Engine Transmission Angle . Check out our guide to some common terms, measurements and concepts below. This simplified drawing serves to illustrate that the angle of the pinion should be equal, but opposite that of the transmission output shaft (same as the engine crankshaft angle). In order to minimize power loss and vibration in an offset configuration, the pinion centerline and the transmission centerline need to be parallel. To calculate pinion and transmission shaft angles, you’ll need to find out the engine and transmission angle, driveshaft. Ultimately, everything from the slope of your engine and transmission to your pinion angle — and intended use of your vehicle — play a role in proper driveline alignment. The angle between a car's transmission output shaft and rear axle pinion is crucial in. However, when the engine and pinion. Select the number of shafts in your. You can set up the engine angle at almost any degree just as long as the transmission is perfectly in line with the pinion yoke.
from modemech.blogspot.com
In order to minimize power loss and vibration in an offset configuration, the pinion centerline and the transmission centerline need to be parallel. The angle between a car's transmission output shaft and rear axle pinion is crucial in. You can set up the engine angle at almost any degree just as long as the transmission is perfectly in line with the pinion yoke. Select the number of shafts in your. Check out our guide to some common terms, measurements and concepts below. This simplified drawing serves to illustrate that the angle of the pinion should be equal, but opposite that of the transmission output shaft (same as the engine crankshaft angle). To calculate pinion and transmission shaft angles, you’ll need to find out the engine and transmission angle, driveshaft. Ultimately, everything from the slope of your engine and transmission to your pinion angle — and intended use of your vehicle — play a role in proper driveline alignment. However, when the engine and pinion.
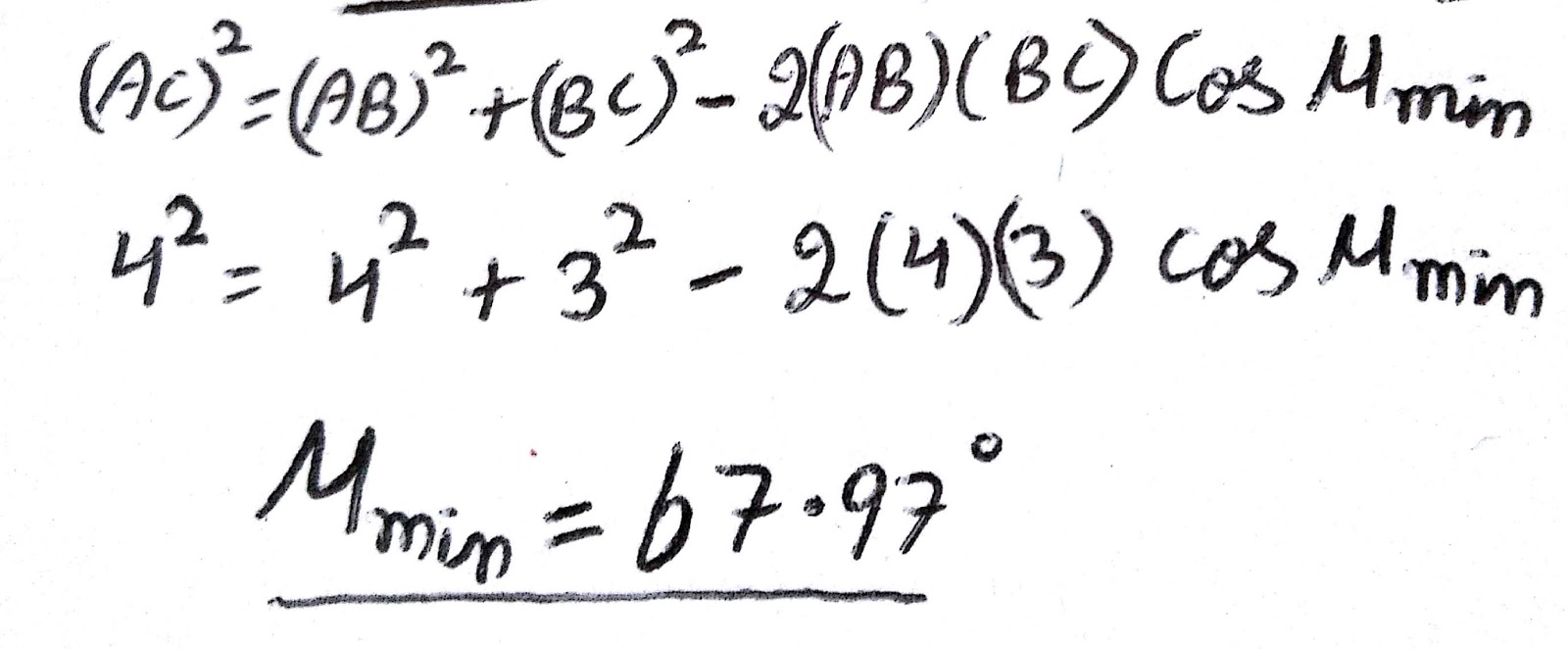
Lecture 11 (Transmission angle in four bar mechanism)
Engine Transmission Angle To calculate pinion and transmission shaft angles, you’ll need to find out the engine and transmission angle, driveshaft. Check out our guide to some common terms, measurements and concepts below. To calculate pinion and transmission shaft angles, you’ll need to find out the engine and transmission angle, driveshaft. Select the number of shafts in your. The angle between a car's transmission output shaft and rear axle pinion is crucial in. However, when the engine and pinion. You can set up the engine angle at almost any degree just as long as the transmission is perfectly in line with the pinion yoke. This simplified drawing serves to illustrate that the angle of the pinion should be equal, but opposite that of the transmission output shaft (same as the engine crankshaft angle). In order to minimize power loss and vibration in an offset configuration, the pinion centerline and the transmission centerline need to be parallel. Ultimately, everything from the slope of your engine and transmission to your pinion angle — and intended use of your vehicle — play a role in proper driveline alignment.
