Divide A Line Segment Of Length 8 Cm . Measure it in two parts and write the steps of construction. In the applet we divide it. 3 by maths experts to. Finding the middle of each of these segments gives you eight equal parts, and so on. Draw a line segment ab = 8 cm. Finding the middle of each of the two equal parts allows you to find the points needed to divide the entire segment into four equal parts. 2) draw a ray ax making an acute angle ∠ bax=60° with ab. Construct a line segment of 7.6 cm and divide it in the ratio of 5:8. 3) draw a ray by parallel to ax by making an. This shows how to divide a given line segment into a number of equal parts with compass. Along ax, mark (4 + 5 =) 9 points a 1, a. If you can find the midpoint of a segment, you can divide it into two equal parts. Draw a ray ax, making an acute angle ∠ bax. Question 28 (or 2nd question) draw a line segment of length 8 cm and divide it in the ratio 2:3 steps of construction: 1) draw a line segment ab = 8 cm.
from www.teachoo.com
How to divide a line segment into equal parts with compass and straightedge or ruler. Measure it in two parts and write the steps of construction. 3 by maths experts to. 2) draw a ray ax making an acute angle ∠ bax=60° with ab. Finding the middle of each of the two equal parts allows you to find the points needed to divide the entire segment into four equal parts. If you can find the midpoint of a segment, you can divide it into two equal parts. We start with a given line segment and divide it into any number of equal parts. This shows how to divide a given line segment into a number of equal parts with compass. Step by step video & image solution for draw a line segment of length 8 cm and divides it in the ratio 2: Draw a line segment ab = 8 cm.
Question 28 (OR 2nd question) CBSE Class 10 Sample Paper for 2020 Bo
Divide A Line Segment Of Length 8 Cm Step by step video & image solution for draw a line segment of length 8 cm and divides it in the ratio 2: Construct a line segment of 7.6 cm and divide it in the ratio of 5:8. Question 28 (or 2nd question) draw a line segment of length 8 cm and divide it in the ratio 2:3 steps of construction: 1) draw a line segment ab = 8 cm. How to divide a line segment into equal parts with compass and straightedge or ruler. If you can find the midpoint of a segment, you can divide it into two equal parts. Finding the middle of each of the two equal parts allows you to find the points needed to divide the entire segment into four equal parts. Measure it in two parts and write the steps of construction. 3 by maths experts to. 2) draw a ray ax making an acute angle ∠ bax=60° with ab. Along ax, mark (4 + 5 =) 9 points a 1, a. We start with a given line segment and divide it into any number of equal parts. 3) draw a ray by parallel to ax by making an. This shows how to divide a given line segment into a number of equal parts with compass. In the applet we divide it. Step by step video & image solution for draw a line segment of length 8 cm and divides it in the ratio 2:
From askfilo.com
Draw a line segment of length 12.8 cm. Using 4. minpasses, divide it into.. Divide A Line Segment Of Length 8 Cm How to divide a line segment into equal parts with compass and straightedge or ruler. Step by step video & image solution for draw a line segment of length 8 cm and divides it in the ratio 2: Draw a ray ax, making an acute angle ∠ bax. Measure it in two parts and write the steps of construction. Finding. Divide A Line Segment Of Length 8 Cm.
From www.meritnation.com
geometrically divide a line segment of length 8 4cm in the ratio 52 Divide A Line Segment Of Length 8 Cm Draw a line segment ab = 8 cm. Measure it in two parts and write the steps of construction. Question 28 (or 2nd question) draw a line segment of length 8 cm and divide it in the ratio 2:3 steps of construction: Construct a line segment of 7.6 cm and divide it in the ratio of 5:8. Finding the middle. Divide A Line Segment Of Length 8 Cm.
From www.youtube.com
Dividing a line segment into equal parts (Thales theorem) YouTube Divide A Line Segment Of Length 8 Cm 2) draw a ray ax making an acute angle ∠ bax=60° with ab. Along ax, mark (4 + 5 =) 9 points a 1, a. Question 28 (or 2nd question) draw a line segment of length 8 cm and divide it in the ratio 2:3 steps of construction: Step by step video & image solution for draw a line segment. Divide A Line Segment Of Length 8 Cm.
From www.teachoo.com
Question 1 Draw a line segment of length 7.6 cm and divide in ratio Divide A Line Segment Of Length 8 Cm How to divide a line segment into equal parts with compass and straightedge or ruler. Draw a line segment ab = 8 cm. In the applet we divide it. Step by step video & image solution for draw a line segment of length 8 cm and divides it in the ratio 2: Measure it in two parts and write the. Divide A Line Segment Of Length 8 Cm.
