Real Estate Lawyer Tn . Free detailed reports on 2069 real estate attorneys in tennessee. Our comprehensive team helps you create a thorough estate plan, including wills, trusts, and powers of attorney. Find the best real estate attorney serving nashville. Gcem is a full service law firm practicing in the areas of residential, commercial and development real estate transactions, including drafting and. Compare top tennessee lawyers' fees, client reviews, lawyer rating, case results,. Find the best real estate attorney serving chattanooga. Compare top tennessee lawyers' fees, client reviews, lawyer rating, case results, education,. View the top attorneys in best lawyers in tennessee, united states for real estate law and receive an overview of lawyer recognitions & more. We ensure your wishes are clear and your loved ones are provided for, giving you peace of. Find 958 reviews, disciplinary sanctions, and peer endorsements. With four full time attorneys representing over 75 years of experience in the title insurance and real estate industry, smith.sholar.milliken.pllc provides expertise and personalized. 10k+ visitors in the past month
from collins.legal
Find the best real estate attorney serving chattanooga. Free detailed reports on 2069 real estate attorneys in tennessee. Find 958 reviews, disciplinary sanctions, and peer endorsements. Compare top tennessee lawyers' fees, client reviews, lawyer rating, case results,. With four full time attorneys representing over 75 years of experience in the title insurance and real estate industry, smith.sholar.milliken.pllc provides expertise and personalized. Gcem is a full service law firm practicing in the areas of residential, commercial and development real estate transactions, including drafting and. Compare top tennessee lawyers' fees, client reviews, lawyer rating, case results, education,. Find the best real estate attorney serving nashville. 10k+ visitors in the past month We ensure your wishes are clear and your loved ones are provided for, giving you peace of.
5 Reasons You Need a Real Estate Attorney in Nashville Call Now
Real Estate Lawyer Tn Find 958 reviews, disciplinary sanctions, and peer endorsements. We ensure your wishes are clear and your loved ones are provided for, giving you peace of. View the top attorneys in best lawyers in tennessee, united states for real estate law and receive an overview of lawyer recognitions & more. Compare top tennessee lawyers' fees, client reviews, lawyer rating, case results, education,. 10k+ visitors in the past month Free detailed reports on 2069 real estate attorneys in tennessee. Gcem is a full service law firm practicing in the areas of residential, commercial and development real estate transactions, including drafting and. Find the best real estate attorney serving nashville. Find 958 reviews, disciplinary sanctions, and peer endorsements. Our comprehensive team helps you create a thorough estate plan, including wills, trusts, and powers of attorney. Find the best real estate attorney serving chattanooga. With four full time attorneys representing over 75 years of experience in the title insurance and real estate industry, smith.sholar.milliken.pllc provides expertise and personalized. Compare top tennessee lawyers' fees, client reviews, lawyer rating, case results,.
From yourfloridalegalhelp.com
Real Estate Law Real Estate Attorney Near Me Tampa's Civil Real Estate Lawyer Tn Compare top tennessee lawyers' fees, client reviews, lawyer rating, case results,. Our comprehensive team helps you create a thorough estate plan, including wills, trusts, and powers of attorney. Find the best real estate attorney serving chattanooga. Find 958 reviews, disciplinary sanctions, and peer endorsements. Gcem is a full service law firm practicing in the areas of residential, commercial and development. Real Estate Lawyer Tn.
From rjimmigrationlaw.com
Securing TN Visa Status for Real Estate Economists A Success Story Real Estate Lawyer Tn Compare top tennessee lawyers' fees, client reviews, lawyer rating, case results,. We ensure your wishes are clear and your loved ones are provided for, giving you peace of. Gcem is a full service law firm practicing in the areas of residential, commercial and development real estate transactions, including drafting and. Compare top tennessee lawyers' fees, client reviews, lawyer rating, case. Real Estate Lawyer Tn.
From disruptmagazine.com
How To Find The Best Real Estate Lawyer Advice From Felicetti Law Real Estate Lawyer Tn Compare top tennessee lawyers' fees, client reviews, lawyer rating, case results, education,. With four full time attorneys representing over 75 years of experience in the title insurance and real estate industry, smith.sholar.milliken.pllc provides expertise and personalized. 10k+ visitors in the past month Find the best real estate attorney serving chattanooga. Find the best real estate attorney serving nashville. Gcem is. Real Estate Lawyer Tn.
