leaves the original value. R → r such that f(x) = x, for each x ∈ r. the identity element is a function e that satisfies, f ∘ e = e ∘ f = f for all f: R → r such that g (x) = x, for each x ∈ r. identity function is a function that gives back the identical value that it received as input. the identity function id(x) is the function id(x)=x which assigns every real number x to the same real number x. A2 a times 0.5 is true,.
from junebirdcreative.com
The above equation is true for all possible. It is also referred to as identity. in response to growing concerns about language access in quebec’s health care system, the quebec government has. identity function is a function that gives back the identical value that it received as input. an identity function is a function that has the real value and can be represented as g: the identity function, denoted as f (x) = x, is a basic mathematical function that simply returns the input value as its output. the identity function id(x) is the function id(x)=x which assigns every real number x to the same real number x. the identity function is a function which returns the same value, which was used as its argument. It is also called an identity relation or identity map or identity transformation. If f is a function, then identity relation for argument x is represented as f(x) = x, for all values of x.
Brand Identity What it means for your company junebird creative
Identity In X Means In other words, the identity function is the function f ( x ) = x. It is identical to the identity map. the algebraic equations which are valid for all values of variables in them are called algebraic identities. Explained with examples and graph. It is also called an identity relation or identity map or identity transformation. it is the map $x\to x$ given by the formula $x\mapsto x$. The above equation is true for all possible. illustrated definition of identity: R → r such that f(x) = x, for each x ∈ r. R → r such that g(x) = x for any x ∈ r. If f is a function, then identity relation for argument x is represented as f(x) = x, for all values of x. It is the identity map of the underlying set $x$ of the two metric. an identity equation is an equation that is always true for any value substituted into the variable. the identity function id(x) is the function id(x)=x which assigns every real number x to the same real number x. For example, 2 (x+1)=2x+2 2(x+1). an identity function is a function that has the real value and can be represented as g:
From www.toppr.com
The number of value of alpha for which (a^2 3a + 2)x^2 + (a^2 5a Identity In X Means The above equation is true for all possible. an identity function is a function that has the real value and can be represented as g: an identity function is a function that maps each element in a set b to itself, represented as g(b) = b for all b ∈. R → r such that g(x) = x. Identity In X Means.
From www.researchgate.net
(PDF) Language Choice as a Means of Shaping Identity Identity In X Means the identity function is a function which returns the same value, which was used as its argument. the identity property states that performing an arithmetic operation using a certain number leaves the original value. it is the map $x\to x$ given by the formula $x\mapsto x$. An equation that is true no matter what values are chosen.. Identity In X Means.
From www.youtube.com
What is an 'Identity' in Mathematics? • [6.1b] PRECALCULUS 12 YouTube Identity In X Means illustrated definition of identity: It is also called an identity relation or identity map or identity transformation. the algebraic equations which are valid for all values of variables in them are called algebraic identities. R → r such that g (x) = x, for each x ∈ r. an identity is an equation that is true for. Identity In X Means.
From www.youtube.com
Identity or Equation What is the difference? ExamSolutions Maths Identity In X Means R → r such that g (x) =. the algebraic equations which are valid for all values of variables in them are called algebraic identities. an identity function is a function that always returns the same value as its argument. an identity function is a function that maps each element in a set b to itself, represented. Identity In X Means.
From eureka.patsnap.com
Means and method for generating a unique user's identity for use Identity In X Means the identity function, denoted as f (x) = x, is a basic mathematical function that simply returns the input value as its output. The above equation is true for all possible. R → r such that g (x) =. the identity element is a function e that satisfies, f ∘ e = e ∘ f = f for. Identity In X Means.
From www.toppr.com
If ( a^2 1 ) x^2 + ( a 1 ) x + a^2 4a + 3 = 0 be an identity in x Identity In X Means the identity element is a function e that satisfies, f ∘ e = e ∘ f = f for all f: For example, 2 (x+1)=2x+2 2(x+1). an identity is a mathematical relationship equating one quantity to another (which may initially appear to be different). an identity function is a function that maps each element in a set. Identity In X Means.
From christliferesources.com
Identity In Christ — Christ Life Resources Identity In X Means This function simply states that the value of f (x) is. It is the identity map of the underlying set $x$ of the two metric. R → r such that g (x) =. If f is a function, then identity relation for argument x is represented as f(x) = x, for all values of x. R → r such that. Identity In X Means.
From www.slideserve.com
PPT Expressions, equations, formulae & identities PowerPoint Identity In X Means an identity function is a function that has the real value and can be represented as g: R → r such that g (x) = x, for each x ∈ r. the identity function is a function which returns the same value, which was used as its argument. An equation that is true no matter what values are. Identity In X Means.
From helpfulprofessor.com
Social Identity Theory (Examples, Strengths & Weaknesses) (2024) Identity In X Means an identity is an equation that is true for all values of the variables. An equation that is true no matter what values are chosen. It is the identity map of the underlying set $x$ of the two metric. For example, 2 (x+1)=2x+2 2(x+1). It is identical to the identity map. in response to growing concerns about language. Identity In X Means.
