Apartment Lease Transfer Fee . What is a transfer fee in real estate? This fee covers the costs of processing the transfer request and any work. The fee is justified by the landlord or leasing company as a way to recover the costs A lease takeover is a legal transfer of a lease from one tenant to another. How do apartment lease transfers work? If a renter wants to move out of a rental property and they have found someone to take over their rental agreement, they can ask the rental provider to. Yes, it’s legal to charge a transfer fee. One of the first things to consider is the apartment transfer fee. It requires you to find a new tenant, who, once approved by your landlord, will Transfer fees on apartments are usually charged when a resident chooses to move from one apartment to another during the course of her lease. A transfer fee is a cost that a tenant pays to their landlord or property management company to transfer their. Moving into an apartment in the same complex consists of a ‘lease transfer’ and possibly transfer fees. I would think that the fact that you were charged a “transfer fee” rather than given a new.
from www.template.net
A transfer fee is a cost that a tenant pays to their landlord or property management company to transfer their. It requires you to find a new tenant, who, once approved by your landlord, will How do apartment lease transfers work? This fee covers the costs of processing the transfer request and any work. One of the first things to consider is the apartment transfer fee. Transfer fees on apartments are usually charged when a resident chooses to move from one apartment to another during the course of her lease. Moving into an apartment in the same complex consists of a ‘lease transfer’ and possibly transfer fees. A lease takeover is a legal transfer of a lease from one tenant to another. If a renter wants to move out of a rental property and they have found someone to take over their rental agreement, they can ask the rental provider to. I would think that the fact that you were charged a “transfer fee” rather than given a new.
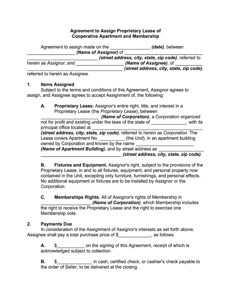
Apartment Lease Transfer Letter Template Google Docs, Word, Apple
Apartment Lease Transfer Fee A transfer fee is a cost that a tenant pays to their landlord or property management company to transfer their. If a renter wants to move out of a rental property and they have found someone to take over their rental agreement, they can ask the rental provider to. How do apartment lease transfers work? A transfer fee is a cost that a tenant pays to their landlord or property management company to transfer their. The fee is justified by the landlord or leasing company as a way to recover the costs This fee covers the costs of processing the transfer request and any work. Transfer fees on apartments are usually charged when a resident chooses to move from one apartment to another during the course of her lease. Moving into an apartment in the same complex consists of a ‘lease transfer’ and possibly transfer fees. It requires you to find a new tenant, who, once approved by your landlord, will One of the first things to consider is the apartment transfer fee. I would think that the fact that you were charged a “transfer fee” rather than given a new. A lease takeover is a legal transfer of a lease from one tenant to another. Yes, it’s legal to charge a transfer fee. What is a transfer fee in real estate?
From legaltemplates.net
Free Standard Residential Lease Agreement Template PDF & Word Apartment Lease Transfer Fee It requires you to find a new tenant, who, once approved by your landlord, will Moving into an apartment in the same complex consists of a ‘lease transfer’ and possibly transfer fees. One of the first things to consider is the apartment transfer fee. Yes, it’s legal to charge a transfer fee. I would think that the fact that you. Apartment Lease Transfer Fee.
From apartmentpost.blogspot.com
Apartment Lease Transfer Agreement Template Apartment Post Apartment Lease Transfer Fee Moving into an apartment in the same complex consists of a ‘lease transfer’ and possibly transfer fees. How do apartment lease transfers work? If a renter wants to move out of a rental property and they have found someone to take over their rental agreement, they can ask the rental provider to. It requires you to find a new tenant,. Apartment Lease Transfer Fee.
From fyoapgzeu.blob.core.windows.net
How Does Lease Transfer Work at Virginia Barrentine blog Apartment Lease Transfer Fee The fee is justified by the landlord or leasing company as a way to recover the costs A transfer fee is a cost that a tenant pays to their landlord or property management company to transfer their. How do apartment lease transfers work? Yes, it’s legal to charge a transfer fee. One of the first things to consider is the. Apartment Lease Transfer Fee.