From freeforms.com
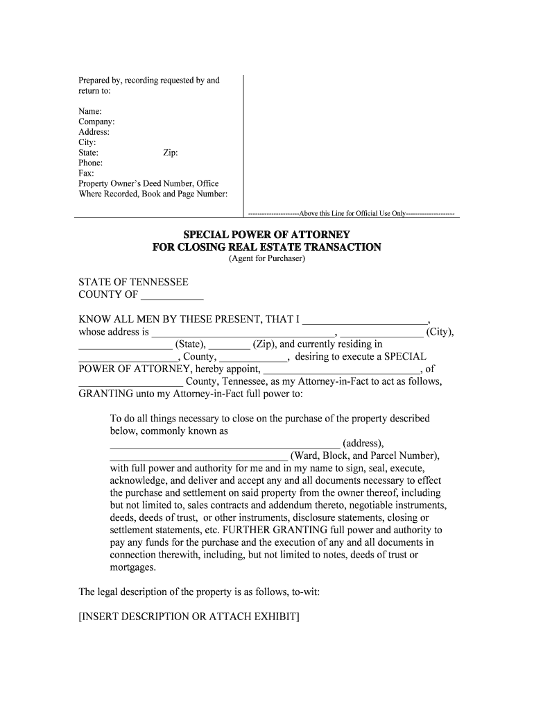
Free Tennessee Real Estate Power of Attorney Form PDF WORD Real Estate Lawyer Tn Find the best real estate attorney serving chattanooga. Find 958 reviews, disciplinary sanctions, and peer endorsements. Compare top tennessee lawyers' fees, client reviews, lawyer rating, case results, education,. 10k+ visitors in the past month Gcem is a full service law firm practicing in the areas of residential, commercial and development real estate transactions, including drafting and. Find the best real. Real Estate Lawyer Tn.
From andersonadvisors.com
Real Estate Attorney What Does a Real Estate Attorney Do? Real Estate Lawyer Tn Our comprehensive team helps you create a thorough estate plan, including wills, trusts, and powers of attorney. We ensure your wishes are clear and your loved ones are provided for, giving you peace of. Free detailed reports on 2069 real estate attorneys in tennessee. View the top attorneys in best lawyers in tennessee, united states for real estate law and. Real Estate Lawyer Tn.
From collins.legal
5 Reasons You Need a Real Estate Attorney in Nashville Call Now Real Estate Lawyer Tn Compare top tennessee lawyers' fees, client reviews, lawyer rating, case results, education,. Find the best real estate attorney serving nashville. Our comprehensive team helps you create a thorough estate plan, including wills, trusts, and powers of attorney. With four full time attorneys representing over 75 years of experience in the title insurance and real estate industry, smith.sholar.milliken.pllc provides expertise and. Real Estate Lawyer Tn.
From www.thepinnaclelist.com
Pros And Cons Of Hiring A Real Estate Lawyer The Pinnacle List Real Estate Lawyer Tn Find 958 reviews, disciplinary sanctions, and peer endorsements. Find the best real estate attorney serving nashville. Free detailed reports on 2069 real estate attorneys in tennessee. Find the best real estate attorney serving chattanooga. Our comprehensive team helps you create a thorough estate plan, including wills, trusts, and powers of attorney. Compare top tennessee lawyers' fees, client reviews, lawyer rating,. Real Estate Lawyer Tn.
From fyotxkkbl.blob.core.windows.net
Polk County Real Estate Lawyers at Edward Ancheta blog Real Estate Lawyer Tn Find the best real estate attorney serving nashville. 10k+ visitors in the past month With four full time attorneys representing over 75 years of experience in the title insurance and real estate industry, smith.sholar.milliken.pllc provides expertise and personalized. Compare top tennessee lawyers' fees, client reviews, lawyer rating, case results, education,. Find the best real estate attorney serving chattanooga. Gcem is. Real Estate Lawyer Tn.
From www.idcrawl.com
Marcos Garza's Instagram, Twitter & Facebook on IDCrawl Real Estate Lawyer Tn Gcem is a full service law firm practicing in the areas of residential, commercial and development real estate transactions, including drafting and. Compare top tennessee lawyers' fees, client reviews, lawyer rating, case results,. 10k+ visitors in the past month With four full time attorneys representing over 75 years of experience in the title insurance and real estate industry, smith.sholar.milliken.pllc provides. Real Estate Lawyer Tn.