From modemech.blogspot.com
Lecture 11 (Transmission angle in four bar mechanism) Engine Transmission Angle You can set up the engine angle at almost any degree just as long as the transmission is perfectly in line with the pinion yoke. Check out our guide to some common terms, measurements and concepts below. To calculate pinion and transmission shaft angles, you’ll need to find out the engine and transmission angle, driveshaft. However, when the engine and. Engine Transmission Angle.
From engineeringlearn.com
Types of Reduction Gear Engineering Learn Engine Transmission Angle The angle between a car's transmission output shaft and rear axle pinion is crucial in. Check out our guide to some common terms, measurements and concepts below. In order to minimize power loss and vibration in an offset configuration, the pinion centerline and the transmission centerline need to be parallel. However, when the engine and pinion. Select the number of. Engine Transmission Angle.
From www.hotrod.com
HOT ROD Rescue Custom CVjoint Driveshaft Helps Fix 1971 Challenger Engine Transmission Angle This simplified drawing serves to illustrate that the angle of the pinion should be equal, but opposite that of the transmission output shaft (same as the engine crankshaft angle). The angle between a car's transmission output shaft and rear axle pinion is crucial in. In order to minimize power loss and vibration in an offset configuration, the pinion centerline and. Engine Transmission Angle.
From www.slideserve.com
PPT ME317 PowerPoint Presentation, free download ID1746354 Engine Transmission Angle In order to minimize power loss and vibration in an offset configuration, the pinion centerline and the transmission centerline need to be parallel. However, when the engine and pinion. You can set up the engine angle at almost any degree just as long as the transmission is perfectly in line with the pinion yoke. The angle between a car's transmission. Engine Transmission Angle.
From www.jalopyjournal.com
Technical Engine angle The H.A.M.B. Engine Transmission Angle Ultimately, everything from the slope of your engine and transmission to your pinion angle — and intended use of your vehicle — play a role in proper driveline alignment. This simplified drawing serves to illustrate that the angle of the pinion should be equal, but opposite that of the transmission output shaft (same as the engine crankshaft angle). However, when. Engine Transmission Angle.