From www.pdffiller.com
Agreement Lease Form Fill Online, Printable, Fillable, Blank pdfFiller Apartment Lease Transfer Fee This fee covers the costs of processing the transfer request and any work. Moving into an apartment in the same complex consists of a ‘lease transfer’ and possibly transfer fees. Yes, it’s legal to charge a transfer fee. What is a transfer fee in real estate? One of the first things to consider is the apartment transfer fee. A transfer. Apartment Lease Transfer Fee.
From apartmentpost.blogspot.com
Apartment Lease Transfer Agreement Template Apartment Post Apartment Lease Transfer Fee This fee covers the costs of processing the transfer request and any work. Yes, it’s legal to charge a transfer fee. A lease takeover is a legal transfer of a lease from one tenant to another. Moving into an apartment in the same complex consists of a ‘lease transfer’ and possibly transfer fees. A transfer fee is a cost that. Apartment Lease Transfer Fee.
From fyoapgzeu.blob.core.windows.net
How Does Lease Transfer Work at Virginia Barrentine blog Apartment Lease Transfer Fee One of the first things to consider is the apartment transfer fee. Moving into an apartment in the same complex consists of a ‘lease transfer’ and possibly transfer fees. How do apartment lease transfers work? It requires you to find a new tenant, who, once approved by your landlord, will This fee covers the costs of processing the transfer request. Apartment Lease Transfer Fee.
From www.allbusinesstemplates.com
Lease Transfer Request Letter Templates at Apartment Lease Transfer Fee A transfer fee is a cost that a tenant pays to their landlord or property management company to transfer their. One of the first things to consider is the apartment transfer fee. If a renter wants to move out of a rental property and they have found someone to take over their rental agreement, they can ask the rental provider. Apartment Lease Transfer Fee.
From www.template.net
Lease Transfer Letter Template 11+ Word, PDF Format Download! Apartment Lease Transfer Fee The fee is justified by the landlord or leasing company as a way to recover the costs Yes, it’s legal to charge a transfer fee. What is a transfer fee in real estate? It requires you to find a new tenant, who, once approved by your landlord, will If a renter wants to move out of a rental property and. Apartment Lease Transfer Fee.
From www.template.net
Lease Transfer Request Letter in Word, Pages, PDF, Google Docs Apartment Lease Transfer Fee If a renter wants to move out of a rental property and they have found someone to take over their rental agreement, they can ask the rental provider to. A lease takeover is a legal transfer of a lease from one tenant to another. A transfer fee is a cost that a tenant pays to their landlord or property management. Apartment Lease Transfer Fee.
From eforms.com
Free New York Standard Apartment Lease Agreement Form PDF Word eForms Apartment Lease Transfer Fee The fee is justified by the landlord or leasing company as a way to recover the costs Moving into an apartment in the same complex consists of a ‘lease transfer’ and possibly transfer fees. This fee covers the costs of processing the transfer request and any work. Yes, it’s legal to charge a transfer fee. I would think that the. Apartment Lease Transfer Fee.
From www.sampletemplates.com
FREE 8+ Sample Lease Agreement Templates in PDF MS Word Apartment Lease Transfer Fee It requires you to find a new tenant, who, once approved by your landlord, will How do apartment lease transfers work? A transfer fee is a cost that a tenant pays to their landlord or property management company to transfer their. I would think that the fact that you were charged a “transfer fee” rather than given a new. If. Apartment Lease Transfer Fee.
From www.pinterest.com
Apartment Transfer Letter Sample with Examples in Pdf & Word in 2023 Apartment Lease Transfer Fee If a renter wants to move out of a rental property and they have found someone to take over their rental agreement, they can ask the rental provider to. This fee covers the costs of processing the transfer request and any work. A lease takeover is a legal transfer of a lease from one tenant to another. What is a. Apartment Lease Transfer Fee.
From www.bizzlibrary.com
Transfer of Lease Letter to Landlord Template Document Templates Apartment Lease Transfer Fee How do apartment lease transfers work? I would think that the fact that you were charged a “transfer fee” rather than given a new. Yes, it’s legal to charge a transfer fee. A lease takeover is a legal transfer of a lease from one tenant to another. The fee is justified by the landlord or leasing company as a way. Apartment Lease Transfer Fee.
From www.template.net
Apartment Lease Transfer Letter Template Google Docs, Word, Apple Apartment Lease Transfer Fee A transfer fee is a cost that a tenant pays to their landlord or property management company to transfer their. One of the first things to consider is the apartment transfer fee. Transfer fees on apartments are usually charged when a resident chooses to move from one apartment to another during the course of her lease. How do apartment lease. Apartment Lease Transfer Fee.