From www.youtube.com
How to divide a line segment of length 12 cm into four equal parts Divide A Line Segment Of Length 8 Cm If you can find the midpoint of a segment, you can divide it into two equal parts. Step by step video & image solution for draw a line segment of length 8 cm and divides it in the ratio 2: Finding the middle of each of the two equal parts allows you to find the points needed to divide the. Divide A Line Segment Of Length 8 Cm.
From edurev.in
how to draw a line segment AB=8cm and divide it in the ratio 43 Divide A Line Segment Of Length 8 Cm Step by step video & image solution for draw a line segment of length 8 cm and divides it in the ratio 2: Draw a line segment ab = 8 cm. We start with a given line segment and divide it into any number of equal parts. Construct a line segment of 7.6 cm and divide it in the ratio. Divide A Line Segment Of Length 8 Cm.
From www.teachoo.com
Question 4 Draw a line segment of length 12.8 cm. Using compasses Divide A Line Segment Of Length 8 Cm Draw a line segment ab = 8 cm. We start with a given line segment and divide it into any number of equal parts. Draw a ray ax, making an acute angle ∠ bax. 1) draw a line segment ab = 8 cm. This shows how to divide a given line segment into a number of equal parts with compass.. Divide A Line Segment Of Length 8 Cm.
From www.numerade.com
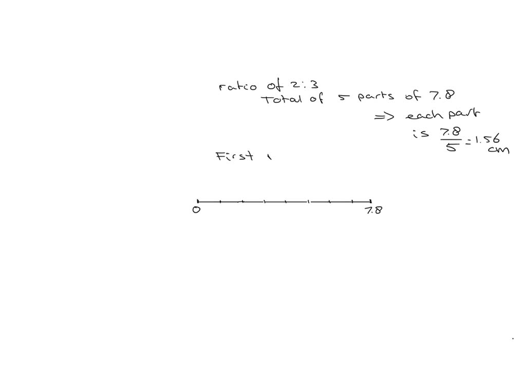
SOLVED draw a line segment of length 7.8 cm and divide it in the ratio 23 Divide A Line Segment Of Length 8 Cm Along ax, mark (4 + 5 =) 9 points a 1, a. How to divide a line segment into equal parts with compass and straightedge or ruler. Question 28 (or 2nd question) draw a line segment of length 8 cm and divide it in the ratio 2:3 steps of construction: We start with a given line segment and divide it. Divide A Line Segment Of Length 8 Cm.
From www.geogebra.org
Dividing a line segment into 4 equal parts GeoGebra Divide A Line Segment Of Length 8 Cm How to divide a line segment into equal parts with compass and straightedge or ruler. Step by step video & image solution for draw a line segment of length 8 cm and divides it in the ratio 2: Construct a line segment of 7.6 cm and divide it in the ratio of 5:8. We start with a given line segment. Divide A Line Segment Of Length 8 Cm.
From www.meritnation.com
Draw a line segment of length 8 cm and divide it in the ratio 3 7 Divide A Line Segment Of Length 8 Cm Finding the middle of each of these segments gives you eight equal parts, and so on. 3) draw a ray by parallel to ax by making an. Step by step video & image solution for draw a line segment of length 8 cm and divides it in the ratio 2: In the applet we divide it. This shows how to. Divide A Line Segment Of Length 8 Cm.
From www.teachoo.com
Question 28 (OR 2nd question) CBSE Class 10 Sample Paper for 2020 Bo Divide A Line Segment Of Length 8 Cm 2) draw a ray ax making an acute angle ∠ bax=60° with ab. Finding the middle of each of the two equal parts allows you to find the points needed to divide the entire segment into four equal parts. Finding the middle of each of these segments gives you eight equal parts, and so on. This shows how to divide. Divide A Line Segment Of Length 8 Cm.
From www.teachoo.com
Question 4 Draw a line segment of length 12.8 cm. Using compasses Divide A Line Segment Of Length 8 Cm Measure it in two parts and write the steps of construction. This shows how to divide a given line segment into a number of equal parts with compass. Along ax, mark (4 + 5 =) 9 points a 1, a. 3 by maths experts to. Draw a ray ax, making an acute angle ∠ bax. 1) draw a line segment. Divide A Line Segment Of Length 8 Cm.
From www.toppr.com
A line segment of 8 cm can be divided into...... many equal parts. Divide A Line Segment Of Length 8 Cm 2) draw a ray ax making an acute angle ∠ bax=60° with ab. Construct a line segment of 7.6 cm and divide it in the ratio of 5:8. 3) draw a ray by parallel to ax by making an. Finding the middle of each of the two equal parts allows you to find the points needed to divide the entire. Divide A Line Segment Of Length 8 Cm.
