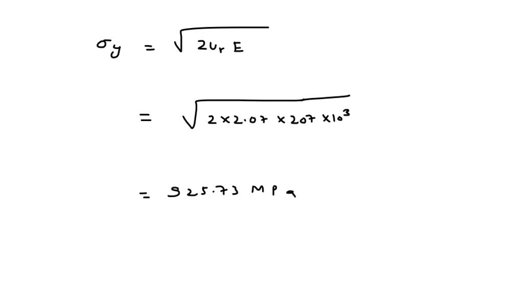
A Brass Alloy To Be Used For A Spring Application . A brass alloy to be used for a spring application must have a modulus of resilience of at least 0.75 mpa (110 psi). A brass alloy to be used for a spring application must have a modulus of resilience of at least 0.75 mpa. A brass alloy to be used for a spring application must have a modulus of resilience of at least 0.75mpa (110psi). A brass alloy to be used for a spring application must have a modulus of resilience of at least 0.75 mpa (110 psi). What must be its minimum yield. The minimum yield strength required for the brass alloy to be used in a spring application with a modulus of resilience of at. A brass alloy to be used for a spring application must have a modulus of resilience of at least 0.75 \mathrm{mpa} (110. What must be its minimum yield.
from informacionpublica.svet.gob.gt
A brass alloy to be used for a spring application must have a modulus of resilience of at least 0.75 \mathrm{mpa} (110. What must be its minimum yield. What must be its minimum yield. A brass alloy to be used for a spring application must have a modulus of resilience of at least 0.75 mpa (110 psi). A brass alloy to be used for a spring application must have a modulus of resilience of at least 0.75mpa (110psi). A brass alloy to be used for a spring application must have a modulus of resilience of at least 0.75 mpa. The minimum yield strength required for the brass alloy to be used in a spring application with a modulus of resilience of at. A brass alloy to be used for a spring application must have a modulus of resilience of at least 0.75 mpa (110 psi).
Composition Of Common Brass Alloys
A Brass Alloy To Be Used For A Spring Application A brass alloy to be used for a spring application must have a modulus of resilience of at least 0.75mpa (110psi). A brass alloy to be used for a spring application must have a modulus of resilience of at least 0.75 \mathrm{mpa} (110. What must be its minimum yield. The minimum yield strength required for the brass alloy to be used in a spring application with a modulus of resilience of at. A brass alloy to be used for a spring application must have a modulus of resilience of at least 0.75 mpa. A brass alloy to be used for a spring application must have a modulus of resilience of at least 0.75 mpa (110 psi). A brass alloy to be used for a spring application must have a modulus of resilience of at least 0.75 mpa (110 psi). What must be its minimum yield. A brass alloy to be used for a spring application must have a modulus of resilience of at least 0.75mpa (110psi).
From animalia-life.club
Brass Alloy Composition A Brass Alloy To Be Used For A Spring Application What must be its minimum yield. A brass alloy to be used for a spring application must have a modulus of resilience of at least 0.75 mpa. A brass alloy to be used for a spring application must have a modulus of resilience of at least 0.75 mpa (110 psi). A brass alloy to be used for a spring application. A Brass Alloy To Be Used For A Spring Application.
From www.chegg.com
Solved A steel alloy to be used for a spring application A Brass Alloy To Be Used For A Spring Application A brass alloy to be used for a spring application must have a modulus of resilience of at least 0.75 mpa. A brass alloy to be used for a spring application must have a modulus of resilience of at least 0.75 \mathrm{mpa} (110. The minimum yield strength required for the brass alloy to be used in a spring application with. A Brass Alloy To Be Used For A Spring Application.
From dir.indiamart.com
Brass Alloys at Best Price in India A Brass Alloy To Be Used For A Spring Application What must be its minimum yield. What must be its minimum yield. A brass alloy to be used for a spring application must have a modulus of resilience of at least 0.75 mpa (110 psi). A brass alloy to be used for a spring application must have a modulus of resilience of at least 0.75 \mathrm{mpa} (110. A brass alloy. A Brass Alloy To Be Used For A Spring Application.
From www.thoughtco.com
Brass Alloys and Their Chemical Compositions A Brass Alloy To Be Used For A Spring Application A brass alloy to be used for a spring application must have a modulus of resilience of at least 0.75mpa (110psi). What must be its minimum yield. A brass alloy to be used for a spring application must have a modulus of resilience of at least 0.75 mpa. A brass alloy to be used for a spring application must have. A Brass Alloy To Be Used For A Spring Application.