From handypdf.com
2024 Transfer of Lease Form Fillable, Printable PDF & Forms Handypdf Apartment Lease Transfer Fee A transfer fee is a cost that a tenant pays to their landlord or property management company to transfer their. The fee is justified by the landlord or leasing company as a way to recover the costs How do apartment lease transfers work? I would think that the fact that you were charged a “transfer fee” rather than given a. Apartment Lease Transfer Fee.
From www.allbusinesstemplates.com
Rental Lease Transfer Letter Templates at Apartment Lease Transfer Fee Yes, it’s legal to charge a transfer fee. What is a transfer fee in real estate? One of the first things to consider is the apartment transfer fee. The fee is justified by the landlord or leasing company as a way to recover the costs I would think that the fact that you were charged a “transfer fee” rather than. Apartment Lease Transfer Fee.
From www.template.net
11+ Apartment Agreement Templates PDF, DOC Apartment Lease Transfer Fee A lease takeover is a legal transfer of a lease from one tenant to another. What is a transfer fee in real estate? I would think that the fact that you were charged a “transfer fee” rather than given a new. It requires you to find a new tenant, who, once approved by your landlord, will A transfer fee is. Apartment Lease Transfer Fee.
From www.sampletemplates.com
FREE 49+ Lease Agreement Formats & Templates in PDF MS Word Google Apartment Lease Transfer Fee A lease takeover is a legal transfer of a lease from one tenant to another. It requires you to find a new tenant, who, once approved by your landlord, will A transfer fee is a cost that a tenant pays to their landlord or property management company to transfer their. The fee is justified by the landlord or leasing company. Apartment Lease Transfer Fee.
From hamiltonplastering.com
35 Lease Transfer Agreement Template Hamiltonplastering Apartment Lease Transfer Fee How do apartment lease transfers work? A lease takeover is a legal transfer of a lease from one tenant to another. Transfer fees on apartments are usually charged when a resident chooses to move from one apartment to another during the course of her lease. I would think that the fact that you were charged a “transfer fee” rather than. Apartment Lease Transfer Fee.
From fyoapgzeu.blob.core.windows.net
How Does Lease Transfer Work at Virginia Barrentine blog Apartment Lease Transfer Fee It requires you to find a new tenant, who, once approved by your landlord, will Transfer fees on apartments are usually charged when a resident chooses to move from one apartment to another during the course of her lease. This fee covers the costs of processing the transfer request and any work. A transfer fee is a cost that a. Apartment Lease Transfer Fee.
From apartmentpost.blogspot.com
Apartment Lease Transfer Agreement Template Apartment Post Apartment Lease Transfer Fee If a renter wants to move out of a rental property and they have found someone to take over their rental agreement, they can ask the rental provider to. A transfer fee is a cost that a tenant pays to their landlord or property management company to transfer their. Transfer fees on apartments are usually charged when a resident chooses. Apartment Lease Transfer Fee.
From www.rocketlawyer.com
Free Apartment Lease Template & FAQs Rocket Lawyer Apartment Lease Transfer Fee It requires you to find a new tenant, who, once approved by your landlord, will One of the first things to consider is the apartment transfer fee. What is a transfer fee in real estate? I would think that the fact that you were charged a “transfer fee” rather than given a new. Moving into an apartment in the same. Apartment Lease Transfer Fee.
From www.template.net
Lease Transfer Letter Template 11+ Word, PDF Format Download! Apartment Lease Transfer Fee This fee covers the costs of processing the transfer request and any work. It requires you to find a new tenant, who, once approved by your landlord, will How do apartment lease transfers work? Yes, it’s legal to charge a transfer fee. What is a transfer fee in real estate? The fee is justified by the landlord or leasing company. Apartment Lease Transfer Fee.
From templatediy.com
Apartment Transfer Letter Sample Template with Examples Apartment Lease Transfer Fee If a renter wants to move out of a rental property and they have found someone to take over their rental agreement, they can ask the rental provider to. One of the first things to consider is the apartment transfer fee. It requires you to find a new tenant, who, once approved by your landlord, will Moving into an apartment. Apartment Lease Transfer Fee.