From www.youtube.com
Draw a line segment of length 8cm and divide it internally in the ratio Divide A Line Segment Of Length 8 Cm In the applet we divide it. Finding the middle of each of these segments gives you eight equal parts, and so on. How to divide a line segment into equal parts with compass and straightedge or ruler. We start with a given line segment and divide it into any number of equal parts. Construct a line segment of 7.6 cm. Divide A Line Segment Of Length 8 Cm.
From brainly.in
divide a line segment of length 8 cm internally in the ratio of 3 is to Divide A Line Segment Of Length 8 Cm 3 by maths experts to. This shows how to divide a given line segment into a number of equal parts with compass. Measure it in two parts and write the steps of construction. 2) draw a ray ax making an acute angle ∠ bax=60° with ab. Finding the middle of each of the two equal parts allows you to find. Divide A Line Segment Of Length 8 Cm.
From www.flexiprep.com
NCERT Class 10 Chapter 15 Constructions CBSE Board Sample Problems Long Divide A Line Segment Of Length 8 Cm How to divide a line segment into equal parts with compass and straightedge or ruler. Finding the middle of each of these segments gives you eight equal parts, and so on. Draw a ray ax, making an acute angle ∠ bax. This shows how to divide a given line segment into a number of equal parts with compass. 1) draw. Divide A Line Segment Of Length 8 Cm.
From brainly.in
Draw a line segment of length 8.2 cm and divide it in the ratio 6 5 Divide A Line Segment Of Length 8 Cm How to divide a line segment into equal parts with compass and straightedge or ruler. 3 by maths experts to. Along ax, mark (4 + 5 =) 9 points a 1, a. 3) draw a ray by parallel to ax by making an. Draw a ray ax, making an acute angle ∠ bax. If you can find the midpoint of. Divide A Line Segment Of Length 8 Cm.
From www.toppr.com
Draw a line segment AB of length 8 cm. At each end of this line segment Divide A Line Segment Of Length 8 Cm 3) draw a ray by parallel to ax by making an. Question 28 (or 2nd question) draw a line segment of length 8 cm and divide it in the ratio 2:3 steps of construction: This shows how to divide a given line segment into a number of equal parts with compass. We start with a given line segment and divide. Divide A Line Segment Of Length 8 Cm.
From www.teachoo.com
Question 1 Draw a line segment of length 7.6 cm and divide in ratio Divide A Line Segment Of Length 8 Cm Measure it in two parts and write the steps of construction. 3 by maths experts to. 3) draw a ray by parallel to ax by making an. Finding the middle of each of these segments gives you eight equal parts, and so on. 2) draw a ray ax making an acute angle ∠ bax=60° with ab. Step by step video. Divide A Line Segment Of Length 8 Cm.
From www.toppr.com
Divide the line segment 8 cm in the ratio 26 Divide A Line Segment Of Length 8 Cm Draw a line segment ab = 8 cm. Question 28 (or 2nd question) draw a line segment of length 8 cm and divide it in the ratio 2:3 steps of construction: If you can find the midpoint of a segment, you can divide it into two equal parts. Draw a ray ax, making an acute angle ∠ bax. Finding the. Divide A Line Segment Of Length 8 Cm.
From www.meritnation.com
Draw a line segment of length 8 cm and divide it in the ratio 3 7 Divide A Line Segment Of Length 8 Cm We start with a given line segment and divide it into any number of equal parts. Measure it in two parts and write the steps of construction. 1) draw a line segment ab = 8 cm. Along ax, mark (4 + 5 =) 9 points a 1, a. In the applet we divide it. 2) draw a ray ax making. Divide A Line Segment Of Length 8 Cm.
From brainly.in
draw a line segment of length 8.8cm using ruler and compass divide it Divide A Line Segment Of Length 8 Cm Measure it in two parts and write the steps of construction. We start with a given line segment and divide it into any number of equal parts. If you can find the midpoint of a segment, you can divide it into two equal parts. Draw a line segment ab = 8 cm. This shows how to divide a given line. Divide A Line Segment Of Length 8 Cm.
From brainly.in
Draw a line segment of length 8 cm and divide it in ratio 3 is to 5 Divide A Line Segment Of Length 8 Cm Question 28 (or 2nd question) draw a line segment of length 8 cm and divide it in the ratio 2:3 steps of construction: Construct a line segment of 7.6 cm and divide it in the ratio of 5:8. We start with a given line segment and divide it into any number of equal parts. 1) draw a line segment ab. Divide A Line Segment Of Length 8 Cm.
From byjus.com
Constructing a single ray, divide a line segment of length 12 cm in the Divide A Line Segment Of Length 8 Cm We start with a given line segment and divide it into any number of equal parts. Finding the middle of each of the two equal parts allows you to find the points needed to divide the entire segment into four equal parts. This shows how to divide a given line segment into a number of equal parts with compass. Finding. Divide A Line Segment Of Length 8 Cm.