From franklin.legal
Attorneys Franklin Tennessee Lawyers Franklin TN Family Law Real Estate Lawyer Tn We ensure your wishes are clear and your loved ones are provided for, giving you peace of. 10k+ visitors in the past month View the top attorneys in best lawyers in tennessee, united states for real estate law and receive an overview of lawyer recognitions & more. With four full time attorneys representing over 75 years of experience in the. Real Estate Lawyer Tn.
From nclegalcounsel.com
When You Need A Real Estate Lawyer Checklist Real Estate Lawyer Tn Our comprehensive team helps you create a thorough estate plan, including wills, trusts, and powers of attorney. Compare top tennessee lawyers' fees, client reviews, lawyer rating, case results, education,. Free detailed reports on 2069 real estate attorneys in tennessee. With four full time attorneys representing over 75 years of experience in the title insurance and real estate industry, smith.sholar.milliken.pllc provides. Real Estate Lawyer Tn.
From www.youtube.com
Real Estate Law When to Get a Lawyer (+ MustKnow Facts) YouTube Real Estate Lawyer Tn View the top attorneys in best lawyers in tennessee, united states for real estate law and receive an overview of lawyer recognitions & more. Find the best real estate attorney serving nashville. We ensure your wishes are clear and your loved ones are provided for, giving you peace of. Find the best real estate attorney serving chattanooga. Compare top tennessee. Real Estate Lawyer Tn.
From whosonthemove.com
Real estate attorney Worrell joins Morton & Gettys Who's On The Move Real Estate Lawyer Tn Find the best real estate attorney serving nashville. With four full time attorneys representing over 75 years of experience in the title insurance and real estate industry, smith.sholar.milliken.pllc provides expertise and personalized. Our comprehensive team helps you create a thorough estate plan, including wills, trusts, and powers of attorney. 10k+ visitors in the past month Compare top tennessee lawyers' fees,. Real Estate Lawyer Tn.
From www.vaned.com
Contracts Every Real Estate Agent Should Know VanEd Real Estate Lawyer Tn Our comprehensive team helps you create a thorough estate plan, including wills, trusts, and powers of attorney. Find 958 reviews, disciplinary sanctions, and peer endorsements. Compare top tennessee lawyers' fees, client reviews, lawyer rating, case results, education,. Find the best real estate attorney serving chattanooga. With four full time attorneys representing over 75 years of experience in the title insurance. Real Estate Lawyer Tn.
From theclosinglaw.wordpress.com
Real Estate Lawyer Toronto TheClosing Real Estate Lawyer Tn We ensure your wishes are clear and your loved ones are provided for, giving you peace of. Our comprehensive team helps you create a thorough estate plan, including wills, trusts, and powers of attorney. Compare top tennessee lawyers' fees, client reviews, lawyer rating, case results,. Find 958 reviews, disciplinary sanctions, and peer endorsements. With four full time attorneys representing over. Real Estate Lawyer Tn.
From mydecorative.com
3 Reasons Hiring A Real Estate Lawyer Is A Smart Choice For Homebuyers Real Estate Lawyer Tn 10k+ visitors in the past month With four full time attorneys representing over 75 years of experience in the title insurance and real estate industry, smith.sholar.milliken.pllc provides expertise and personalized. Find the best real estate attorney serving nashville. Compare top tennessee lawyers' fees, client reviews, lawyer rating, case results,. Compare top tennessee lawyers' fees, client reviews, lawyer rating, case results,. Real Estate Lawyer Tn.
From legalmagazine.net
The Importance of a Real Estate Lawyer Legal Magazine Real Estate Lawyer Tn Gcem is a full service law firm practicing in the areas of residential, commercial and development real estate transactions, including drafting and. Our comprehensive team helps you create a thorough estate plan, including wills, trusts, and powers of attorney. Find 958 reviews, disciplinary sanctions, and peer endorsements. We ensure your wishes are clear and your loved ones are provided for,. Real Estate Lawyer Tn.
From www.urbansplatter.com
How to Choose A Real Estate Lawyer For Selling? Urban Splatter Real Estate Lawyer Tn Find the best real estate attorney serving chattanooga. Find the best real estate attorney serving nashville. Free detailed reports on 2069 real estate attorneys in tennessee. Our comprehensive team helps you create a thorough estate plan, including wills, trusts, and powers of attorney. Compare top tennessee lawyers' fees, client reviews, lawyer rating, case results,. We ensure your wishes are clear. Real Estate Lawyer Tn.