From www.signnow.com
LEASE and ASSET TRANSFER AGREEMENT THIS LEASE Form Fill Out and Sign Apartment Lease Transfer Fee How do apartment lease transfers work? This fee covers the costs of processing the transfer request and any work. The fee is justified by the landlord or leasing company as a way to recover the costs If a renter wants to move out of a rental property and they have found someone to take over their rental agreement, they can. Apartment Lease Transfer Fee.
From tguebiwxfj.blogspot.com
How To Transfer An Apartment Lease To Someone Else Check the wording Apartment Lease Transfer Fee A lease takeover is a legal transfer of a lease from one tenant to another. It requires you to find a new tenant, who, once approved by your landlord, will This fee covers the costs of processing the transfer request and any work. A transfer fee is a cost that a tenant pays to their landlord or property management company. Apartment Lease Transfer Fee.
From eforms.com
Free Lease Addendum Templates (12) PDF Word eForms Apartment Lease Transfer Fee Moving into an apartment in the same complex consists of a ‘lease transfer’ and possibly transfer fees. How do apartment lease transfers work? If a renter wants to move out of a rental property and they have found someone to take over their rental agreement, they can ask the rental provider to. This fee covers the costs of processing the. Apartment Lease Transfer Fee.
From globalacademicforum.org
Apartment Lease Agreement Template Apartment Lease Transfer Fee I would think that the fact that you were charged a “transfer fee” rather than given a new. This fee covers the costs of processing the transfer request and any work. If a renter wants to move out of a rental property and they have found someone to take over their rental agreement, they can ask the rental provider to.. Apartment Lease Transfer Fee.
From www.template.net
Lease Transfer Letter Template 11+ Word, PDF Format Download! Apartment Lease Transfer Fee If a renter wants to move out of a rental property and they have found someone to take over their rental agreement, they can ask the rental provider to. It requires you to find a new tenant, who, once approved by your landlord, will Transfer fees on apartments are usually charged when a resident chooses to move from one apartment. Apartment Lease Transfer Fee.
From lease-assignment-nyc.pdffiller.com
Transfer Of Lease To New Owner Form Fill Online, Printable, Fillable Apartment Lease Transfer Fee I would think that the fact that you were charged a “transfer fee” rather than given a new. Yes, it’s legal to charge a transfer fee. A lease takeover is a legal transfer of a lease from one tenant to another. It requires you to find a new tenant, who, once approved by your landlord, will How do apartment lease. Apartment Lease Transfer Fee.
From www.uslegalforms.com
Lease Transfer Form For Property US Legal Forms Apartment Lease Transfer Fee Moving into an apartment in the same complex consists of a ‘lease transfer’ and possibly transfer fees. One of the first things to consider is the apartment transfer fee. Yes, it’s legal to charge a transfer fee. How do apartment lease transfers work? Transfer fees on apartments are usually charged when a resident chooses to move from one apartment to. Apartment Lease Transfer Fee.
From eforms.com
Free Rental / Lease Agreement Templates (15) PDF Word eForms Apartment Lease Transfer Fee How do apartment lease transfers work? Moving into an apartment in the same complex consists of a ‘lease transfer’ and possibly transfer fees. This fee covers the costs of processing the transfer request and any work. The fee is justified by the landlord or leasing company as a way to recover the costs What is a transfer fee in real. Apartment Lease Transfer Fee.
From esign.com
Free Apartment Lease Agreement Template PDF Word Apartment Lease Transfer Fee I would think that the fact that you were charged a “transfer fee” rather than given a new. If a renter wants to move out of a rental property and they have found someone to take over their rental agreement, they can ask the rental provider to. It requires you to find a new tenant, who, once approved by your. Apartment Lease Transfer Fee.
From www.allbusinesstemplates.com
Apartment Lease Transfer Letter Templates at Apartment Lease Transfer Fee What is a transfer fee in real estate? A transfer fee is a cost that a tenant pays to their landlord or property management company to transfer their. Yes, it’s legal to charge a transfer fee. The fee is justified by the landlord or leasing company as a way to recover the costs How do apartment lease transfers work? One. Apartment Lease Transfer Fee.
From www.template.net
Apartment Lease Transfer Letter Template in Word, Google Docs, Pages Apartment Lease Transfer Fee Transfer fees on apartments are usually charged when a resident chooses to move from one apartment to another during the course of her lease. This fee covers the costs of processing the transfer request and any work. What is a transfer fee in real estate? If a renter wants to move out of a rental property and they have found. Apartment Lease Transfer Fee.