From blog.thepipingmart.com
Types of Brass Alloys A Brass Alloy To Be Used For A Spring Application What must be its minimum yield. A brass alloy to be used for a spring application must have a modulus of resilience of at least 0.75 mpa (110 psi). The minimum yield strength required for the brass alloy to be used in a spring application with a modulus of resilience of at. A brass alloy to be used for a. A Brass Alloy To Be Used For A Spring Application.
From millenniumalloys.ca
Buy Alloy 360 Brass Rod 0.250in Diameter Online Millennium Alloys A Brass Alloy To Be Used For A Spring Application A brass alloy to be used for a spring application must have a modulus of resilience of at least 0.75 \mathrm{mpa} (110. A brass alloy to be used for a spring application must have a modulus of resilience of at least 0.75mpa (110psi). What must be its minimum yield. The minimum yield strength required for the brass alloy to be. A Brass Alloy To Be Used For A Spring Application.
From animalia-life.club
Brass Alloy Composition A Brass Alloy To Be Used For A Spring Application A brass alloy to be used for a spring application must have a modulus of resilience of at least 0.75 mpa (110 psi). A brass alloy to be used for a spring application must have a modulus of resilience of at least 0.75 mpa. A brass alloy to be used for a spring application must have a modulus of resilience. A Brass Alloy To Be Used For A Spring Application.
From blog.thepipingmart.com
380 Brass Alloy (C38000) Composition, Properties, and Uses A Brass Alloy To Be Used For A Spring Application A brass alloy to be used for a spring application must have a modulus of resilience of at least 0.75mpa (110psi). What must be its minimum yield. The minimum yield strength required for the brass alloy to be used in a spring application with a modulus of resilience of at. A brass alloy to be used for a spring application. A Brass Alloy To Be Used For A Spring Application.
From blog.thepipingmart.com
Benefits of Brass Alloy A Brass Alloy To Be Used For A Spring Application The minimum yield strength required for the brass alloy to be used in a spring application with a modulus of resilience of at. A brass alloy to be used for a spring application must have a modulus of resilience of at least 0.75 mpa (110 psi). A brass alloy to be used for a spring application must have a modulus. A Brass Alloy To Be Used For A Spring Application.
From specialtyalloysinc.com
Specialty Alloys 360 Brass A Brass Alloy To Be Used For A Spring Application A brass alloy to be used for a spring application must have a modulus of resilience of at least 0.75 mpa. What must be its minimum yield. A brass alloy to be used for a spring application must have a modulus of resilience of at least 0.75 mpa (110 psi). A brass alloy to be used for a spring application. A Brass Alloy To Be Used For A Spring Application.
From animalia-life.club
Brass Alloy Composition A Brass Alloy To Be Used For A Spring Application What must be its minimum yield. A brass alloy to be used for a spring application must have a modulus of resilience of at least 0.75 mpa. A brass alloy to be used for a spring application must have a modulus of resilience of at least 0.75 mpa (110 psi). A brass alloy to be used for a spring application. A Brass Alloy To Be Used For A Spring Application.
From www.etsy.com
Brass Tube Alloy 260 7/16 OD X 5/16 ID X 12 Etsy Canada A Brass Alloy To Be Used For A Spring Application A brass alloy to be used for a spring application must have a modulus of resilience of at least 0.75mpa (110psi). A brass alloy to be used for a spring application must have a modulus of resilience of at least 0.75 mpa. A brass alloy to be used for a spring application must have a modulus of resilience of at. A Brass Alloy To Be Used For A Spring Application.
From www.munotmetalloys.com
Properties and Grades of Brass Alloy A Brass Alloy To Be Used For A Spring Application A brass alloy to be used for a spring application must have a modulus of resilience of at least 0.75 mpa (110 psi). A brass alloy to be used for a spring application must have a modulus of resilience of at least 0.75 mpa. A brass alloy to be used for a spring application must have a modulus of resilience. A Brass Alloy To Be Used For A Spring Application.
From www.animalia-life.club
Brass Alloy A Brass Alloy To Be Used For A Spring Application A brass alloy to be used for a spring application must have a modulus of resilience of at least 0.75mpa (110psi). What must be its minimum yield. A brass alloy to be used for a spring application must have a modulus of resilience of at least 0.75 mpa (110 psi). What must be its minimum yield. The minimum yield strength. A Brass Alloy To Be Used For A Spring Application.