From classicautoadvisors.com
Classic Car Pinion Angle Why It Is Important Classic Auto Advisors Engine Transmission Angle However, when the engine and pinion. Ultimately, everything from the slope of your engine and transmission to your pinion angle — and intended use of your vehicle — play a role in proper driveline alignment. In order to minimize power loss and vibration in an offset configuration, the pinion centerline and the transmission centerline need to be parallel. This simplified. Engine Transmission Angle.
From southbaydiesel.com
ZF 301A Marine Down Angle Transmissions South Bay Diesel & Hydraulics Engine Transmission Angle The angle between a car's transmission output shaft and rear axle pinion is crucial in. To calculate pinion and transmission shaft angles, you’ll need to find out the engine and transmission angle, driveshaft. Ultimately, everything from the slope of your engine and transmission to your pinion angle — and intended use of your vehicle — play a role in proper. Engine Transmission Angle.
From www.smallenginesuppliers.com
Right Angle Drive Part No. 794385 Engine Transmission Angle You can set up the engine angle at almost any degree just as long as the transmission is perfectly in line with the pinion yoke. The angle between a car's transmission output shaft and rear axle pinion is crucial in. To calculate pinion and transmission shaft angles, you’ll need to find out the engine and transmission angle, driveshaft. Select the. Engine Transmission Angle.
From wzqilian.en.made-in-china.com
Right Angle Gearbox Gearbox Small Motor Transmission Shaft Engine Transmission Angle The angle between a car's transmission output shaft and rear axle pinion is crucial in. Check out our guide to some common terms, measurements and concepts below. You can set up the engine angle at almost any degree just as long as the transmission is perfectly in line with the pinion yoke. This simplified drawing serves to illustrate that the. Engine Transmission Angle.
From modemech.blogspot.com
Lecture 11 (Transmission angle in four bar mechanism) Engine Transmission Angle However, when the engine and pinion. Ultimately, everything from the slope of your engine and transmission to your pinion angle — and intended use of your vehicle — play a role in proper driveline alignment. To calculate pinion and transmission shaft angles, you’ll need to find out the engine and transmission angle, driveshaft. Select the number of shafts in your.. Engine Transmission Angle.
From www.myxxgirl.com
Driveshaft Angle Chart My XXX Hot Girl Engine Transmission Angle To calculate pinion and transmission shaft angles, you’ll need to find out the engine and transmission angle, driveshaft. The angle between a car's transmission output shaft and rear axle pinion is crucial in. However, when the engine and pinion. This simplified drawing serves to illustrate that the angle of the pinion should be equal, but opposite that of the transmission. Engine Transmission Angle.
From mooregoodink.com
Engine blocks have changed, so have cylinder honing practices Here’s Engine Transmission Angle In order to minimize power loss and vibration in an offset configuration, the pinion centerline and the transmission centerline need to be parallel. Ultimately, everything from the slope of your engine and transmission to your pinion angle — and intended use of your vehicle — play a role in proper driveline alignment. Check out our guide to some common terms,. Engine Transmission Angle.
From www.youtube.com
43 Transmission Angle Example YouTube Engine Transmission Angle Ultimately, everything from the slope of your engine and transmission to your pinion angle — and intended use of your vehicle — play a role in proper driveline alignment. You can set up the engine angle at almost any degree just as long as the transmission is perfectly in line with the pinion yoke. Check out our guide to some. Engine Transmission Angle.
From www.truckowners.com
Truck Owners Drive Line Phasing And Universal Joint Angles Engine Transmission Angle The angle between a car's transmission output shaft and rear axle pinion is crucial in. Check out our guide to some common terms, measurements and concepts below. To calculate pinion and transmission shaft angles, you’ll need to find out the engine and transmission angle, driveshaft. Ultimately, everything from the slope of your engine and transmission to your pinion angle —. Engine Transmission Angle.
From mectips.com
What is power angle in transmission line system? Mechanical Engineering Engine Transmission Angle Ultimately, everything from the slope of your engine and transmission to your pinion angle — and intended use of your vehicle — play a role in proper driveline alignment. Check out our guide to some common terms, measurements and concepts below. However, when the engine and pinion. The angle between a car's transmission output shaft and rear axle pinion is. Engine Transmission Angle.