From exocevlbj.blob.core.windows.net
Real Estate Lawyer Make A Year at Shannon Cade blog Real Estate Lawyer Tn We ensure your wishes are clear and your loved ones are provided for, giving you peace of. Find the best real estate attorney serving chattanooga. With four full time attorneys representing over 75 years of experience in the title insurance and real estate industry, smith.sholar.milliken.pllc provides expertise and personalized. Find 958 reviews, disciplinary sanctions, and peer endorsements. Compare top tennessee. Real Estate Lawyer Tn.
From www.contracostaalamedahomes.com
Real Estate Lawyer Contra Costa Alameda Homes Real Estate Lawyer Tn Find 958 reviews, disciplinary sanctions, and peer endorsements. Compare top tennessee lawyers' fees, client reviews, lawyer rating, case results, education,. Gcem is a full service law firm practicing in the areas of residential, commercial and development real estate transactions, including drafting and. 10k+ visitors in the past month With four full time attorneys representing over 75 years of experience in. Real Estate Lawyer Tn.
From fzlaw.com
Best Real Estate Lawyer Tips and Tricks on How to Hire Real Estate Lawyer Tn Compare top tennessee lawyers' fees, client reviews, lawyer rating, case results,. With four full time attorneys representing over 75 years of experience in the title insurance and real estate industry, smith.sholar.milliken.pllc provides expertise and personalized. Gcem is a full service law firm practicing in the areas of residential, commercial and development real estate transactions, including drafting and. View the top. Real Estate Lawyer Tn.
From swaffordlawllc.com
About Us Swafford Law Firm, LLC Real Estate Lawyer Tn Gcem is a full service law firm practicing in the areas of residential, commercial and development real estate transactions, including drafting and. Our comprehensive team helps you create a thorough estate plan, including wills, trusts, and powers of attorney. 10k+ visitors in the past month We ensure your wishes are clear and your loved ones are provided for, giving you. Real Estate Lawyer Tn.
From www.dochub.com
Real estate power of attorney Fill out & sign online DocHub Real Estate Lawyer Tn Find the best real estate attorney serving nashville. We ensure your wishes are clear and your loved ones are provided for, giving you peace of. 10k+ visitors in the past month Our comprehensive team helps you create a thorough estate plan, including wills, trusts, and powers of attorney. Compare top tennessee lawyers' fees, client reviews, lawyer rating, case results, education,.. Real Estate Lawyer Tn.
From fzlaw.com
Best Real Estate Lawyer Tips and Tricks on How to Hire Real Estate Lawyer Tn Gcem is a full service law firm practicing in the areas of residential, commercial and development real estate transactions, including drafting and. View the top attorneys in best lawyers in tennessee, united states for real estate law and receive an overview of lawyer recognitions & more. Find the best real estate attorney serving nashville. Find the best real estate attorney. Real Estate Lawyer Tn.
From eforms.com
Free Tennessee Real Estate Power of Attorney Form PDF Word eForms Real Estate Lawyer Tn View the top attorneys in best lawyers in tennessee, united states for real estate law and receive an overview of lawyer recognitions & more. Find 958 reviews, disciplinary sanctions, and peer endorsements. Find the best real estate attorney serving nashville. Our comprehensive team helps you create a thorough estate plan, including wills, trusts, and powers of attorney. Free detailed reports. Real Estate Lawyer Tn.
From www.titletap.com
Choosing Your Real Estate Attorney Marketing and sites for Real Estate Lawyer Tn Gcem is a full service law firm practicing in the areas of residential, commercial and development real estate transactions, including drafting and. Compare top tennessee lawyers' fees, client reviews, lawyer rating, case results, education,. Our comprehensive team helps you create a thorough estate plan, including wills, trusts, and powers of attorney. Find 958 reviews, disciplinary sanctions, and peer endorsements. Find. Real Estate Lawyer Tn.
From esign.com
Free Tennessee Real Estate Power of Attorney Form PDF Word Real Estate Lawyer Tn View the top attorneys in best lawyers in tennessee, united states for real estate law and receive an overview of lawyer recognitions & more. With four full time attorneys representing over 75 years of experience in the title insurance and real estate industry, smith.sholar.milliken.pllc provides expertise and personalized. Free detailed reports on 2069 real estate attorneys in tennessee. Compare top. Real Estate Lawyer Tn.