From www.numerade.com
SOLVEDA steel alloy to be used for a spring application must have a A Brass Alloy To Be Used For A Spring Application A brass alloy to be used for a spring application must have a modulus of resilience of at least 0.75 \mathrm{mpa} (110. A brass alloy to be used for a spring application must have a modulus of resilience of at least 0.75 mpa (110 psi). A brass alloy to be used for a spring application must have a modulus of. A Brass Alloy To Be Used For A Spring Application.
From animalia-life.club
Brass Alloy Composition A Brass Alloy To Be Used For A Spring Application A brass alloy to be used for a spring application must have a modulus of resilience of at least 0.75 mpa. A brass alloy to be used for a spring application must have a modulus of resilience of at least 0.75mpa (110psi). A brass alloy to be used for a spring application must have a modulus of resilience of at. A Brass Alloy To Be Used For A Spring Application.
From animalia-life.club
Brass Alloy Composition A Brass Alloy To Be Used For A Spring Application A brass alloy to be used for a spring application must have a modulus of resilience of at least 0.75 mpa (110 psi). What must be its minimum yield. A brass alloy to be used for a spring application must have a modulus of resilience of at least 0.75 mpa. A brass alloy to be used for a spring application. A Brass Alloy To Be Used For A Spring Application.
From informacionpublica.svet.gob.gt
Composition Of Common Brass Alloys A Brass Alloy To Be Used For A Spring Application A brass alloy to be used for a spring application must have a modulus of resilience of at least 0.75 mpa (110 psi). A brass alloy to be used for a spring application must have a modulus of resilience of at least 0.75 mpa. A brass alloy to be used for a spring application must have a modulus of resilience. A Brass Alloy To Be Used For A Spring Application.
From blog.thepipingmart.com
UNS C34200 Leaded Brass Composition, Properties, and Uses A Brass Alloy To Be Used For A Spring Application What must be its minimum yield. A brass alloy to be used for a spring application must have a modulus of resilience of at least 0.75 mpa. What must be its minimum yield. A brass alloy to be used for a spring application must have a modulus of resilience of at least 0.75 mpa (110 psi). A brass alloy to. A Brass Alloy To Be Used For A Spring Application.
From dir.indiamart.com
Brass Alloys at Best Price in India A Brass Alloy To Be Used For A Spring Application The minimum yield strength required for the brass alloy to be used in a spring application with a modulus of resilience of at. A brass alloy to be used for a spring application must have a modulus of resilience of at least 0.75mpa (110psi). A brass alloy to be used for a spring application must have a modulus of resilience. A Brass Alloy To Be Used For A Spring Application.
From www.thebalance.com
Brass Alloy Additives and Properties A Brass Alloy To Be Used For A Spring Application A brass alloy to be used for a spring application must have a modulus of resilience of at least 0.75 mpa. A brass alloy to be used for a spring application must have a modulus of resilience of at least 0.75 \mathrm{mpa} (110. A brass alloy to be used for a spring application must have a modulus of resilience of. A Brass Alloy To Be Used For A Spring Application.
From blog.thepipingmart.com
Brass alloy 360 composition A Brass Alloy To Be Used For A Spring Application A brass alloy to be used for a spring application must have a modulus of resilience of at least 0.75 mpa. What must be its minimum yield. A brass alloy to be used for a spring application must have a modulus of resilience of at least 0.75 mpa (110 psi). A brass alloy to be used for a spring application. A Brass Alloy To Be Used For A Spring Application.
From www.thebalance.com
Brass Alloys and Their Applications A Brass Alloy To Be Used For A Spring Application A brass alloy to be used for a spring application must have a modulus of resilience of at least 0.75 \mathrm{mpa} (110. A brass alloy to be used for a spring application must have a modulus of resilience of at least 0.75mpa (110psi). A brass alloy to be used for a spring application must have a modulus of resilience of. A Brass Alloy To Be Used For A Spring Application.
From www.thamesstock.com
Brass Suppliers London Brass Stockist Brass Stockholder A Brass Alloy To Be Used For A Spring Application A brass alloy to be used for a spring application must have a modulus of resilience of at least 0.75 mpa (110 psi). A brass alloy to be used for a spring application must have a modulus of resilience of at least 0.75 mpa. A brass alloy to be used for a spring application must have a modulus of resilience. A Brass Alloy To Be Used For A Spring Application.
From animalia-life.club
Brass Alloy Composition A Brass Alloy To Be Used For A Spring Application A brass alloy to be used for a spring application must have a modulus of resilience of at least 0.75 mpa. A brass alloy to be used for a spring application must have a modulus of resilience of at least 0.75 \mathrm{mpa} (110. What must be its minimum yield. A brass alloy to be used for a spring application must. A Brass Alloy To Be Used For A Spring Application.