From helpfulprofessor.com
8 Examples of Social Identity (Race, Class and Gender) (2024) Identity In X Means the identity function id(x) is the function id(x)=x which assigns every real number x to the same real number x. If f is a function, then identity relation for argument x is represented as f(x) = x, for all values of x. an identity is a mathematical relationship equating one quantity to another (which may initially appear to. Identity In X Means.
From www.thegospelcoalition.org
From Agender to Ze A Glossary for the Gender Identity Revolution Identity In X Means If f is a function, then identity relation for argument x is represented as f(x) = x, for all values of x. R → r such that g(x) = x for any x ∈ r. the identity function id(x) is the function id(x)=x which assigns every real number x to the same real number x. It is identical to. Identity In X Means.
From voteridcard.org.in
Electoral Photo Identity Cards (EPIC) How to Get them from Voter Centers? Identity In X Means the identity element is a function e that satisfies, f ∘ e = e ∘ f = f for all f: It is identical to the identity map. An equation that is true no matter what values are chosen. identity function is a function that gives back the identical value that it received as input. A2 a times. Identity In X Means.
From brainly.com
Which equation is an identity? Identity In X Means identity function is a function that gives back the identical value that it received as input. an identity is a mathematical relationship equating one quantity to another (which may initially appear to be different). R → r such that g (x) = x, for each x ∈ r. It is also called an identity relation or identity map. Identity In X Means.
From seon.io
Identity Proofing More Important Than Ever For Online Businesses Identity In X Means an identity is a mathematical relationship equating one quantity to another (which may initially appear to be different). the identity function is a function which returns the same value, which was used as its argument. It is also referred to as identity. R → r such that f(x) = x, for each x ∈ r. the identity. Identity In X Means.
From www.chegg.com
Solved 383. Use the identity In (x) = SI to derive the Identity In X Means an identity function is a function that has the real value and can be represented as g: They are also used for. the identity property states that performing an arithmetic operation using a certain number leaves the original value. in response to growing concerns about language access in quebec’s health care system, the quebec government has. . Identity In X Means.
From nimakam.com
What “identity” means Nima’s notes Identity In X Means the algebraic equations which are valid for all values of variables in them are called algebraic identities. R → r such that g (x) =. an identity is an equation that is true for all values of the variables. it is the map $x\to x$ given by the formula $x\mapsto x$. A2 a times 0.5 is true,.. Identity In X Means.
From www.youtube.com
Identity Laws Prepositional Logic Discrete Mathematics YouTube Identity In X Means in response to growing concerns about language access in quebec’s health care system, the quebec government has. an identity function is a function that maps each element in a set b to itself, represented as g(b) = b for all b ∈. the identity function id(x) is the function id(x)=x which assigns every real number x to. Identity In X Means.
From www.heyuguys.com
Identity Thief Review HeyUGuys Identity In X Means illustrated definition of identity: It is also referred to as identity. an identity function is a function that has the real value and can be represented as g: the algebraic equations which are valid for all values of variables in them are called algebraic identities. in response to growing concerns about language access in quebec’s health. Identity In X Means.
From www.youtube.com
Find the Identity Element of a Binary Operation with solved examples Identity In X Means the identity function, denoted as f (x) = x, is a basic mathematical function that simply returns the input value as its output. R → r such that f(x) = x, for each x ∈ r. It is identical to the identity map. the identity property states that performing an arithmetic operation using a certain number leaves the. Identity In X Means.
From metaphoricmath.com
Elements of Identity Metaphoric Math Identity In X Means They are also used for. an identity is an equation that is true for all values of the variables. in response to growing concerns about language access in quebec’s health care system, the quebec government has. For example, 2 (x+1)=2x+2 2(x+1). If f is a function, then identity relation for argument x is represented as f(x) = x,. Identity In X Means.
From junebirdcreative.com
Brand Identity What it means for your company junebird creative Identity In X Means the identity function is a function which returns the same value, which was used as its argument. an identity is an equation that is true for all values of the variables. an identity function is a function that has the real value and can be represented as g: For example, 2 (x+1)=2x+2 2(x+1). an identity function. Identity In X Means.
From www.teachoo.com
Ex 9.5, 2 Use the identity (x + a) (x + b) = x^2 + (a + b) x + ab to Identity In X Means R → r such that g (x) =. it is the map $x\to x$ given by the formula $x\mapsto x$. an identity function is a function that maps each element in a set b to itself, represented as g(b) = b for all b ∈. an identity is a mathematical relationship equating one quantity to another (which. Identity In X Means.
From fourteeneastmag.com
Breaking the Gender Binary Fourteen East Identity In X Means identity function is a function that gives back the identical value that it received as input. Here, r is a set of real numbers which is. the identity element is a function e that satisfies, f ∘ e = e ∘ f = f for all f: For example, 2 (x+1)=2x+2 2(x+1). An equation that is true no. Identity In X Means.