From www.youtube.com
Inline slider crank mechanism transmission angle Transmission angle Engine Transmission Angle To calculate pinion and transmission shaft angles, you’ll need to find out the engine and transmission angle, driveshaft. Select the number of shafts in your. However, when the engine and pinion. Ultimately, everything from the slope of your engine and transmission to your pinion angle — and intended use of your vehicle — play a role in proper driveline alignment.. Engine Transmission Angle.
From www.walmart.com
RC Car Driveshaft Replacement, Length Robust Large Transmission Angle 1 Engine Transmission Angle Select the number of shafts in your. The angle between a car's transmission output shaft and rear axle pinion is crucial in. You can set up the engine angle at almost any degree just as long as the transmission is perfectly in line with the pinion yoke. To calculate pinion and transmission shaft angles, you’ll need to find out the. Engine Transmission Angle.
From www.dvidshub.net
DVIDS News Army Aviation’s Future Generation Engine Completes Engine Transmission Angle However, when the engine and pinion. Ultimately, everything from the slope of your engine and transmission to your pinion angle — and intended use of your vehicle — play a role in proper driveline alignment. To calculate pinion and transmission shaft angles, you’ll need to find out the engine and transmission angle, driveshaft. Check out our guide to some common. Engine Transmission Angle.
From www.researchgate.net
Fourbar mechanism at max. and min. transmission angles. Download Engine Transmission Angle In order to minimize power loss and vibration in an offset configuration, the pinion centerline and the transmission centerline need to be parallel. To calculate pinion and transmission shaft angles, you’ll need to find out the engine and transmission angle, driveshaft. However, when the engine and pinion. The angle between a car's transmission output shaft and rear axle pinion is. Engine Transmission Angle.
From gtsparkplugs.com
Drive Shaft Angles GTSparkplugs Engine Transmission Angle You can set up the engine angle at almost any degree just as long as the transmission is perfectly in line with the pinion yoke. Ultimately, everything from the slope of your engine and transmission to your pinion angle — and intended use of your vehicle — play a role in proper driveline alignment. In order to minimize power loss. Engine Transmission Angle.
From www.slideserve.com
PPT Linkages PowerPoint Presentation, free download ID421860 Engine Transmission Angle Ultimately, everything from the slope of your engine and transmission to your pinion angle — and intended use of your vehicle — play a role in proper driveline alignment. To calculate pinion and transmission shaft angles, you’ll need to find out the engine and transmission angle, driveshaft. Select the number of shafts in your. However, when the engine and pinion.. Engine Transmission Angle.
From diagrampartdiscommend.z21.web.core.windows.net
What Is An Ls3 Chevy Engine Engine Transmission Angle Ultimately, everything from the slope of your engine and transmission to your pinion angle — and intended use of your vehicle — play a role in proper driveline alignment. You can set up the engine angle at almost any degree just as long as the transmission is perfectly in line with the pinion yoke. Check out our guide to some. Engine Transmission Angle.
From www.youtube.com
transmission angle for four bar mechanism YouTube Engine Transmission Angle You can set up the engine angle at almost any degree just as long as the transmission is perfectly in line with the pinion yoke. This simplified drawing serves to illustrate that the angle of the pinion should be equal, but opposite that of the transmission output shaft (same as the engine crankshaft angle). However, when the engine and pinion.. Engine Transmission Angle.
From www.youtube.com
transmission angle for different mechanism YouTube Engine Transmission Angle Ultimately, everything from the slope of your engine and transmission to your pinion angle — and intended use of your vehicle — play a role in proper driveline alignment. Select the number of shafts in your. In order to minimize power loss and vibration in an offset configuration, the pinion centerline and the transmission centerline need to be parallel. The. Engine Transmission Angle.
From www.dreferenz.com
Drive Shaft Angle On Lifted Trucks dReferenz Blog Engine Transmission Angle Check out our guide to some common terms, measurements and concepts below. In order to minimize power loss and vibration in an offset configuration, the pinion centerline and the transmission centerline need to be parallel. The angle between a car's transmission output shaft and rear axle pinion is crucial in. Select the number of shafts in your. You can set. Engine Transmission Angle.