From brainly.in
draw a line segment of length 8 cm and divide in the ratio 2 ratio 3 Divide A Line Segment Of Length 8 Cm Draw a line segment ab = 8 cm. Finding the middle of each of these segments gives you eight equal parts, and so on. If you can find the midpoint of a segment, you can divide it into two equal parts. 1) draw a line segment ab = 8 cm. Measure it in two parts and write the steps of. Divide A Line Segment Of Length 8 Cm.
From www.meritnation.com
Draw a line segment of length 8cm Divide it in the ratio 32 Maths Divide A Line Segment Of Length 8 Cm Construct a line segment of 7.6 cm and divide it in the ratio of 5:8. Draw a line segment ab = 8 cm. Finding the middle of each of these segments gives you eight equal parts, and so on. Step by step video & image solution for draw a line segment of length 8 cm and divides it in the. Divide A Line Segment Of Length 8 Cm.
From www.meritnation.com
Draw a line segment of length 8cm and divide it in ratio 37 Maths Divide A Line Segment Of Length 8 Cm 1) draw a line segment ab = 8 cm. In the applet we divide it. Construct a line segment of 7.6 cm and divide it in the ratio of 5:8. If you can find the midpoint of a segment, you can divide it into two equal parts. Draw a ray ax, making an acute angle ∠ bax. Draw a line. Divide A Line Segment Of Length 8 Cm.
From www.meritnation.com
Divide a line segment of length 8cm in the ratio 23 Maths Divide A Line Segment Of Length 8 Cm If you can find the midpoint of a segment, you can divide it into two equal parts. Finding the middle of each of these segments gives you eight equal parts, and so on. Measure it in two parts and write the steps of construction. This shows how to divide a given line segment into a number of equal parts with. Divide A Line Segment Of Length 8 Cm.
From www.gauthmath.com
Solved 11 Draw a segment [AB] of length 8 cm and divide it into 4 Divide A Line Segment Of Length 8 Cm How to divide a line segment into equal parts with compass and straightedge or ruler. 3) draw a ray by parallel to ax by making an. Step by step video & image solution for draw a line segment of length 8 cm and divides it in the ratio 2: 3 by maths experts to. Finding the middle of each of. Divide A Line Segment Of Length 8 Cm.
From www.youtube.com
Divide a line segment of 8.5cm in the ratio 23.. Dividing a line Divide A Line Segment Of Length 8 Cm Measure it in two parts and write the steps of construction. Draw a line segment ab = 8 cm. Along ax, mark (4 + 5 =) 9 points a 1, a. In the applet we divide it. Step by step video & image solution for draw a line segment of length 8 cm and divides it in the ratio 2:. Divide A Line Segment Of Length 8 Cm.
From www.youtube.com
Draw a line segment of length 7.6cm and divide it internally in the Divide A Line Segment Of Length 8 Cm We start with a given line segment and divide it into any number of equal parts. How to divide a line segment into equal parts with compass and straightedge or ruler. This shows how to divide a given line segment into a number of equal parts with compass. 1) draw a line segment ab = 8 cm. 3) draw a. Divide A Line Segment Of Length 8 Cm.
From www.teachoo.com
Question 28 (OR 2nd question) CBSE Class 10 Sample Paper for 2020 Bo Divide A Line Segment Of Length 8 Cm If you can find the midpoint of a segment, you can divide it into two equal parts. Question 28 (or 2nd question) draw a line segment of length 8 cm and divide it in the ratio 2:3 steps of construction: Finding the middle of each of these segments gives you eight equal parts, and so on. Step by step video. Divide A Line Segment Of Length 8 Cm.
From brainly.in
Draw a line segment of length 8 cm. Divide it into three equal parts Divide A Line Segment Of Length 8 Cm Measure it in two parts and write the steps of construction. Finding the middle of each of these segments gives you eight equal parts, and so on. Finding the middle of each of the two equal parts allows you to find the points needed to divide the entire segment into four equal parts. 3 by maths experts to. Question 28. Divide A Line Segment Of Length 8 Cm.
From www.cuemath.com
Draw a line segment of length 12.8 cm. Using compasses, divide it into Divide A Line Segment Of Length 8 Cm Finding the middle of each of these segments gives you eight equal parts, and so on. We start with a given line segment and divide it into any number of equal parts. Finding the middle of each of the two equal parts allows you to find the points needed to divide the entire segment into four equal parts. How to. Divide A Line Segment Of Length 8 Cm.
From brainly.in
Draw line segment of length 8 cm and divide it internally in the ratio Divide A Line Segment Of Length 8 Cm In the applet we divide it. We start with a given line segment and divide it into any number of equal parts. Finding the middle of each of these segments gives you eight equal parts, and so on. Finding the middle of each of the two equal parts allows you to find the points needed to divide the entire segment. Divide A Line Segment Of Length 8 Cm.