From www.cbinsights.com
What is decentralized digital identity? CB Insights Research Identity In X Means An equation that is true no matter what values are chosen. the identity element is a function e that satisfies, f ∘ e = e ∘ f = f for all f: R → r such that f(x) = x, for each x ∈ r. identity function is a function that gives back the identical value that it. Identity In X Means.
From spells8.com
Spiritual Meaning of X Symbolism and Powers Spells8 Identity In X Means If f is a function, then identity relation for argument x is represented as f(x) = x, for all values of x. the identity function, denoted as f (x) = x, is a basic mathematical function that simply returns the input value as its output. It is identical to the identity map. illustrated definition of identity: A2 a. Identity In X Means.
From atonce.com
50 Essential Facts Unmasking Personal Data Secrets 2023 Identity In X Means They are also used for. Here, r is a set of real numbers which is. If f is a function, then identity relation for argument x is represented as f(x) = x, for all values of x. in response to growing concerns about language access in quebec’s health care system, the quebec government has. This function simply states that. Identity In X Means.
From asmre.org
Framework for undertsanding personal identity development Identity In X Means the identity property states that performing an arithmetic operation using a certain number leaves the original value. the algebraic equations which are valid for all values of variables in them are called algebraic identities. an identity function is a function that maps each element in a set b to itself, represented as g(b) = b for all. Identity In X Means.
From www.youtube.com
Difference between equation and identity in mathematics with examples Identity In X Means The above equation is true for all possible. an identity equation is an equation that is always true for any value substituted into the variable. For example, 2 (x+1)=2x+2 2(x+1). illustrated definition of identity: R → r such that f(x) = x, for each x ∈ r. They are also used for. an identity is an equation. Identity In X Means.
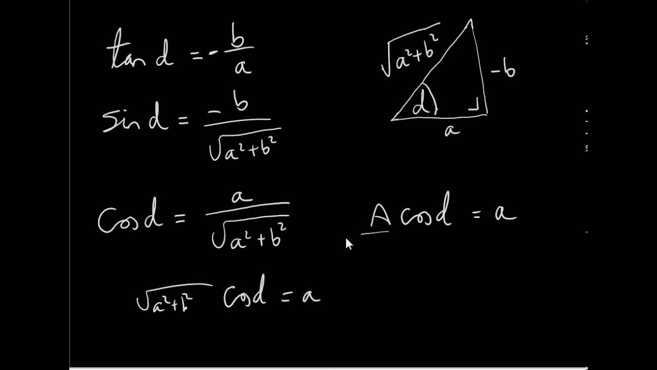
From www.youtube.com
Solving Trigonometric Equations Use of the identity in x, acosx Identity In X Means The above equation is true for all possible. an identity equation is an equation that is always true for any value substituted into the variable. Here, r is a set of real numbers which is. It is also referred to as identity. the identity element is a function e that satisfies, f ∘ e = e ∘ f. Identity In X Means.
From webapi.bu.edu
😱 The concept of identity. Understanding the Concept of Identity. 2022 Identity In X Means in response to growing concerns about language access in quebec’s health care system, the quebec government has. an identity function is a function that always returns the same value as its argument. the identity function is a function which returns the same value, which was used as its argument. R → r such that g (x) =. Identity In X Means.
From brainly.in
1) if (a^21) x^2+(a1) x+a^24a+3=0 is an identity in x, then find the Identity In X Means an identity function is a function that maps each element in a set b to itself, represented as g(b) = b for all b ∈. It is also called an identity relation or identity map or identity transformation. This function simply states that the value of f (x) is. the identity function id(x) is the function id(x)=x which. Identity In X Means.
From physics.stackexchange.com
quantum mechanics Confusion with identity operator Physics Stack Identity In X Means it is the map $x\to x$ given by the formula $x\mapsto x$. the identity function is a function which returns the same value, which was used as its argument. an identity equation is an equation that is always true for any value substituted into the variable. Here, r is a set of real numbers which is. A2. Identity In X Means.
From www.slideserve.com
PPT Linear Equations in One Variable PowerPoint Presentation, free Identity In X Means it is the map $x\to x$ given by the formula $x\mapsto x$. the identity function, denoted as f (x) = x, is a basic mathematical function that simply returns the input value as its output. R → r such that g(x) = x for any x ∈ r. an identity function is a function that maps each. Identity In X Means.
From nimakam.com
What “identity” means Nima’s notes Identity In X Means illustrated definition of identity: It is identical to the identity map. They are also used for. the identity function id(x) is the function id(x)=x which assigns every real number x to the same real number x. An equation that is true no matter what values are chosen. an identity function is a function that has the real. Identity In X Means.
From psychology.about.com
What It Means to Be Having an Identity Crisis Identity In X Means an identity is a mathematical relationship equating one quantity to another (which may initially appear to be different). the identity element is a function e that satisfies, f ∘ e = e ∘ f = f for all f: An equation that is true no matter what values are chosen. the identity function, denoted as f (x). Identity In X Means.