From www.onallcylinders.com
A Little Setback Engine Mounting Strategies for Drag Racing Engine Transmission Angle Ultimately, everything from the slope of your engine and transmission to your pinion angle — and intended use of your vehicle — play a role in proper driveline alignment. You can set up the engine angle at almost any degree just as long as the transmission is perfectly in line with the pinion yoke. Select the number of shafts in. Engine Transmission Angle.
From www.topmarkfunding.com
transmissionangle Engine Transmission Angle You can set up the engine angle at almost any degree just as long as the transmission is perfectly in line with the pinion yoke. This simplified drawing serves to illustrate that the angle of the pinion should be equal, but opposite that of the transmission output shaft (same as the engine crankshaft angle). In order to minimize power loss. Engine Transmission Angle.
From www.youtube.com
How to Set & Measure Pinion & Driveshaft Angle YouTube Engine Transmission Angle This simplified drawing serves to illustrate that the angle of the pinion should be equal, but opposite that of the transmission output shaft (same as the engine crankshaft angle). Check out our guide to some common terms, measurements and concepts below. You can set up the engine angle at almost any degree just as long as the transmission is perfectly. Engine Transmission Angle.
From wypumps.en.made-in-china.com
Right Angle Drive Gearbox for Diesel Engine Long Shaft Vertical Turbine Engine Transmission Angle To calculate pinion and transmission shaft angles, you’ll need to find out the engine and transmission angle, driveshaft. Ultimately, everything from the slope of your engine and transmission to your pinion angle — and intended use of your vehicle — play a role in proper driveline alignment. Select the number of shafts in your. However, when the engine and pinion.. Engine Transmission Angle.
From modemech.blogspot.com
Lecture 11 (Transmission angle in four bar mechanism) Engine Transmission Angle To calculate pinion and transmission shaft angles, you’ll need to find out the engine and transmission angle, driveshaft. Select the number of shafts in your. Check out our guide to some common terms, measurements and concepts below. You can set up the engine angle at almost any degree just as long as the transmission is perfectly in line with the. Engine Transmission Angle.
From wypumps.en.made-in-china.com
Right Angle Drive Gearbox for Diesel Engine Vertical Turbine Fire Pump Engine Transmission Angle The angle between a car's transmission output shaft and rear axle pinion is crucial in. Select the number of shafts in your. This simplified drawing serves to illustrate that the angle of the pinion should be equal, but opposite that of the transmission output shaft (same as the engine crankshaft angle). You can set up the engine angle at almost. Engine Transmission Angle.
From www.powerperformancenews.com
Critical Speed Engine Transmission Angle The angle between a car's transmission output shaft and rear axle pinion is crucial in. You can set up the engine angle at almost any degree just as long as the transmission is perfectly in line with the pinion yoke. Select the number of shafts in your. Ultimately, everything from the slope of your engine and transmission to your pinion. Engine Transmission Angle.
From www.jalopyjournal.com
Technical Drive train angles on ..an option to correct?? The H.A.M.B. Engine Transmission Angle In order to minimize power loss and vibration in an offset configuration, the pinion centerline and the transmission centerline need to be parallel. Select the number of shafts in your. You can set up the engine angle at almost any degree just as long as the transmission is perfectly in line with the pinion yoke. Ultimately, everything from the slope. Engine Transmission Angle.
From www.youtube.com
Engine and Transmission Angle Setup YouTube Engine Transmission Angle You can set up the engine angle at almost any degree just as long as the transmission is perfectly in line with the pinion yoke. Ultimately, everything from the slope of your engine and transmission to your pinion angle — and intended use of your vehicle — play a role in proper driveline alignment. In order to minimize power loss. Engine Transmission Angle.
From alunkhamster171.blogspot.com
ENGINE CONTROL TURBOPROP Engine Transmission Angle Select the number of shafts in your. This simplified drawing serves to illustrate that the angle of the pinion should be equal, but opposite that of the transmission output shaft (same as the engine crankshaft angle). You can set up the engine angle at almost any degree just as long as the transmission is perfectly in line with the pinion. Engine Transmission Angle.