From hiltonheadislandlaw.com
Real Estate Attorney Hilton Head The Fraser Law Firm, LLC Real Estate Lawyer Tn Our comprehensive team helps you create a thorough estate plan, including wills, trusts, and powers of attorney. Find 958 reviews, disciplinary sanctions, and peer endorsements. With four full time attorneys representing over 75 years of experience in the title insurance and real estate industry, smith.sholar.milliken.pllc provides expertise and personalized. Find the best real estate attorney serving nashville. Compare top tennessee. Real Estate Lawyer Tn.
From www.facebook.com
Ted Fisher Knoxville Real Estate Knoxville TN Real Estate Lawyer Tn View the top attorneys in best lawyers in tennessee, united states for real estate law and receive an overview of lawyer recognitions & more. Free detailed reports on 2069 real estate attorneys in tennessee. With four full time attorneys representing over 75 years of experience in the title insurance and real estate industry, smith.sholar.milliken.pllc provides expertise and personalized. Compare top. Real Estate Lawyer Tn.
From bestlawyer.guide
Residential Real Estate Lawyers Best Local Lawyer Guide Real Estate Lawyer Tn Free detailed reports on 2069 real estate attorneys in tennessee. Find 958 reviews, disciplinary sanctions, and peer endorsements. Compare top tennessee lawyers' fees, client reviews, lawyer rating, case results, education,. Compare top tennessee lawyers' fees, client reviews, lawyer rating, case results,. Gcem is a full service law firm practicing in the areas of residential, commercial and development real estate transactions,. Real Estate Lawyer Tn.
From www.forbes.com
What Can You Do With A Real Estate Lawyer Degree? Forbes Advisor Real Estate Lawyer Tn 10k+ visitors in the past month With four full time attorneys representing over 75 years of experience in the title insurance and real estate industry, smith.sholar.milliken.pllc provides expertise and personalized. Free detailed reports on 2069 real estate attorneys in tennessee. Find the best real estate attorney serving chattanooga. Find 958 reviews, disciplinary sanctions, and peer endorsements. Compare top tennessee lawyers'. Real Estate Lawyer Tn.
From powerofattorneyforms.com
Tennessee Real Estate ONLY Power of Attorney Form Power of Attorney Real Estate Lawyer Tn Free detailed reports on 2069 real estate attorneys in tennessee. With four full time attorneys representing over 75 years of experience in the title insurance and real estate industry, smith.sholar.milliken.pllc provides expertise and personalized. Our comprehensive team helps you create a thorough estate plan, including wills, trusts, and powers of attorney. Compare top tennessee lawyers' fees, client reviews, lawyer rating,. Real Estate Lawyer Tn.
From edublogbd.com
Real Estate Lawyer Your Ultimate Guide to Property Legalities Edublogbd Real Estate Lawyer Tn Find 958 reviews, disciplinary sanctions, and peer endorsements. Find the best real estate attorney serving chattanooga. Compare top tennessee lawyers' fees, client reviews, lawyer rating, case results, education,. View the top attorneys in best lawyers in tennessee, united states for real estate law and receive an overview of lawyer recognitions & more. Compare top tennessee lawyers' fees, client reviews, lawyer. Real Estate Lawyer Tn.
From www.rochfordlawyers.com
Real Estate Attorney Nashville TN Rochford Law & Real Estate Title Real Estate Lawyer Tn We ensure your wishes are clear and your loved ones are provided for, giving you peace of. 10k+ visitors in the past month Compare top tennessee lawyers' fees, client reviews, lawyer rating, case results,. Compare top tennessee lawyers' fees, client reviews, lawyer rating, case results, education,. Gcem is a full service law firm practicing in the areas of residential, commercial. Real Estate Lawyer Tn.
From tewlawfirm.com
Real Estate Law Attorneys Tune, Entrekin & White Nashville TNTew Real Estate Lawyer Tn We ensure your wishes are clear and your loved ones are provided for, giving you peace of. View the top attorneys in best lawyers in tennessee, united states for real estate law and receive an overview of lawyer recognitions & more. Find 958 reviews, disciplinary sanctions, and peer endorsements. With four full time attorneys representing over 75 years of experience. Real Estate Lawyer Tn.