From www.thoughtco.com
Brass Alloys and Their Applications A Brass Alloy To Be Used For A Spring Application A brass alloy to be used for a spring application must have a modulus of resilience of at least 0.75 \mathrm{mpa} (110. What must be its minimum yield. A brass alloy to be used for a spring application must have a modulus of resilience of at least 0.75 mpa. A brass alloy to be used for a spring application must. A Brass Alloy To Be Used For A Spring Application.
From animalia-life.club
Brass Alloy Composition A Brass Alloy To Be Used For A Spring Application What must be its minimum yield. A brass alloy to be used for a spring application must have a modulus of resilience of at least 0.75 mpa. What must be its minimum yield. A brass alloy to be used for a spring application must have a modulus of resilience of at least 0.75 mpa (110 psi). A brass alloy to. A Brass Alloy To Be Used For A Spring Application.
From informacionpublica.svet.gob.gt
Brass CopperZinc Alloys Properties And Uses A Brass Alloy To Be Used For A Spring Application The minimum yield strength required for the brass alloy to be used in a spring application with a modulus of resilience of at. A brass alloy to be used for a spring application must have a modulus of resilience of at least 0.75mpa (110psi). What must be its minimum yield. A brass alloy to be used for a spring application. A Brass Alloy To Be Used For A Spring Application.
From millenniumalloys.ca
Common Uses Of Brass You Wouldn't Expect Millennium Alloys A Brass Alloy To Be Used For A Spring Application The minimum yield strength required for the brass alloy to be used in a spring application with a modulus of resilience of at. A brass alloy to be used for a spring application must have a modulus of resilience of at least 0.75mpa (110psi). What must be its minimum yield. A brass alloy to be used for a spring application. A Brass Alloy To Be Used For A Spring Application.
From www.thebalance.com
The Composition of Common Brass Alloys A Brass Alloy To Be Used For A Spring Application What must be its minimum yield. What must be its minimum yield. The minimum yield strength required for the brass alloy to be used in a spring application with a modulus of resilience of at. A brass alloy to be used for a spring application must have a modulus of resilience of at least 0.75 mpa (110 psi). A brass. A Brass Alloy To Be Used For A Spring Application.
From ebcastworld.com
Brass Alloy Sheet Brass Plate (CDA 230)Metals Tube Rod A Brass Alloy To Be Used For A Spring Application A brass alloy to be used for a spring application must have a modulus of resilience of at least 0.75 mpa. What must be its minimum yield. A brass alloy to be used for a spring application must have a modulus of resilience of at least 0.75 \mathrm{mpa} (110. A brass alloy to be used for a spring application must. A Brass Alloy To Be Used For A Spring Application.
From ar.inspiredpencil.com
Brass Alloy A Brass Alloy To Be Used For A Spring Application What must be its minimum yield. The minimum yield strength required for the brass alloy to be used in a spring application with a modulus of resilience of at. What must be its minimum yield. A brass alloy to be used for a spring application must have a modulus of resilience of at least 0.75 mpa. A brass alloy to. A Brass Alloy To Be Used For A Spring Application.
From animalia-life.club
Brass Alloy Composition A Brass Alloy To Be Used For A Spring Application What must be its minimum yield. A brass alloy to be used for a spring application must have a modulus of resilience of at least 0.75 mpa (110 psi). A brass alloy to be used for a spring application must have a modulus of resilience of at least 0.75 mpa. The minimum yield strength required for the brass alloy to. A Brass Alloy To Be Used For A Spring Application.
From informacionpublica.svet.gob.gt
Composition Of Common Brass Alloys A Brass Alloy To Be Used For A Spring Application A brass alloy to be used for a spring application must have a modulus of resilience of at least 0.75 \mathrm{mpa} (110. A brass alloy to be used for a spring application must have a modulus of resilience of at least 0.75mpa (110psi). A brass alloy to be used for a spring application must have a modulus of resilience of. A Brass Alloy To Be Used For A Spring Application.
From www.iqsdirectory.com
Metal Alloys Principles, Types, Advantages and Applications A Brass Alloy To Be Used For A Spring Application A brass alloy to be used for a spring application must have a modulus of resilience of at least 0.75 mpa. A brass alloy to be used for a spring application must have a modulus of resilience of at least 0.75 mpa (110 psi). A brass alloy to be used for a spring application must have a modulus of resilience. A Brass Alloy To Be Used For A Spring Application.